Comparative Overview of the Performance of Cementitious and Non-Cementitious Nanomaterials in Mortar at Normal and Elevated Temperatures
Abstract
1. Introduction
2. Materials
2.1. Cement
2.2. Sand
2.3. Nanomaterials

Cement + H2O + nano-silica → Ca2+ + H2SiO42− + H2SiO42− + OH−
Nano-SiO2 + H2O → H2SiO42−
Ca(OH)2 + H2O → Ca2+ + OH−
H2SiO42− + Ca2+ → C–S–H (additional C–S–H)
C3S + H2O → C–S–H + Ca(OH)2
*C–S–H = calcium silicate hydrate
2.4. Water and Admixtures
3. Properties and Method
3.1. Fresh-State Properties
3.1.1. Consistency and Setting Times
3.1.2. Workability (Slump)
3.2. Mechanical Properties
3.2.1. Compressive Strength
3.2.2. Flexural and Tensile Strength
3.3. Durability Properties
3.3.1. Chloride Penetration
3.3.2. Water Absorption
3.3.3. Other Durability Properties
3.4. Microstructural Characterization
4. Conclusions and Future Outlook
- The water demand is increased for the standard consistency and the setting time is shortened with the use of nano-silica, nano-clay, nano-alumina, or nano-titanium oxide;
- The higher consumption of mixing water leads to reduction of the workability of the cement mortar for nano-silica and nano-zinc oxide;
- The compressive strength of the cement mortar increases and reaches a maximum value at the optimum dosage of 1.25% for nano-silica, however this varies for different cementitious nanomaterials. For nano-silica and nano-alumina, non-uniform dispersion or addition in excess of the optimum amount decreases the compressive strength due to agglomeration;
- In addition to the increases in the elastic modulus and shear strength, the flexural and tensile strengths are also increased due to enhancement of the hydration processes for nano-silica, nano-clay, nano-alumina, nano-titanium oxide, and CNTs. It has been shown that the flexure strength decreases beyond optimum dosages (0.5%) for nano-titania, while tensile strength decreases beyond optimum dosages (1%) for nano-alumina;
- As the durability is enhanced, the chloride permeability is reduced with the inclusion of nanomaterials. It has been observed that the decreases fornano-silica and nano-clay are due to reduction of hydroxyl groups (OH− ions), while for nano-titanium oxide and carbon nano-tubes (CNTs) this is due to densification of the microstructure, which is a highly desirable change;
- As the voids are filled and the microstructure becomes denser, the strength loss due to sulfate attack and mass loss due to freeze-thaw cycles are reduced, as in the case of nano-silica;
- Microstructural pores are repaired or healed with the change of state of mortar from dispersed form to packed form, such as when using nano-alumina and nano-silica;
- With the partial replacement using nanomaterials, the water absorption is reduced as the void spaces in the mortar matrix are filled up when using nano-silica or nano-clay;
- The addition of nanomaterials such as carbon nanotubes (CNTs) and nano-titanium oxide greatly reduces the shrinkage strain;
- The compressive strength and other hardened-state properties of nano-mortars are found to be enhanced even at elevated temperatures compared to control specimens (basic mortars). Most of the free water is evaporated at 250 °C and the decomposition of some hydrated products starts from around 400 °C with the increase in nano-alumina content.
- As different nanomaterials act differently when mixed with conventional cement mortar, it is important to conduct a cost–benefit analysis and to identify the overall impacts on the environment, such as acid attacks and CO2 emissions;
- Given the morphology studies on the use of different nanomaterials, there is a need to assess the mechanical and durability properties resulting from the combination of fibers with nanomaterials, such as carbon fibers, polypropylene fibers, and more;
- The application of nano-mortars to impact heat seepage in buildings [151] and for plastering purposes requires extensive study and comparisons with traditional options;
- The evaluation of thermal conductivity and dielectric constant parameters is of paramount importance;
- As different nanomaterials bring about varied physical and chemical changes when incorporated into cement mortars in terms of durability and strength properties, the combined effects of various types of nanomaterials need to be studied.
Author Contributions
Funding
Acknowledgments
Conflicts of Interest
References
- Han, B.; Ding, S.; Wang, J.; Ou, J. Nano-BN-Engineered Cementitious Composites. In Nano-Engineered Cementitious Composites; Springer: Singapore, 2019; pp. 639–664. [Google Scholar]
- Babor, D.T.; Judele, L. Environmental Impact of Concrete; Universitatea Tehnică “Gheorghe Asachi”: Iasi, Romania, 2009. [Google Scholar]
- Nasr, D.; Behforouz, B.; Rezaei, P.; Afzali, S.; Zehtab, B. Effect of nano-silica on mechanical properties and durability of self-compacting mortar containing natural zeolite: Experimental investigations and artificial neural network modeling. Constr. Build. Mater. 2019, 229, 116888. [Google Scholar] [CrossRef]
- Malhotra, V.M.; Mehta, P.K. Pozzolanic and Cementitious Materials, 1st ed.; CRC Press: Boca Raton, FL, USA; Taylor and Francis: London, UK, 1996. [Google Scholar]
- Emamian, S.A.; Eskandari-Naddaf, H. Genetic programming based formulation for compressive and flexural strength of cement mortar containing nano and micro silica after freeze and thaw cycles. Constr. Build. Mater. 2020, 241, 118027. [Google Scholar] [CrossRef]
- Gürbüz, E. Nano-clay modified high plasticity soil as a building material: Micro-structure linked engineering properties and 3D digital crack analysis. J. Build. Eng. 2020, 27, 101005. [Google Scholar] [CrossRef]
- Nasrollahzadeh, M.; Sajadi, S.M.; Sajjadi, M. Applications of Nanotechnology in Daily Life, 1st ed.; Elsevier Ltd.: Amsterdam, The Netherlands, 2019; Volume 28. [Google Scholar]
- Babu, G.R.; Ramana, N.; Kumar, T.N.; Kumar, K.V. Effect of nanosilica on properties and durability in cement. Mater. Today Proc. 2019, 19, 599–605. [Google Scholar] [CrossRef]
- Liu, M.; Zhou, Z.; Zhang, X.; Yang, X.; Cheng, X. The synergistic effect of nano-silica with blast furnace slag in cement based materials. Constr. Build. Mater. 2016, 126, 624–631. [Google Scholar] [CrossRef]
- Mohseni, E.; Mehrinejad, M.; Naseri, F.; Monazami, M. Polypropylene fiber reinforced cement mortars containing rice husk ash and nano-alumina. Constr. Build. Mater. 2016, 111, 429–439. [Google Scholar] [CrossRef]
- Zhang, B.; Tan, H.; Shen, W.; Xu, G.; Ma, B.; Ji, X. Nano-silica and silica fume modified cement mortar used as Surface Protection Material to enhance the impermeability. Cem. Concr. Compos. 2018, 92, 7–17. [Google Scholar] [CrossRef]
- Hamzaoui, R.; Guessasma, S.; Mecheri, B.; Eshtiaghi, A.M.; Bennabi, A. Microstructure and mechanical performance of modified mortar using hemp fibres and carbon nanotubes. Mater. Des. 2014, 56, 60–68. [Google Scholar] [CrossRef]
- Ling, Y.; Zhang, P.; Wang, J.; Chen, Y. Effect of PVA fiber on mechanical properties of cementitious composite with and without nano-SiO2. Constr. Build. Mater. 2019, 229, 117068. [Google Scholar] [CrossRef]
- Wang, J.; Dong, S.; Wang, D.; Yu, X.; Han, B.; Ou, J. Enhanced impact properties of concrete modified with nanofiller inclusions. J. Mater. Civ. Eng. 2019, 31, 04019030. [Google Scholar] [CrossRef]
- Zhang, A.; Ge, Y.; Yang, W.; Cai, X.; Du, Y. Comparative study on the effects of nano-SiO2, nano-Fe2O3 and nano-NiO on hydration and microscopic properties of white cement. Constr. Build. Mater. 2019, 228, 116767. [Google Scholar] [CrossRef]
- Malaysiana, S.; Nanokarbon, K.P.; Pembengkakan, S.; Tanah, P. Effects of nano-carbon reinforcement on the swelling and shrinkage behaviour of soil. Sains Malays. 2018, 47, 195–205. [Google Scholar]
- Dong, S.; Wang, D.; Ashour, A.; Han, B.; Ou, J. Nickel plated carbon nanotubes reinforcing concrete composites: From nano/micro structures to macro mechanical properties. Compos. Part A 2020, 141, 106228. [Google Scholar] [CrossRef]
- Heikal, M.; Abdel-Gawwad, H.A.; Ababneh, F.A. Positive impact performance of hybrid effect of nano-clay and silica nano-particles on composite cements. Constr. Build. Mater. 2018, 190, 508–516. [Google Scholar] [CrossRef]
- Kong, D.; Du, X.; Wei, S.; Zhang, H.; Yang, Y.; Shah, S.P. Influence of nano-silica agglomeration on microstructure and properties of the hardened cement-based materials. Constr. Build. Mater. 2012, 37, 707–715. [Google Scholar] [CrossRef]
- Suárez, J.D.P.; Lizarazo-Marriaga, J.; Guarín, G.N.H. Application of nanosilica particles under limited dispersal conditions in cement-based paste and mortar mixtures. Eur. J. Environ. Civ. Eng. 2018, 8189, 707–715. [Google Scholar] [CrossRef]
- Zhang, R.; Cheng, X.; Hou, P.; Ye, Z. Influences of nano-TiO2 on the properties of cement-based materials: Hydration and drying shrinkage. Constr. Build. Mater. 2015, 81, 35–41. [Google Scholar] [CrossRef]
- Wang, D.; Zhang, W.; Ruan, Y.; Yu, X.; Han, B. Enhancements and mechanisms of nanoparticles on wear resistance and chloride penetration resistance of reactive powder concrete. Constr. Build. Mater. 2018, 189, 487–497. [Google Scholar] [CrossRef]
- Han, B.; Zhang, L.; Zeng, S.; Dong, S.; Yu, X.; Yang, R.; Ou, J. Nano-core effect in nano-engineered cementitious composites. Compos. Part A 2017, 95, 100–109. [Google Scholar] [CrossRef]
- Wang, J.; Han, B.; Li, Z.; Yu, X.; Dong, X. Effect investigation of nanofillers on C–S–H gel structure with Si NMR. J. Mater. Civ. Eng. 2019, 31, 04018352. [Google Scholar] [CrossRef]
- Wang, X.; Zheng, Q.; Dong, S.; Ashour, A.; Han, B. Interfacial characteristics of nano-engineered concrete composites. Constr. Build. Mater. 2020, 259, 119803. [Google Scholar] [CrossRef]
- Wang, J.; Dong, S.; Zhou, C.; Ashour, A.; Han, B. Investigating pore structure of nano-engineered concrete with low-field nuclear magnetic resonance. J. Mater. Sci. 2020, 56, 243–259. [Google Scholar] [CrossRef]
- Mukharjee, B.B.; Barai, S.V. Assessment of the influence of Nano-Silica on the behavior of mortar using factorial design of experiments. Constr. Build. Mater. 2014, 68, 416–425. [Google Scholar] [CrossRef]
- Shaikh, F.U.A.; Supit, S.W.M. Mechanical and durability properties of high volume fly ash (HVFA) concrete containing calcium carbonate (CaCO3) nanoparticles. Constr. Build. Mater. 2014, 70, 309–321 . [Google Scholar] [CrossRef]
- Heikal, M.; El Aleem, S.; Morsi, W.M. Characteristics of blended cements containing nano-silica. HBRC J. 2013, 9, 243–255. [Google Scholar] [CrossRef]
- Oltulu, M.; Şahin, R. Single and combined effects of nano-SiO2, nano-Al2O3 and nano-Fe2O3 powders on compressive strength and capillary permeability of cement mortar containing silica fume. Mater. Sci. Eng. A 2011, 528, 7012–7019 . [Google Scholar] [CrossRef]
- Porro, A.; Dolado, J.S.; Campillo, I.; Erkizia, E.; De Miguel, Y.; De Ibarra, Y.S.; Ayuela, A. Effects of nanosilica additions on cement pastes. In Proceedings of the Applications of Nanotechnology in Concrete Design, University of Dundee, Scotland, UK, 7 July 2015. [Google Scholar]
- Suárez, J.D.P.; Guarin, G.N.H.; Lizarazo-Marriaga, J. Effect of nanosilica particles on the rheological and mechanical properties of cement pastes using polyhydroxyl and polycarboxylate-based superplasticizers. Eur. J. Environ. Civ. Eng. 2020, 24, 1–25. [Google Scholar] [CrossRef]
- Suárez, J.D.P.; Uribe, C.S.L.; Lizarazo-Marriaga, J.; Cárdenas-Pulido, J. Optimal nanosilica dosage in mortars and concretes subject to mechanical and durability solicitations. Eur. J. Environ. Civ. Eng. 2020, 1–19. [Google Scholar] [CrossRef]
- Kooshafar, M.; Madani, H. An investigation on the influence of nano silica morphology on the characteristics of cement composites. J. Build. Eng. 2020, 30, 101293. [Google Scholar] [CrossRef]
- Karunarathne, V.K.; Paul, S.C.; Šavija, B. Development of nano-SiO2 and bentonite-based mortars for corrosion protection of reinforcing steel. Materials 2019, 12, 2622. [Google Scholar] [CrossRef]
- Roychand, R.; De Silva, S.; Setunge, S.; Law, D. A quantitative study on the effect of nano SiO2, nano Al2O3 and nano CaCO3 on the physicochemical properties of very high volume fly ash cement composite. Eur. J. Environ. Civ. Eng. 2017, 8189, 1–16. [Google Scholar] [CrossRef]
- Xu, S.; Liu, J.; Li, Q. Mechanical properties and microstructure of multi-walled carbon nanotube-reinforced cement paste. Constr. Build. Mater. 2015, 76, 16–23. [Google Scholar] [CrossRef]
- Roychand, R.; De Silva, S.; Law, D. High volume fly ash cement composite modified with nano silica, hydrated lime and set accelerator. Mater. Struct. 2015, 49, 1997–2008. [Google Scholar] [CrossRef]
- Adak, D.; Sarkar, M.; Mandal, S. Effect of nano-silica on strength and durability of fly ash based geopolymer mortar. Constr. Build. Mater. 2014, 70, 453–459. [Google Scholar] [CrossRef]
- Dejaeghere, I.; Sonebi, M.; De Schutter, G. Influence of nano-clay on rheology, fresh properties, heat of hydration and strength of cement-based mortars. Constr. Build. Mater. 2019, 222, 73–85. [Google Scholar] [CrossRef]
- Allalou, S.; Kheribet, R.; Benmounah, A. Case studies in construction materials effects of calcined halloysite nano-clay on the mechanical properties and microstructure of low-clinker cement mortar. Case Stud. Constr. Mater. 2019, 10, 00213. [Google Scholar] [CrossRef]
- Fan, Y.; Zhang, S.; Wang, Q.; Shah, S.P. The effects of nano-calcined kaolinite clay on cement mortar exposed to acid deposits. Constr. Build. Mater. 2016, 102, 486–495. [Google Scholar] [CrossRef]
- Yehia, S. Effect of nano-clay on the mechanical properties of fresh and hardened cement mortar comparing with nano-silica. In Proceedings of the Second International Conference on Materials, Energy and Environments (ICMEE), Yokohama, Japan, 8–9 August 2013. [Google Scholar]
- Shaikh, F.U.A.; Hosan, A. Effect of nano alumina on compressive strength and microstructure of high volume slag and slag-fly ash blended pastes. Front. Mater. 2019, 6, 1–11. [Google Scholar] [CrossRef]
- Shao, Q.; Zheng, K.; Zhou, X.; Zhou, J.; Zeng, X. Enhancement of nano-alumina on long-term strength of Portland cement and the relation to its influences on compositional and microstructural aspects. Cem. Concr. Compos. 2019, 98, 39–48. [Google Scholar] [CrossRef]
- Heikal, M.; Ismail, M.; Ibrahim, N. Physico-mechanical, microstructure characteristics and fire resistance of cement pastes containing Al2O3 nano-particles. Constr. Build. Mater. 2015, 91, 232–242. [Google Scholar] [CrossRef]
- León, N.; Massana, J.; Alonso, F.; Moragues, A.; Sánchez-Espinosa, E. Effect of nano-Si2O and nano-Al2O3 on cement mortars for use in agriculture and livestock production. Biosyst. Eng. 2014, 123, 1–11. [Google Scholar] [CrossRef]
- Farzadnia, N.; Abdullah, A.; Ali, A.; Demirboga, R. CCement and Concrete Research Characterization of high strength mortars with nano alumina at elevated temperatures. Cem. Concr. Res. 2013, 54, 43–54. [Google Scholar] [CrossRef]
- Li, Z.; Wang, H.; He, S.; Lu, Y.; Wang, M. Investigations on the preparation and mechanical properties of the nano-alumina reinforced cement composite. Mater. Lett. 2006, 60, 356–359. [Google Scholar] [CrossRef]
- Demirboğ, R.; Khushefati, W.H. Effects of nano and micro size of CaO and MgO, nano-clay and expanded perlite aggregate on the autogenous shrinkage of mortar. Constr. Build. Mater. 2015, 81, 268–275. [Google Scholar] [CrossRef]
- Song, S.; Jiang, L.; Jiang, S.; Yan, X.; Xu, N. The mechanical properties and electrochemical behavior of cement paste containing nano-MgO at different curing temperature. Constr. Build. Mater. 2018, 164, 663–671. [Google Scholar] [CrossRef]
- Qing, Y.; Kaikai, Y.; Zenan, Z. Expansion of ordinary Portland cement paste varied with nano-MgO. Constr. Build. Mater. 2015, 78, 189–193. [Google Scholar] [CrossRef]
- Moradpour, R.; Taheri-Nassaj, E.; Parhizkar, T.; Ghodsian, M. The effects of nanoscale expansive agents on the mechanical properties of non-shrink cement-based composites: The influence of nano-MgO addition. Compos. Part B 2013, 55, 193–202. [Google Scholar] [CrossRef]
- Duraipandian, N.; Dharmar, S. Influence of zinc oxide nanoparticle on strength and durability of cement influence of zinc oxide nanoparticle on strength and durability of cement mortar. Int. J. Earth Sci. Eng. 2016, 9, 175. [Google Scholar]
- Gowda, R.; Narendra, H.; Mourougane, R.; Nagabhushana, B.M. Performance of Nano-SiO2 and Nano-ZnO2 on Compressive Strength and Microstructure Characteristics of Cement Mortar; Springer: Singapore, 2018. [Google Scholar]
- Li, H.; Ding, S.; Zhang, L.; Ouyang, J.; Han, B. Effects of particle size, crystal phase and surface treatment of nano-TiO2 on the rheological parameters of cement paste. Constr. Build. Mater. 2020, 239, 117897. [Google Scholar] [CrossRef]
- Dantas, S.R.A.; Serafini, R.; Romano, R.C.D.O.; Vittorino, F.; Loh, K. Influence of the nano TiO2 dispersion procedure on fresh and hardened rendering mortar properties. Constr. Build. Mater. 2019, 215, 544–556. [Google Scholar] [CrossRef]
- Lee, B.Y.; Jayapalan, A.R.; Kurtis, K.E. Effects of nano-TiO2 on properties of cement-based materials. Mag. Concr. Res. 2013, 65, 1293–1302. [Google Scholar] [CrossRef]
- Rao, S.; Da Silva, P.R.; De Brito, J. Experimental study of the mechanical properties and durability of self-compacting mortars with nano materials (SiO2 and TiO2). Constr. Build. Mater. 2015, 96, 508–517. [Google Scholar] [CrossRef]
- Noorvand, H.; Abdullah, A.; Ali, A.; Demirboga, R.; Noorvand, H.H.; Farzadnia, N. Physical and chemical characteristics of unground palm oil fuel ash cement mortars with nanosilica. Constr. Build. Mater. 2013, 48, 1104–1113. [Google Scholar] [CrossRef]
- Bhaskar, V.A.; Shanmugasundaram, M. A study on strength of mortar with multiwalled carbon nano tube as additive. Int. J. Civ. Eng. Technol. 2018, 9, 553–558. [Google Scholar]
- Lee, H.S.; Balasubramanian, B.; Gopalakrishna, G.V.T.; Kwon, S.-J.; Karthick, S.P.; Saraswathy, V. Durability performance of CNT and nanosilica admixed cement mortar. Constr. Build. Mater. 2018, 159, 463–472. [Google Scholar] [CrossRef]
- Song, X.; Shang, S.; Chen, D.; Gu, X. Multi-walled carbon nanotube reinforced mortar-aggregate interfacial properties. Constr. Build. Mater. 2017, 133, 57–64. [Google Scholar] [CrossRef]
- Mohsen, M.O.; Al-Nuaimi, N.; Abu Al-Rub, R.K.; Senouci, A.; Bani-Hani, K.A. Effect of mixing duration on flexural strength of multi walled carbon nanotubes cementitious composites. Constr. Build. Mater. 2016, 126, 586–598. [Google Scholar] [CrossRef]
- Tamimi, A.; Hassan, N.M.; Fattah, K.; Talachi, A. Performance of cementitious materials produced by incorporating surface treated multiwall carbon nanotubes and silica fume. Constr. Build. Mater. 2016, 114, 934–945. [Google Scholar] [CrossRef]
- Thomas, M.D.A. Optimizing the Use of Fly Ash in Concrete; PCA: Skokie, IL, USA, 2007; p. 24. [Google Scholar]
- Advantages and Disadvantages of Silica Fume in Concrete. Available online: http://www.microsilica-fume.com/wp-content/uploads/2018/04/advantages-and-disadvantages-of-silica-fume-in-concrete-pdf.pdf (accessed on 30 March 2021).
- Panesar, D.K. Supplementary Cementing Materials; Elsevier: Amsterdam, The Netherlands, 2019; pp. 55–85. [Google Scholar]
- Aiswarya, S.; Arulraj, P.G.; Rai, A.I. Influence of nano metakaolin and micro bentonite on mechanical properties of concrete. Int. J. Civ. Eng. Technol. 2018, 9, 1410–1416. [Google Scholar]
- Al-Jabri, K.; Shoukry, H. Influence of nano metakaolin on thermo-physical, mechanical and microstructural properties of high-volume ferrochrome slag mortar. Constr. Build. Mater. 2018, 177, 210–221. [Google Scholar] [CrossRef]
- Morsy, M.; Shoukry, H.; Mokhtar, M.; Ali, A.M.; El-Khodary, S. Facile production of nano-scale metakaolin: An investigation into its effect on compressive strength, pore structure and microstructural characteristics of mortar. Constr. Build. Mater. 2018, 172, 243–250. [Google Scholar] [CrossRef]
- Zhao, H.; Wan, Y.; Xie, J.; Jiang, K.; Huang, D.; Chen, X.; Li, S.; Jia, R.; Sun, G. Effects of Nano-SiO2 and SAP on hydration process of early-age cement paste using LF-NMR. Adv. Mater. Sci. Eng. 2020, 2020. [Google Scholar] [CrossRef]
- Farooq, F.; Rahman, S.K.U.; Akbar, A.; Khushnood, R.A.; Javed, M.F.; Alyousef, R.; Alabduljabbar, H.; Aslam, F. A comparative study on performance evaluation of hybrid GNPs/CNTs in conventional and self-compacting mortar. Alex. Eng. J. 2020, 59, 369–379. [Google Scholar] [CrossRef]
- Morsy, M.S.; Al-Salloum, Y.; Almusallam, T.; Abbas, H. Effect of nano-metakaolin addition on the hydration characteristics of fly ash blended cement mortar. J. Therm. Anal. Calorim. 2013, 116, 845–852. [Google Scholar] [CrossRef]
- Morsy, M.; Al-Salloum, Y.; Abbas, H.; Alsayed, S. Behavior of blended cement mortars containing nano-metakaolin at elevated temperatures. Constr. Build. Mater. 2012, 35, 900–905. [Google Scholar] [CrossRef]
- Stynoski, P.; Mondal, P.; Marsh, C. Effects of silica additives on fracture properties of carbon nanotube and carbon fiber reinforced Portland cement mortar. Cem. Concr. Compos. 2015, 55, 232–240. [Google Scholar] [CrossRef]
- Asgari, H.; Ramezanianpour, A.; Butt, H.-J. Effect of water and nano-silica solution on the early stages cement hydration. Constr. Build. Mater. 2016, 129, 11–24. [Google Scholar] [CrossRef]
- Torres-Carrasco, M.; Reinosa, J.; de la Rubia, M.; Reyes, E.; Peralta, F.A.; Fernández, J. Critical aspects in the handling of reactive silica in cementitious materials: Effectiveness of rice husk ash vs nano-silica in mortar dosage. Constr. Build. Mater. 2019, 223, 360–367. [Google Scholar] [CrossRef]
- Irshidat, M.R.; Al-Saleh, M.H. Influence of nanoclay on the properties and morphology of cement mortar. KSCE J. Civ. Eng. 2018, 22, 4056–4063. [Google Scholar] [CrossRef]
- Farzadnia, N.; Noorvand, H.; Yasin, A.M.; Aziz, F.N.A. The effect of nano silica on short term drying shrinkage of POFA cement mortars. Constr. Build. Mater. 2015, 95, 636–646. [Google Scholar] [CrossRef]
- Li, L.; Zhu, J.; Huang, Z.; Kwan, A. Combined effects of micro-silica and nano-silica on durability of mortar. Constr. Build. Mater. 2017, 157, 337–347. [Google Scholar] [CrossRef]
- Liu, J.; Li, Q.; Xu, S. Influence of nanoparticles on fluidity and mechanical properties of cement mortar. Constr. Build. Mater. 2015, 101, 892–901. [Google Scholar] [CrossRef]
- Senff, L.; Hotza, D.; Repette, W.L.; Ferreira, V.M.; Labrincha, J.A. Mortars with nano-SiO2 and micro-SiO2 investigated by experimental design. Constr. Build. Mater. 2010, 24, 1432–1437. [Google Scholar] [CrossRef]
- Chen, H.; Xu, Y.; Zhang, D.; Le Huang, L.; Zhu, Y.; Le Huang, L. The influence of nano-SIO2 and recycled polypropylene plastic content on physical, mechanical, and shrinkage properties of mortar. Adv. Civ. Eng. 2019, 2019, 12. [Google Scholar] [CrossRef]
- Du, H.; Pang, S.D. High performance cement composites with colloidal nano-silica. Constr. Build. Mater. 2019, 224, 317–325. [Google Scholar] [CrossRef]
- Senff, L.; Labrincha, J.A.; Ferreira, V.M.; Hotza, D.; Repette, W.L. Effect of nano-silica on rheology and fresh properties of cement pastes and mortars. Constr. Build. Mater. 2009, 23, 2487–2491. [Google Scholar] [CrossRef]
- Zhang, A.; Ge, Y. Effect of nano-silica on the hydration and microstructure of grey and white cement. Mag. Concr. Res. 2020, 72, 634–648. [Google Scholar] [CrossRef]
- Flores, Y.C.; Cordeiro, G.C.; Filho, R.D.T.; Tavares, L.M. Performance of Portland cement pastes containing nano-silica and different types of silica. Constr. Build. Mater. 2017, 146, 524–530. [Google Scholar] [CrossRef]
- Saleh, N.J.; Ibrahim, R.I.; Salman, A.D. Characterization of nano-silica prepared from local silica sand and its application in cement mortar using optimization technique. Adv. Powder Technol. 2015, 26, 1123–1133. [Google Scholar] [CrossRef]
- Zhao, H.; Sun, G.; Yu, L.; Jiang, K.; Chen, X.; Jia, R.; Wan, Y.; Li, S. Hydration of early age cement paste with nano-CaCO3 and SAP by LF-NMR spectroscopy: Mechanism and prediction. Model. Simul. Eng. 2019, 2019. [Google Scholar] [CrossRef]
- Karozou, A.; Pavlidou, E.; Stefanidou, M. Enhancing properties of clay mortars using nano-additives. Solid State Phenom. 2019, 286, 145–155. [Google Scholar] [CrossRef]
- Demirboğ, R. The effect of nano-MgO on the setting time, autogenous shrinkage, microstructure and mechanical properties of high performance cement paste and mortar. Constr. Build. Mater. 2017, 156, 208–218. [Google Scholar] [CrossRef]
- Pozo-Antonio, J.; Dionísio, A. Physical-mechanical properties of mortars with addition of TiO2 nanoparticles. Constr. Build. Mater. 2017, 148, 261–272. [Google Scholar] [CrossRef]
- Cerro-Prada, E.; García-Salgado, S.; Quijano, M.Á.; Varela, F. Controlled synthesis and microstructural properties of sol-gel tio2 nanoparticles for photocatalytic cement composites. Nanomaterials 2018, 9, 26. [Google Scholar] [CrossRef]
- Danoglidis, P.A.; Konsta-Gdoutos, M.S.; Gdoutos, E.E.; Shah, S.P. Strength, energy absorption capability and self-sensing properties of multifunctional carbon nanotube reinforced mortars. Constr. Build. Mater. 2016, 120, 265–274. [Google Scholar] [CrossRef]
- Irshidat, M.R.; Al-Shannaq, A. Using textile reinforced mortar modified with carbon nano tubes to improve flexural performance of RC beams. Compos. Struct. 2018, 200, 127–134. [Google Scholar] [CrossRef]
- Abo-El-Enein, S.; Amin, M.; El-Hosiny, F.; Hanafi, S. Pozzolanic and hydraulic activity of nano-metakaolin. HBRC J. 2014, 10, 64–72. [Google Scholar] [CrossRef]
- Cao, F.; Yan, P. The influence of the hydration procedure of MgO expansive agent on the expansive behavior of shrinkage-compensating mortar. Constr. Build. Mater. 2019, 202, 162–168. [Google Scholar] [CrossRef]
- Kaur, R.; Kothiyal, N.; Arora, H. Studies on combined effect of superplasticizer modified graphene oxide and carbon nanotubes on the physico-mechanical strength and electrical resistivity of fly ash blended cement mortar. J. Build. Eng. 2020, 30, 101304. [Google Scholar] [CrossRef]
- Essawy, A.A.; El Aleem, S.A. Physico-mechanical properties, potent adsorptive and photocatalytic efficacies of sulfate resisting cement blends containing micro silica and nano-TiO2. Constr. Build. Mater. 2014, 52, 1–8. [Google Scholar] [CrossRef]
- Heikal, M.; Ibrahim, N. Hydration, microstructure and phase composition of composite cements containing nano-clay. Constr. Build. Mater. 2016, 112, 19–27. [Google Scholar] [CrossRef]
- Ma, B.; Li, H.; Li, X.; Mei, J.; Lv, Y. Influence of nano-TiO2 on physical and hydration characteristics of fly ash–cement systems. Constr. Build. Mater. 2016, 122, 242–253. [Google Scholar] [CrossRef]
- Heikal, M.; Ali, A.; Ismail, M.; Ibrahim, S.A.N. Behavior of composite cement pastes containing silica nano-particles at elevated temperature. Constr. Build. Mater. 2014, 70, 339–350. [Google Scholar] [CrossRef]
- Chen, J.; Kou, S.-C.; Poon, C.-S. Cement and concrete composites hydration and properties of nano-TiO2 blended cement composites. Cem. Concr. Compos. 2012, 34, 642–649. [Google Scholar] [CrossRef]
- Lin, D.; Lin, K.; Chang, W.; Luo, H.; Cai, M. Improvements of nano-SiO2 on sludge/fly ash mortar. Waste Manag. 2008, 28, 1081–1087. [Google Scholar] [CrossRef]
- Akhtar, S.; Azam, A. Effect of nano-TiO2 on the properties of cementitious composites under different exposure. Integr. Med. Res. 2019, 8, 6158–6172. [Google Scholar] [CrossRef]
- Jo, B.-W.; Kim, C.-H.; Tae, G.-H.; Park, J.-B. Characteristics of cement mortar with nano-SiO2 particles. Constr. Build. Mater. 2007, 21, 1351–1355. [Google Scholar] [CrossRef]
- Shaikh, F.; Supit, S.; Sarker, P. A study on the effect of nano silica on compressive strength of high volume fly ash mortars and concretes. Mater. Des. 2014, 60, 433–442. [Google Scholar] [CrossRef]
- Gowda, R.; Narendra, H.; Rangappa, D.; Prabhakar, R. Effect of nano-alumina on workability, compressive strength and residual strength at elevated temperature of Cement Mortar. Mater. Today Proc. 2017, 4, 12152–12156. [Google Scholar] [CrossRef]
- Sedaghatdoost, A.; Behfarnia, K. Mechanical properties of Portland cement mortar containing multi-walled carbon nanotubes at elevated temperatures. Constr. Build. Mater. 2018, 176, 482–489. [Google Scholar] [CrossRef]
- Morsy, M.; Alsayed, S.; Aqel, M. Hybrid effect of carbon nanotube and nano-clay on physico-mechanical properties of cement mortar. Constr. Build. Mater. 2011, 25, 145–149. [Google Scholar] [CrossRef]
- Ma, R.; Guo, L.; Sun, W.; Liu, J.; Zong, J. Strength-enhanced ecological ultra-high performance fibre-reinforced cementitious composites with nano-silica. Mater. Struct. 2017, 50, 1–9. [Google Scholar] [CrossRef]
- Nazari, A.; Riahi, S.S.; Riahi, S.S.; Shamekhi, S.F.; Khademno, A. Mechanical properties of cement mortar with Al2O3 nanoparticles Mechanical properties of cement mortar with Al2O3 nanoparticles. J. Am. Sci. 2010, 6, 94–97. [Google Scholar]
- Francioso, V.; Moro, C.; Martinez-Lage, I.; Velay-Lizancos, M. Curing temperature: A key factor that changes the effect of TiO2 nanoparticles on mechanical properties, calcium hydroxide formation and pore structure of cement mortars. Cem. Concr. Compos. 2019, 104, 103374. [Google Scholar] [CrossRef]
- Chaipanich, A.; Rianyoi, R.; Nochaiya, T. The effect of carbon nanotubes and silica fume on compressive strength and flexural strength of cement mortars. Mater. Today Proc. 2017, 4, 6065–6071. [Google Scholar] [CrossRef]
- Gillani, S.S.-U.-H.; Khitab, A.; Ahmad, S.; Khushnood, R.A.; Ferro, G.A.; Kazmi, S.M.S.; Qureshi, L.A.; Restuccia, L. Improving the mechanical performance of cement composites by carbon nanotubes addition. Procedia Struct. Integr. 2017, 3, 11–17. [Google Scholar] [CrossRef]
- Gowda, R.; Narendra, H.; Nagabushan, B.; Rangappa, D.; Prabhakara, R. Investigation of nano-alumina on the effect of durability and micro-structural properties of the cement mortar. Mater. Today Proc. 2017, 4, 12191–12197. [Google Scholar] [CrossRef]
- Mohseni, E.; Miyandehi, B.M.; Yang, J.; Yazdi, M.A. The mechanical, rheological and durability properties of self-compacting mortar containing fly ash. Constr. Build. Mater. 2015, 84, 331–340. [Google Scholar] [CrossRef]
- Liu, J.; Jin, H.; Gu, C.; Yang, Y. Effects of zinc oxide nanoparticles on early-age hydration and the mechanical properties of cement paste. Constr. Build. Mater. 2019, 217, 352–362. [Google Scholar] [CrossRef]
- Hong, Z.-J.; Zuo, J.-P.; Zhang, Z.-S.; Liu, C.; Liu, L.; Liu, H.-Y. Effects of nano-clay on the mechanical and microstructural properties of cement-based grouting material in sodium chloride solution. Constr. Build. Mater. 2020, 245, 118420. [Google Scholar] [CrossRef]
- Dalla, P.T.; Tragazikis, I.K.; Exarchos, D.A.; Dassios, K.G.; Barkoula, N.M.; Matikas, T.E. Effect of carbon nanotubes on chloride penetration in cement mortars. Appl. Sci. 2019, 9, 1032. [Google Scholar] [CrossRef]
- Isfahani, F.T.; Li, W.; Redaelli, E. Dispersion of multi-walled carbon nanotubes and its effects on the properties of cement composites. Cem. Concr. Compos. 2016, 74, 154–163. [Google Scholar] [CrossRef]
- Al-Salami, A.; Morsy, M.; Taha, S.; Shoukry, H. Physico-mechanical characteristics of blended white cement pastes containing thermally activated ultrafine nano clays. Constr. Build. Mater. 2013, 47, 138–145. [Google Scholar] [CrossRef]
- Containing, M.; Polymers, S. Evaluation of the self-healing ability of mortar mixtures containing superabsorbent polymers. Materials 2020, 13, 380. [Google Scholar]
- Ma, S.; Qian, Y.; Kawashima, S. Performance-based study on the rheological and hardened properties of blended cement mortars incorporating palygorskite clays and carbon nanotubes. Constr. Build. Mater. 2018, 171, 663–671. [Google Scholar] [CrossRef]
- Emamian, S.A.; Eskandari-Naddaf, H. Effect of porosity on predicting compressive and flexural strength of cement mortar containing micro and nano-silica by ANN and GEP. Constr. Build. Mater. 2019, 218, 8–27. [Google Scholar] [CrossRef]
- Zhang, X.; Du, X.; Zhao, X.; Zhang, R.; Hou, P. The synergistic effect of nano-SiO2 with silica fume in cement-based material. J. Sustain. Cem. Mater. 2016, 6, 1–13. [Google Scholar] [CrossRef]
- Senff, L.; Hotza, D.; Lucas, S.; Ferreira, V.; Labrincha, J. Effect of nano-SiO2 and nano-TiO2 addition on the rheological behavior and the hardened properties of cement mortars. Mater. Sci. Eng. A 2012, 532, 354–361. [Google Scholar] [CrossRef]
- Gdoutos, E.E.; Konsta-Gdoutos, M.S.; Danoglidis, P.A. Portland cement mortar nanocomposites at low carbon nanotube and carbon nanofiber content: A fracture mechanics experimental study. Cem. Concr. Compos. 2016, 70, 110–118. [Google Scholar] [CrossRef]
- Senff, L.; Modolo, R.; Tobaldi, D.; Ascenção, G.; Hotza, D.; Ferreira, V.; Labrincha, J. The influence of TiO2 nanoparticles and poliacrilonitrile fibers on the rheological behavior and hardened properties of mortars. Constr. Build. Mater. 2015, 75, 315–330. [Google Scholar] [CrossRef]
- Souza, D.J.; Yamashita, L.Y.; Dranka, F.; Medeiros, M.H.F. Repair mortars incorporating multiwalled carbon nanotubes: Shrinkage and sodium sulfate attack. J. Mater. Civ. Eng. 2007, 29, 1–10. [Google Scholar] [CrossRef]
- Aly, M.; Hashmi, M.; Olabi, A.; Messeiry, M.; Hussain, A. Effect of nano clay particles on mechanical, thermal and physical behaviours of waste-glass cement mortars. Mater. Sci. Eng. A 2011, 528, 7991–7998. [Google Scholar] [CrossRef]
- Al-Dahawi, A.; Öztürk, O.; Emami, F.; Yıldırım, G.; Şahmaran, M. Effect of mixing methods on the electrical properties of cementitious composites incorporating different carbon-based materials. Constr. Build. Mater. 2016, 104, 160–168. [Google Scholar] [CrossRef]
- Ismail, M.; Abdel-Rahman, H.; Younes, M.; Hamed, E.; El-Hamouly, S. Studies on γ-irradiated polymer–nano calcined clay blended cement mortar composites. J. Ind. Eng. Chem. 2013, 19, 361–368. [Google Scholar] [CrossRef]
- Lucas, S.; Ferreira, V.; De Aguiar, J.B. Incorporation of titanium dioxide nanoparticles in mortars—Influence of microstructure in the hardened state properties and photocatalytic activity. Cem. Concr. Res. 2013, 43, 112–120. [Google Scholar] [CrossRef]
- Tzileroglou, C.; Stefanidou, M.; Kassavetis, S. Nanocarbon materials for nanocomposite cement mortars. Mater. Today Proc. 2017, 4, 6938–6947. [Google Scholar] [CrossRef]
- Ma, B.; Li, H.; Mei, J.; Li, X.; Chen, F. Effects of nano-TiO2 on the toughness and durability of cement-based material. Adv. Mater. Sci. Eng. 2015, 2015, 10. [Google Scholar] [CrossRef]
- Manzur, T.; Yazdani, N. Optimum mix ratio for carbon nanotubes in cement mortar. KSCE J. Civ. Eng. 2015, 19, 1405–1412. [Google Scholar] [CrossRef]
- Meng, T.; Yu, Y.; Qian, X.; Zhan, S.; Qian, K. Effect of nano-TiO2 on the mechanical properties of cement mortar. Constr. Build. Mater. 2012, 29, 241–245. [Google Scholar] [CrossRef]
- Morsy, M.S.; Alsayed, S.H.; Aqel, M. Effect of nano-clay on mechanical properties and microstructure of ordinary portland cement mortar. Int. J. Civ. Environ. Eng. 2010, 10, 23–27. [Google Scholar]
- Yazdani, N.; Mohanam, V. Carbon nano-tube and nano-fiber in cement mortar: Effect of dosage rate and water-cement ratio. Int. J. Mater. Sci. 2016. [Google Scholar] [CrossRef]
- Alonso, C.; Fernandez, L. Dehydration and rehydration processes of cement paste exposed to high temperature environments. J. Mater. Sci. 2004, 39, 3015–3024. [Google Scholar] [CrossRef]
- Ibrahim, R.K.; Hamid, R.; Taha, M. Fire resistance of high-volume fly ash mortars with nanosilica addition. Constr. Build. Mater. 2012, 36, 779–786. [Google Scholar] [CrossRef]
- Azimi-Pour, M.; Eskandari-Naddaf, H. ANN and GEP prediction for simultaneous effect of nano and micro silica on the compressive and flexural strength of cement mortar. Constr. Build. Mater. 2018, 189, 978–992. [Google Scholar] [CrossRef]
- Zhang, M.-H.; Li, H. Pore structure and chloride permeability of concrete containing nano-particles for pavement. Constr. Build. Mater. 2011, 25, 608–616. [Google Scholar] [CrossRef]
- Noorvand, H.; Abdullah, A.; Ali, A.; Demirboga, R.; Farzadnia, N.; Noorvand, H. Incorporation of nano TiO2 in black rice husk ash mortars. Constr. Build. Mater. 2013, 47, 1350–1361. [Google Scholar] [CrossRef]
- Sousa, S.; Ribeiro, M.; Nóvoa, P.; Pereira, C.; Ferreira, A. Mechanical behaviour assessment of unsaturated polyester polymer mortars filled with nano-sized Al2O3 and ZrO2 particles. Ciência Tecnol. Mater. 2017, 29, e167–e171. [Google Scholar] [CrossRef]
- Gopalakrishnan, R. Mechanical and m icrostructure studies on nano-clay admixtured cement mortar. Rasayan J. Chem. 2016, 9, 331–334. [Google Scholar]
- Muthu, M.; Santhanam, M. Effect of reduced graphene oxide, alumina and silica nanoparticles on the deterioration characteristics of Portland cement paste exposed to acidic environment. Cem. Concr. Compos. 2018, 91, 118–137. [Google Scholar] [CrossRef]
- Rupasinghe, M.; Mendis, P.; Ngo, T.; Nguyen, T.N.; Sofi, M. Compressive strength prediction of nano-silica incorporated cement systems based on a multiscale approach. Mater. Des. 2017, 115, 379–392. [Google Scholar] [CrossRef]
- Irshad, K.; Algarni, S.; Jamil, B.; Ahmad, M.T. Effect of gender difference on sleeping comfort and building energy utilization: Field study on test chamber with thermoelectric air-cooling system. Build. Environ. 2019, 152, 214–227. [Google Scholar] [CrossRef]













| Nanomaterials * | Formula | Specific Surface Area (m2/g) | Particle Size (nm) | Form | Specific Gravity | Colour | Purity (%) | References |
|---|---|---|---|---|---|---|---|---|
| Nano-silica | SiO2 | 40–600 | 2–264 | Colloidal solution, gel-type, and dry powder | 1.12 to 2.6 | White | SiO2 ≥ 98% to 99.9% | [5,18,27,28,29,30,31,32,33,34,35,36,37,38,39] |
| Nano-clay (Palygorskite) | - | - | 3 | - | 2.29 | - | - | [40] |
| Nano-clay (Halloysite) | - | 65 | 30–70 | Powder | - | White | - | [41] |
| Nano-clay (Kaolinite) | - | 30 | 300–500 | Powder | - | - | - | [42] |
| Nano-clay (Montmorillonite) | - | 330 | - | - | - | Light Cream | - | [43] |
| Nano-alumina | Al2O3 | 15–177 | 13–550 | Dry powder | 3.5–3.9 | White | Al2O3 ≥ 98% to 99.9% | [44,45,46,47,48,49] |
| Nano-magnesium oxide | MgO | 25–50 | 30–418.5 | - | - | White | MgO ≥ 98% to 99.9% | [50,51,52,53] |
| Nano-zinc oxide | ZnO | 18–60 | 25–60 | Dry powder | - | White | ZnO ≥ 99% to 99.5% | [54,55] |
| Nano-titanium oxide | TiO2 | 20–240 | 15–50 | Colloidal solution and dry powder | 3.8 | White | TiO2 ≥ 92% to 99.9% | [56,57,58,59,60] |
| Nano-carbon | C | 40–320 | 5–80 | Liquid solution, dry powder | - | Black | C ≥ 88% to 98.5% | [12,37,61,62,63,64,65] |
| Pozzolans Materials | Forms | Origin | Dosages | Remarks |
|---|---|---|---|---|
| Fly ash | Fine powder, spherical | Originates from the combustion of pulverized coal and is carried from the combustion chamber of the furnace by exhaust gases. | It is generally used at 5–65% by mass of cementitious materials. | Advantages: Used as an admixture, reduces crack problems, permeability, and bleeding; reduces heat of hydration; reduces CO2 emissions. Disadvantages: Slower strength gain, increased need for air-entraining admixtures, increase of salt scaling produced by higher proportions of fly ash [66]. |
| Silica fume | Finely divided residue, spherical | Originates from the production of elemental silicon or ferro-silicon alloys that is carried from the furnace by exhaust gases. | It is generally used at 5–12% by mass of cementitious materials. | Advantages: Early strength, increased thermal conductivity, good adsorption performance, no agglomeration phenomenon. Disadvantages: Dry shrinkage rate high, reduced workability, temperature crack rate high [67]. |
| Slag cement | Glassy, granular material, angular | Formed when molten, iron blast furnace slag is rapidly chilled typically by water sprays or immersion in water | It is used at 20–70% by mass of cementitious materials. | Advantages: Improved workability, increased cohesiveness, reduced water demand. Disadvantages: Poor water absorption, low mechanical resistance at first aging [68]. |
| Metakaoline | Angular, platy | It is produced from relatively pure kaolinite clay. | It is used at 5–15% by mass of cementitious materials. | Advantages: Reduced bleeding and segregation. Disadvantages: In some cases poor workability and consistency [68]. |
| Authors | Nanomaterials Used | Aggregates or Mineral Admixtures | Superplasticizers | Observations |
|---|---|---|---|---|
| Effects of Nanomaterials on Consistency and Setting Times of Cement Paste. | ||||
| [103] | Nano-silica (15 nm) - partial replacement of 1, 2, 4, and 6 wt% of cement. | - | - | - The water for standard consistency increased from 26.5% to 38.7% upon addition of 6% by wt of nano-silica. - The initial and final setting times decreased from 190 to 100 min and 345 to 250 min, respectively, upon addition of 6% by wt of nano-silica. |
| [103] | Nano-silica (15 nm) - addition of 0.5, 1, 2, and 3 wt% of cement. | Nano-clay (0.5%, 1%, 2%, and 3 wt% against 0.5%, 1%, 2%, and 3% nano-silica, respectively). | - | - The water for standard consistency increased considerably with the increase of combined addition of nano-silica and nano-clay. - The initial and final setting times decreased from 190 to 90 min and 345 to 240 min upon addition of 3% by wt of nano-silica and nano-clay, respectively. |
| [105] | Nano-silica - addition of 1, 2, and 3 wt% of cement. | Fly ash (20 wt% of binder). | - | - The water for standard consistency increased by 2–3% upon addition of nano-silica. - The setting times decreased considerably upon addition of nano-silica. |
| [86] | Nano-silica (15 nm) - partial replacement of 1, 1.5, 2, and 2.5 wt% of cement. | - | Polycarboxylic-acid-based superplasticizer (SP) (2 wt% of the binder). | - The initial and final setting times decreased significantly upon addition of 2.5% by wt of nano-silica. |
| [41] | Nano-clay - substitute levels of 1, 2, 3, 4, 5, and 6 wt% of high-volume slag cement. | - | - | - The inclusion of 6% increased the water/cement ratio from 25% to 26.7% to achieve standard consistency. However, both the initial and final setting times decreased upon addition of nano-silica up to 6% by wt. |
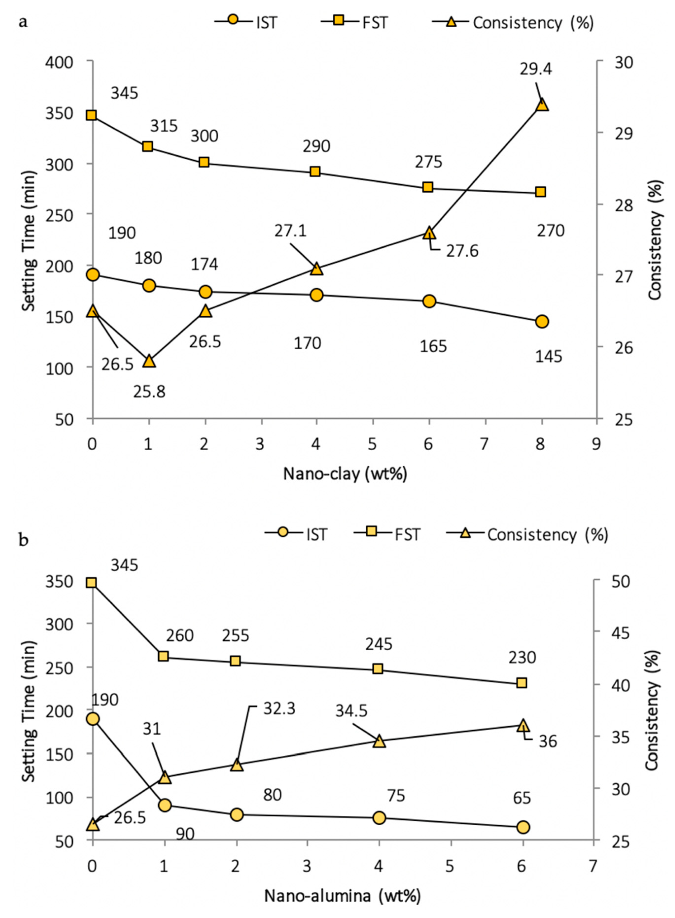
| [101] | Nano-clay - replacement levels of 1, 2, 4, 6, and 8 wt% of cement. | - | - | - The water requirements for standard consistency increased from 26.5% to 29.4% with the increase of nano-clay up to 8%. - The initial and final setting times decreased from 190 to 145 min and 345 to 270 min upon addition of 8% by wt of nano-clay, respectively. |
| [46] | Nano-alumina - replacement levels of 1, 2, 4, and 6 wt% of cement | .- | - | - The water for standard consistency increased from 26.5% to 36% with the increase of nano-alumina up to 6%. - The initial and final setting times decreased from 190 to 65 min and 345 to 230 min with the addition of 6% by wt of nano-alumina, respectively. |
| [100] | Nano-titanium oxide - replacement levels of 5, 7, and 10 wt% of cement. | Micro-silica (14.25%, 13.95%, and 13.5 wt% against each 5%, 7%, and 10% nano-TiO2, respectively). | SP (0.4 wt% of the solid mix). | - The water for standard consistency increased significantly upon addition of 5% of nano-TiO2. However, the setting times decrease upon addition of nano-silica. |
| [106] | Nano-titanium oxide - partial replacement levels of 1, 3, and 5 wt% of cement. | - | - | - The initial and final setting times decreased by 23.3% and 12.7% upon addition of 5% by wt of nano-TiO2, respectively. |
| Effect of Nanomaterials on Compressive Strength (CS) of mortar. | ||||
| [3] | Nano-silica (20–30 nm) - 1, 2, 3, and 4 wt% of cement. | Natural zeolite (5%, 10%, 15%, and 20% by weight of cement). | Polycarboxylate-based SP (1.1 wt% of binder). | - Addition of 3% nano-silica combined with 15% zeolite caused significant increases at 28 and 90 days of CS value of 30% and 23.9% with respect to the control mix, respectively. |
| [8] | Nano-silica (40 nm) - replaced by 2, 4, 6, 8, 10, 12, and 14 wt% of binder. | Fly ash + nano-silica (ratio 3:7). | Polycarboxylate-ether-based SP. | - Increases by 21.15 and 21.45 MPa after 28 and 90 days of curing, respectively, when compared to the control sample due to incorporation of 10% nano-silica. |
| [9] | Nano-silica (NS) - 3 wt% of cement. | Blast furnace slag (BFS) (10%, 20%, 30%, and 40 wt%). | SP (0% and 2.5% for 0% and 3 wt% of nano-silica added to mortar, respectively). | - Improvement of the CS from 50.73 to 59.42 MPa at 28 days - Optimum was 3% NS plus 30% BFS. |
| [11] | Nano-silica (40 nm) - inclusion levels of 1, 2, 3, and 4 wt% of binder. | Silica fume (4 wt% partial replacement of cement). | Polycarboxylate-based SP (0.13, 0.13, 0.26, 0.42, and 0.56 wt% for 0%, 1%, 2%, 3%, and 4 wt% of nano-silica added to mortar, respectively). | - The 28-day CS increased by 4.5 MPa compared to untreated sample due to addition of 2 wt% nano-silica. |
| [12] | Superhydrophobic nano-silica - replacement levels of 1, 2, and 4 wt%. | - | Polycarboxylate water-reducing admixture (0.3, 0.54, 0.78, and 1.26 wt% for 0%, 1%, 2%, and 7 wt% of nano-silica added to mortar, respectively). | - Addition of 4 wt% of nano-silica led to great enhancement of CS value of mortar. |
| [85] | Colloidal nano-silica (20 nm) - replaced by 0.5, 1, 1.5, and 2 wt% of cement. | - | - | - Increase of 11% after 28 days due to replacement with 2% nano-silica when compared to control sample. |
| [60] | Nano-silica (15 nm) - use of 0.5–1.5 wt%. | Unground palm oil fly ash (UPOFA) (10%, 20%, and 30 wt% against each 0.5%, 1%, and 1.5% nano-silica, respectively). | SP (1.4%, 1.5%, 1.9%, and 2.5% for 0%, 10%, 20%, and 30 wt% of UPOFA, respectively). | - Increase of the CS from 67.3 to 75 MPa and from 88.5 to 90.5 MPa at 28 and 90 days, respectively. - Optimum was 0.5% NS plus 10% UPOFA. |
| [107] | Nano-silica (40 nm) - use of 3%, 6%, 10%, and 12 wt%. | - | SP (1.2%, 1.8%, 2.4%, 2.9%, and 3.3 wt% for 0%, 3%, 6%, 10%, and 12 wt% of nano-silica, respectively). | - Increase of the CS from 18.3 to 50.7 MPa and from 25.6 to 68.8 MPa at 7 and 28 days, respectively. - Optimum level of 12% nano-silica. |
| [13] | Nano-silica (NS) (30 nm) - addition of 2 wt% of cement. | Polyvinyl alcohol (PVA) fiber (0%, 0.3%, 0.6%, 0.9%, 1.2%, and 1.5% by volume of composite) Fly ash addition by cement ratio (7:13). | High-range water-reducing admixture (0.45 wt% of cement). | - The highest CS values for 2% NS and 0.6% PVA composite soil increased by 1.03 times the strength of the untreated specimen. |
| [108] | Nano-silica (25 nm) - use of 2 wt%. | High-volume fly ash (HVFA) (38%, 48%, 58%, and 70 wt%). | - | - Improvement of the CS from 35 to 37 MPA in 28 days. - Optimum was 2% NS plus 38% HVFA. |
| [40] | Nano-clay (3 nm) - addition levels of 0.5% and 2.5%. | - | SP (varied between 0.6% and 3% by wt of the binder ). | - Huge enhancement of CS value observed upon addition of 0.5% dosage of nano-clay with SP content of 3% by wt of the binder. |
| [109] | Nano-alumina - replacement levels of 1%, 3%, and 5%. | - | - | - Maximum value of CS achieved at 5%, which was approximately 1.5 times higher than that of the controlled sample. |
| [92] | Nano-magnesium oxide (100 nm) - inclusion levels of 2.5%, 5%, and 7.5%. | - | Naphthalene-sulfonate-based SP (0.5 wt% of the cement). | - Improved the CS value from 74.7 to 80.9 MPa due to addition of 7.5 % MgO after 28 days of treatment. |
| [54] | Nano-zinc oxide (60 nm) - substitution levels of 1%, 3%, and 5%. | - | SP (1 wt% of the cement). | - Increased the CS value from 41.12 to 50.60 MPa after 28 days of treatment. - Optimum dosage of 3% by wt of the binder. |
| [10] | Nano-titanium oxide (20 nm) - replacement levels of 1%, 3%, and 5%. | Rice husk ash (RHA) (5%, 10%, and 15 wt% against each 1%, 3% and 5% nano-TiO2, respectively). | Polycarboxylate-ether-based SP (varied between 0.6 and 1.2% by wt of the binder). | - Great enhancement of CS value was observed due to addition of 5% nano-TiO2 and 10% RHA. |
| [94] | Nano-titanium oxide (20–30 nm) - substitute levels of 0.1%, 0.2%, 0.5%, and 1%. | - | - | - Incorporation of 0.2% nano-TiO2 resulted in maximum CS of 57.92 MPa as compared to controlled sample of 55.91 MPa. |
| [110] | CNT (8–15 nm) - added 0.05%, 0.1%, and 0.15 wt% of cement. | - | SP (0.3%, 0.45%, and 0.6 wt% for 0.05%, 0.1%, and 0.15 wt% of CNT, respectively). | - Addition of 0.1% of CNT resulted in an increase from 38.5 to 52 MPa and from 47.5 to 57.5 MPa after 28 and 90 days of curing with respect to untreated sample, respectively. |
| [111] | CNT (3–8 nm) - 0.005%, 0.02%, 0.05%, and 0.1 wt% of cement. | Nano-metakaolin (NMK) (6 wt%). | Dispersant solution. | - Noteworthy increase in UCS value was observed upon addition of 6% NMK and 0.02% CNT as compared to untreated sample. |
| [62] | CNT (30–80 nm) - 0.01%, 0.03%, 0.05%, and 0.07 wt%. | Nano-silica (NS) (1 wt%). | Polycarboxylate-based SP (varied from 0.5 to 1 wt%). | - Sample with 1% NS and 0.01% CNT showed significant CS value. The increase was 62% compared to pure ground values after 28 days of curing. |
| Effects of Nanomaterials on Flexural strength (FS) and Tensile Strength (TS) of Mortar. | ||||
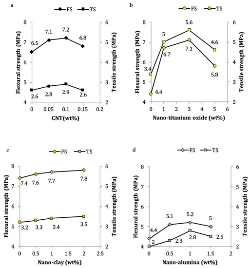
| [82] | Nano-silica sol (25–35 nm) - use of 0.5, 1, 1.5, 2, and 3 wt% of cement. | - | Poly-carboxylic acid water-reducing agent (1 wt% of binder). | - Increase of the FS from 9 to 10.7 MPa in 7 days. - Optimum was 3% nano-silica. |
| [89] | Nano-silica sol (30–100 nm) - addition of 2, 6, and 10 wt% of cement. | - | - | - Increase of the TS from 2.2 to 2.65 MPa in 28 days. - Optimum was 2% nano-silica. |
| [112] | Nano-silica (30 nm) - substitute levels of 1, 2, 3, and 4 wt% of cement. | Silica fume (SF) (16.67 wt% of cement). | Polycarboxylate-based SP (3.33 wt% of binder). | - The 28-day FS increased from 28.2 to 37.3 MPa due to addition of 4 wt% nano-silica. |
| [43] | Nano-clay - substitute levels of 1%, 3%, 5%, 7%, and 10%. | - | - | - Due to addition of 10% nano-clay, the FS values increased by 76.6%, 67.2%, and 65.4% after 3, 7, and 28 days of curing, respectively. |
| [79] | Nano-clay - replacement levels of 0.5%, 1%, and 2 wt%. | - | - | - Due to addition of nano-clay, TS increased from 2.8 to 3.1 MPa and from 3.2 to 3.5 MPa after 7 and 28 days of treatment, respectively. |
| [10] | Nano-alumina (20 nm) - substitute levels of 1%, 2%, and 3%. | Rice husk ash (RHA) (10%, 20%, and 30 wt% against each 1%, 2%, and 3% nano-alumina, respectively). | Polycarboxylate-based SP (varied between 0.2% and 1% by wt of the binder). | - The FS value reached 9.06 MPa when the amount of nano-alumina used was 3% and RHA was 10% compared to 6.76 MPa for the controlled sample after 28 days of curing. |
| [113] | Nano-alumina (15 nm) - substitute levels of 0.5, 1, 1.5, and 2 wt%. | - | - | - TS increased with nano-alumina up to 1% replacement and then decreased, although the value against 2% was still higher than the control mix. |
| [114] | Nano-titanium oxide (21 nm) - replacement levels of 0.25%, 0.5%, and 1% wt. | - | - | - The FS value increased significantly with increase in nano-TiO2 content from 0.25% to 0.5%, then beyond 0.5% the strength decreased. |
| [95] | CNT (20–45 nm) - (0.08%, 0.1%, 0.3%, and 0.5 wt%). | - | SP (0.008 wt%). | - The FS value increased from 5.9 to 11.1 MPa on inclusion of 0.1% of CNT after 28 days, leading to an increase of 88.1% with respect to untreated sample. |
| [115] | CNT (50 nm) - addition levels of 0.5 and 1 wt% of cement. | Silica fume (SF) (10 wt% of partial replacement of cement). | - | - Significant improvement in FS value was observed on inclusion of 0.5% of CNT and 10% of SF. |
| [116] | CNT (6–25 nm) - addition of 0.05% and 0.1 wt% of cement. | - | - | - Addition of 0.05 wt% CNT increased the TS by 20.58% as compared to controlled sample in 28 days. |
| [12] | CNT - use of 0.01–0.06 wt% of cement. | Hemp fibers (HF) (2.1% volume). | - | - Maximum FS value was observed on addition of 0.01% of CNT and 2.1% HF with respect to that of controlled sample. |
| Effects of Nanomaterials on Water Absorption (WA) of Mortar. | ||||
| [27] | Nano-silica (8–20 nm) - addition of 1.5 and 3 wt% of cement. | - | - | - Increase in amount of nano-silica up to 3% caused decreases WA (%) in mortar. |
| [79] | Nano-clay - substitute levels of 0.5, 1, and 2 wt% of binder. | - | - | - Inclusion of 0.5% nano-clay decreased the WA (%)compared to the control sample and then increased with increase in nano-clay content up to 2%. |
| [117] | Nano-alumina - replacement levels of 1, 3, and 5 wt% of cement. | - | - | - Decreased the WA (%) from 8.37% to 7.8% in 28 days. - Optimum dosage was 1 wt%. |
| [10] | Nano-alumina (20 nm) - substitute levels of 1%, 2%, and 3%. | RHA (10%, 20%, and 30 wt% against each substitute level). | Polycarboxylate-based SP (varied between 0.2% and 1% by wt of the binder ). | - By adding 3% nano-silica and 20% RHA, the WA (%) was 0.8 times lower than untreated specimen after 28 days of curing. |
| [118] | Nano-titanium oxide (15 nm) - replacement levels of 1, 3, and 5 wt% of cement. | - | Polycarboxylate-based SP (varied between 0.75 and 0.85% by wt of the binder ). | - The WA (%) of the treated sample decreased rapidly at 5% in comparison to the untreated sample. |
| Authors | Nanomaterials Used | Superplasticizers | Observations |
|---|---|---|---|
| Effects of nanomaterials on Slump Values of Mortar. | |||
| [59] | Nano-silica (20 nm) - partial replacement of 0.75, 1.5, and 3 wt% of cement. | SP (1.5 wt% of cement). | - The water for standard consistency increased from 26.5% to 38.7% upon addition of 6% by wt of nano-silica. - The initial and final setting times decreased from 190 to 100 min and 345 to 250 min upon addition of 6% by wt of nano-silica, respectively. |
| [109] | Nano-alumina - replacement levels of 1%, 3%, and 5%. | - | - The initial and final setting times decreased significantly upon addition of 2.5% by wt of nano-silica. |
| [55] | Nano-zinc oxide (25 nm) - addition of 1%, 3%, and 5 wt%. | - | - The water for standard consistency increased by 2–3% upon addition of nano-silica. - The setting times decreased considerably upon addition of nano-silica. |
| [119] | Nano-zinc oxide (12 nm) - partial replacement levels of 0.05%, 0.1%, and 0.2 wt%. | - | - The water for standard consistency increased considerably with the increase of the combined addition of nano-silica and nano-clay. - The initial and final setting times decreased from 190 to 90 min and 345 to 240 min upon addition of 3% by wt of nano-silica and nano-clay, respectively. |
| Effects of nanomaterials on other mechanical properties of mortar. | |||
| [32] | Nano-silica (36 nm) - substitute levels used were 0.5%, 1%, 1.5%, 2%, 3%, and 4 wt%. | - | Increase the shear stress. Optimum (%) = 1.5% |
| [48] | Nano-alumina (15 nm) - replacement levels used were 1%, 2%, and 3 wt%. | Napthalene-sulfonate-based SP (5% by wt of the total composite). | Increase the elasticity modulus. Optimum (%) = 1% |
| [95] | CNT (20–45 nm) - use of 0.08%, 0.1%, 0.3%, and 0.5 wt%. | SP (0.008% by wt of the binder). | Increase the elasticity modulus. Optimum (%) = 0.1% |
| Effect of nanomaterials on chloride penetration of mortar. | |||
| [81] | Nano-silica (5–20 nm) - addition of 1 and 2 wt% of cement. | Polycarboxylate-based SP. | - The total charge passed decreased from 5254 to 4761 coulombs, thereby enhancing the chloride resistance. - The optimum dosage was 1 wt%. |
| [120] | Nano-clay - addition levels of 1, 2, 3, 5 m and 7 wt% of cement. | - | - Minimum total charge passed was obtained when 2% of nano-clay was added to the specimen. |
| [118] | Nano-alumina (15 nm) - replacement levels of 1, 3, and 5 wt% of cement. | Polycarboxylate-based SP (varied between 0.75 and 0.85% by wt of the binder). | - Slight decrease in total charge passed was obtained when 3% dosage of CNT was partially replaced with cement. |
| Nano-titanium oxide (15 nm) - replacement levels of 1, 3, and 5 wt% of cement. | - Huge decrease in total charge passed was obtained when 5% dosage of nano-titanium oxide was partially replaced with cement. | ||
| [121] | CNT (20–40 nm) - addition of 0.2, 0.4, 0.6, and 0.8 wt% of cement. | Polycarboxylate-based SP. | - The lowest total charge passed was obtained when 0.8% dosage of CNT was partially replaced with cement, leading to an increase in chloride resistance. |
| Effects of nanomaterials on other durability properties of mortar. | |||
| [47] | Nano-silica (12 nm) - 5 wt% of cement. | Polycarboxylate-based SP (1.2% by wt of cement). | Reduction in mass loss due to freeze–thaw cycle. Optimum (%) = 5% |
| [81] | Nano-silica (5–20 nm) - addition of 1 and 2 wt% of cement. | SP (varied between 1.2% and 2.5%). | Reduction in loss of strength due to sulfate attack. Optimum (%) = 2% |
| [122] | CNT (15 nm) - addition of 0.1 and 0.3 wt% of cement. | SP (2 wt% of cement). | Decrease the shrinkage strain. Optimum (%) = 0.3% |
| [21] | Nano-titanium oxide (25 nm) - replacement levels of 1, 3, and 5 wt% of cement. | SP (varied between 1% and 2.7% to maintain slump flow of 165 mm). | Decrease the shrinkage strain. Optimum (%) = 5% |
Publisher’s Note: MDPI stays neutral with regard to jurisdictional claims in published maps and institutional affiliations. |
© 2021 by the authors. Licensee MDPI, Basel, Switzerland. This article is an open access article distributed under the terms and conditions of the Creative Commons Attribution (CC BY) license (https://creativecommons.org/licenses/by/4.0/).
Share and Cite
Khan, M.A.; Imam, M.K.; Irshad, K.; Ali, H.M.; Hasan, M.A.; Islam, S. Comparative Overview of the Performance of Cementitious and Non-Cementitious Nanomaterials in Mortar at Normal and Elevated Temperatures. Nanomaterials 2021, 11, 911. https://doi.org/10.3390/nano11040911
Khan MA, Imam MK, Irshad K, Ali HM, Hasan MA, Islam S. Comparative Overview of the Performance of Cementitious and Non-Cementitious Nanomaterials in Mortar at Normal and Elevated Temperatures. Nanomaterials. 2021; 11(4):911. https://doi.org/10.3390/nano11040911
Chicago/Turabian StyleKhan, M. Arsalan, M. Khalid Imam, Kashif Irshad, Hafiz Muhammad Ali, Mohd Abul Hasan, and Saiful Islam. 2021. "Comparative Overview of the Performance of Cementitious and Non-Cementitious Nanomaterials in Mortar at Normal and Elevated Temperatures" Nanomaterials 11, no. 4: 911. https://doi.org/10.3390/nano11040911
APA StyleKhan, M. A., Imam, M. K., Irshad, K., Ali, H. M., Hasan, M. A., & Islam, S. (2021). Comparative Overview of the Performance of Cementitious and Non-Cementitious Nanomaterials in Mortar at Normal and Elevated Temperatures. Nanomaterials, 11(4), 911. https://doi.org/10.3390/nano11040911

