Substrate-Induced Strain Effect on Structural and Magnetic Properties of La0.5Sr0.5CoO3 Films
Abstract
1. Introduction
2. Experimental Section
3. Results and Discussion
3.1. Structural Characterization
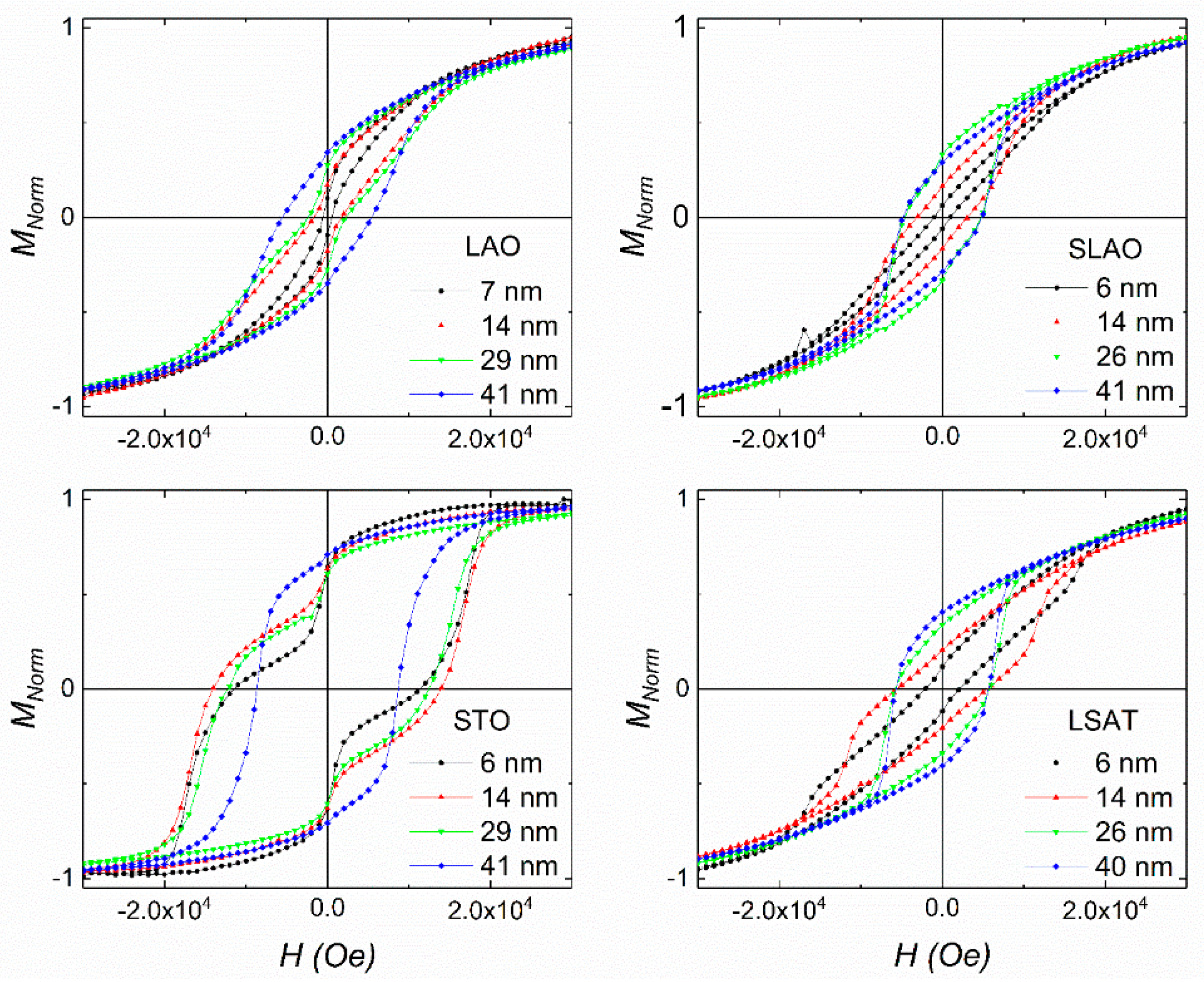
3.2. Magnetic Properties
4. Conclusions
Author Contributions
Funding
Acknowledgments
Conflicts of Interest
References
- Schwartz, R.; Sebastian, M.; Raymond, M. Evaluation of LSCO Electrodes for Sensor Protection Devices. MRS Proc. 2000, 623, 365–370. [Google Scholar] [CrossRef]
- Othmen, Z.; Schulman, A.; Daoudi, K.; Boudard, M.; Acha, C.; Roussel, H.; Oueslati, M.; Tsuchiya, T. Structural, electrical and magnetic properties of epitaxial La0.7Sr0.3CoO3 thin films grown on SrTiO3 and LaAlO3 substrates. Appl. Surf. Sci. 2014, 306, 60–65. [Google Scholar] [CrossRef]
- Jonker, G.H.; Van Santen, J.H. Magnetic compounds wtth perovskite structure III. ferromagnetic compounds of cobalt. Physica 1953, 19, 120–130. [Google Scholar] [CrossRef]
- Goodenough, J.B. An interpretation of the magnetic properties of the perovskite-type mixed crystals La1−xSrxCoO3−δ. J. Phys. Chem. Solids 1958, 6, 287–297. [Google Scholar] [CrossRef]
- Caciuffo, R.; Rinaldi, D.; Barucca, G.; Mira, J.; Rivas, J.; Senarís-Rodríguez, M.; Radaelli, P.G.; Fiorani, D.; Goodenough, J.B. Structural details and magnetic order of La1−xSrxCoO3 (x ≤ 0.3). Phys. Rev. B 1999, 59, 1068. [Google Scholar] [CrossRef]
- Androulakis, J.; Katsarakis, N.; Giapintzakis, J. Ferromagnetic and antiferromagnetic interactions in lanthanum cobalt oxide at low temperatures. Phys. Rev. B 2001, 64, 1–7. [Google Scholar] [CrossRef]
- Klie, R.; Zheng, J.; Zhu, Y.; Varela, M.; Wu, J.; Leighton, C. Direct measurement of the low-temperature spin-state transition in LaCoO3. Phys. Rev. Lett. 2007, 99, 1–4. [Google Scholar] [CrossRef]
- Davies, J.; Wu, J.; Leighton, C.; Liu, K. Magnetization reversal and nanoscopic magnetic phase separation in doped La1−xSrxCoO3. Phys. Rev. B 2005, 72, 134419. [Google Scholar] [CrossRef]
- Yan, J.-Q.; Zhou, J.-S.; Goodenough, J. Ferromagnetism in LaCoO3. Phys. Rev. B 2004, 70, 2–6. [Google Scholar] [CrossRef]
- English, S.R.; Wu, J.; Leighton, C. Thermally excited spin-disorder contribution to the resistivity of LaCoO3. Phys. Rev. B 2002, 65, 220407(R). [Google Scholar] [CrossRef]
- Schmidt, R.; Wu, J.; Leighton, C.; Terry, I. Dielectric response to the low-temperature magnetic defect structure and spin state transition in polycrystalline LaCoO3. Phys. Rev. B 2009, 79, 1–8. [Google Scholar] [CrossRef]
- Ravindran, P.; Fjellvåg, H.; Kjekshus, A.; Blaha, P.; Schwarz, K.; Luitz, J. Itinerant metamagnetism and possible spin transition in LaCoO3 by temperature/hole doping. J. Appl. Phys. 2002, 91, 291–303. [Google Scholar] [CrossRef]
- Mahendiran, R.; Raychaudhuri, A.K. Magnetoresistance of the spin-state-transition compound La1−xSrxCoO3. Phys. Rev. B 1996, 54, 16044. [Google Scholar] [CrossRef]
- Aarbogh, H.M.; Wu, J.; Wang, L.; Zheng, H.; Mitchell, J.F.; Leighton, C. Magnetic and electronic properties of La1−xSrxCoO3 single crystals across the percolation metal-insulator transition. Phys. Rev. B 2006, 74, 134408. [Google Scholar] [CrossRef]
- Durá, O.J.; Rogl, P.; Falmbigl, M.; Hilscher, G.; Bauer, E. Thermoelectric and magnetic properties of nanocrystalline La0.7Sr0.3CoO3. J. Appl. Phys. 2012, 111, 063722. [Google Scholar] [CrossRef]
- Torija, M.A.; Sharma, M.; Gazquez, J.; Varela, M.; He, C.; Schmitt, J.; Borchers, J.A.; Laver, M.; El-Khatib, S.; Leighton, C. Chemically driven nanoscopic magnetic phase separation at the SrTiO3(001)/La1−xSrxCoO3 interface. Adv. Mater. 2011, 23, 2711–2715. [Google Scholar] [CrossRef]
- Wu, J.; Leighton, C. Glassy ferromagnetism and magnetic phase separation in La1−xSrxCoO3. Phys. Rev. B 2003, 67, 1–16. [Google Scholar] [CrossRef]
- Golovanov, V.; Mihaly, L.; Moodenbaugh, A.R. Magnetoresistance La1−xSrxCoO3 for 0.05 ≤ x ≥ 0.25. Phys. Rev. B 1996, 53, 8207. [Google Scholar] [CrossRef] [PubMed]
- Hoch, M.; Kuhns, P.; Moulton, W.; Reyes, A.P.; Wu, J.; Leighton, C. Spin dynamics in La1−xSrxCoO3. Phys. Rev. B 2004, 69, 1–7. [Google Scholar] [CrossRef]
- He, C.; Eisenberg, S.; Jan, C.; Zheng, H.; Mitchell, J.F.; Leighton, C. Heat capacity study of magnetoelectronic phase separation in La1-xSrxCoO3 single crystals. Phys. Rev. B 2009, 80, 214411. [Google Scholar] [CrossRef]
- Torija, M.A.; Sharma, M.; Fitzsimmons, M.R.; Varela, M.; Leighton, C. Epitaxial La0.5Sr0.5CoO3 thin films: Structure, magnetism, and transport. J. Appl. Phys. 2008, 104, 023901. [Google Scholar] [CrossRef]
- Samal, D.; Kumar, A. A critical re-examination and a revised phase diagram of La1−xSrxCoO3. J. Phys. Conds. Matter 2011, 23, 16001. [Google Scholar] [CrossRef] [PubMed]
- Németh, Z.; Szabó, A.; Knížek, K.; Sikora, M.; Chernikov, R.; Sas, N.; Bogdán, C.; Nagy, D.L.; Vankó, G. Microscopic origin of the magnetoelectronic phase separation in Sr-doped LaCoO3. Phys. Rev. B Condens. Matter Mater. Phys. 2013, 88, 1–10. [Google Scholar] [CrossRef]
- Dagotto, E.; Hotta, T.; Moreo, A. Colossal magnetoresistant materials: The key role of phase separation. Phys. Rep. 2001, 344, 1–153. [Google Scholar] [CrossRef]
- Kuhns, P.L.; Hoch, M.J.R.; Moulton, W.G.; Reyes, A.P.; Wu, J.; Leighton, C. Magnetic phase separation in La1−xSrxCoO3 by 59Co nuclear magnetic resonance. Phys. Rev. Lett. 2003, 91, 127202. [Google Scholar] [CrossRef] [PubMed]
- Gazquez, J.; Bose, S.; Sharma, M.; Torija, M.A.; Pennycook, S.J.; Leighton, C.; Varela, M. Lattice mismatch accommodation via oxygen vacancy ordering in epitaxial La0.5Sr0.5CoO3−δ thin films. APL Mater. 2013, 1, 012105. [Google Scholar] [CrossRef]
- Mandal, P.; Hassen, A.; Choudhury, P. Transport properties of metallic La1−xSrxCoO3 (0.30 ≤ x ≤ 0.50) ferromagnet. J. Appl. Phys. 2006, 100, 103912. [Google Scholar] [CrossRef]
- Hanashima, T.; Azuhata, S.; Yamawaki, K.; Shimizu, N.; Mori, T.; Tanaka, M.; Sasaki, S. Compositional dependence of X-ray absorption spectra on magnetic circular dichroism and near-edge structure at Co K edge in La1−xSrxCoO3 (0 ≤ x ≤ 0.6). Jpn. J. Appl. Phys. 2004, 43, 4171–4178. [Google Scholar] [CrossRef]
- Roy, B.; Das, S. Size-induced metal insulator transition and glassy magnetic behavior in La0.5Sr0.5CoO3 nanoparticles. Appl. Phys. Lett. 2008, 92, 2008–2010. [Google Scholar] [CrossRef]
- Fuchs, D.; Schwarz, T.; Morán, O.; Schweiss, P.; Schneider, R. Finite-size shift of the Curie temperature of ferromagnetic lanthanum cobaltite thin films. Phys. Rev. B 2005, 71, 092406. [Google Scholar] [CrossRef]
- Fuchs, D.; Pinta, C.; Schwarz, T.; Schweiss, P.; Nagel, P.; Schuppler, S.; Schneider, R.; Merz, M.; Roth, G.; Löhneysen, H.V. Ferromagnetic order in epitaxially strained LaCoO3 thin films. Phys. Rev. B 2007, 75, 144402. [Google Scholar] [CrossRef]
- Fuchs, D.; Arac, E.; Pinta, C.; Schuppler, S.; Schneider, R.; Löhneysen, H.V. Tuning the magnetic properties of LaCoO3 thin films by epitaxial strain. Phys. Rev. B 2008, 77, 014434. [Google Scholar] [CrossRef]
- Heo, Y.; Kan, D.; Anada, M.; Wakabayashi, Y.; Tajiri, H.; Shimakawa, Y. Correlations between oxygen octahedral distortions and magnetic and transport properties in strained La0.5Sr0.5CoO3 thin films. Phys. Rev. B 2019, 99. [Google Scholar] [CrossRef]
- Lucy, J.; Ball, M.; Restrepo, O.; Hauser, A.; Soliz, J.; Freeland, J.; Woodward, P.; Windl, W.; Yang, F. Strain-tunable, extraordinary magnetocrystalline anisotropy in Sr2CrReO6 Epitaxial films. Phys. Rev. B 2014, 90, 180401. [Google Scholar] [CrossRef]
- Hu, R.; Soh, A.K.; Ni, Y. Micromagnetic simulation of size effects on the properties of ferromagnetic materials. J. Phys. D Appl. Phys. 2006, 39, 1987. [Google Scholar] [CrossRef]
- Zhang, J.; Baishun, Y.; Zheng, H.; Han, X.; Yan, Y. Large magnetic anisotropy and strain induced enhancement of magnetic anisotropy in monolayer TaTe2. Phys. Chem. Chem. Phys. 2017, 19. [Google Scholar] [CrossRef] [PubMed]
- Goyal, R.; Lamba, S.; Annapoorni, S. Modelling of strain induced magnetic anisotropy in Au additive FePt thin films. Prog. Nat. Sci. Mater. Int. 2019, 29, 517–524. [Google Scholar] [CrossRef]
- Wang, W.; Zhang, J.; Shen, X.; Guan, X.; Yao, Y.; Li, J.; Gu, C.; Sun, J.; Zhu, Y.; Tao, J.; et al. Out-of-plane magnetic anisotropy enhancement in La1−xSrxCoO3−δ/La2/3Sr1/3MnO3/La1−xSrxCoO3−δ thin films. Phys. Rev. B 2020, 101, 24406. [Google Scholar] [CrossRef]
- Cabero, M.; Nagy, K.; Gallego, F.; Sander, A.; Rio, M.; Cuellar, F.A.; Tornos, J.; Hernandez-Martin, D.; Nemes, N.M.; Mompean, F.; et al. Modified magnetic anisotropy at LaCoO3/La0.7Sr0.3MnO3 interfaces. APL Mater. 2017, 5, 096104. [Google Scholar] [CrossRef]
- Pesquera, D.; Herranz, G.; Barla, A.; Pellegrin, E.; Bondino, F.; Magnano, E.; Sánchez, F.; Fontcuberta, J. Surface symmetry-breaking and strain effects on orbital occupancy in transition metal perovskite epitaxial films. Nat. Commun. 2012, 3, 1189. [Google Scholar] [CrossRef]
- Zhang, J.; Zhong, Z.; Guan, X.; Shen, X.; Zhang, J.; Han, F.; Zhang, H.; Zhang, H.; Yan, X.; Zhang, Q.; et al. Symmetry mismatch-driven perpendicular magnetic anisotropy for perovskite/brownmillerite heterostructures. Nat. Commun. 2018, 9, 1923. [Google Scholar] [CrossRef] [PubMed]
- Wang, Y.; Yu, L.; Wang, J.; Chen, L.; Gao, W.; Du, X.; Biao, L. Porous microstructure modification of La1−xSrxCoO3 (0 ≤ x ≤ 1) ceramics via Sr content. Mater. Lett. 2012, 75, 39–41. [Google Scholar] [CrossRef]
- Parratt, L.G. Surface studies of solids by total reflection of x-rays. Phys. Rev. 1954, 95, 359–369. [Google Scholar] [CrossRef]
- Huang, T.C.; Gilles, R.; Will, G. Thin-film thickness and density determination from x-ray reflectivity data using a conventional power diffractometer. Thin Solid Films 1993, 230, 99–101. [Google Scholar] [CrossRef]
- Kobayashi, S. X-ray thin-film measurement techniques IV. In-plane diffraction measurements. Rigaku J. 2010, 26, 3–11. [Google Scholar]
- Dong, L.; Schnitker, J.; Smith, R.W.; Srolovitz, D.J. Stress relaxation and misfit dislocation nucleation in the growth of misfitting films: A molecular dynamics simulation study. J. Appl. Phys. 1998, 83, 217–227. [Google Scholar] [CrossRef]
- Hopkinson, J. Magnetic properties of alloys of Nickel and Iron. Proc. R. Soc. Lond. 1890, 48. [Google Scholar] [CrossRef]
- Chikazumi, S. Physics of Magnetism; Wiley: New York, NY, USA, 1964. [Google Scholar]
- Rata, A.D.; Herklotz, A.; Nenkov, K.; Schultz, L.; Dörr, K. Strain-induced insulator state and giant gauge factor of La0.7Sr0.3CoO3 Films. Phys. Rev. Lett. 2008, 100, 076401. [Google Scholar] [CrossRef]
- Xie, C.; Budnick, J.; Hines, W.; Wells, B.; Woicik, J. Strain-induced change in local structure and its effect on the ferromagnetic properties of La0.5Sr0.5CoO3 thin films. Appl. Phys. Lett. 2008, 93, 182507. [Google Scholar] [CrossRef]
- Yang, H.W.; Zhang, H.R.; Li, Y.; Wang, S.F.; Shen, X.; Lan, Q.Q.; Meng, S.; Yu, R.C.; Shen, B.G.; Sun, J.R. Anomalous magnetism in strained La1−xSrxCoO3 epitaxial films (0 ≤ x ≤ 0.5). Sci. Rep. 2014, 4, 6206. [Google Scholar] [CrossRef]
- Kelly, S.; Galli, F.; Aarts, J.; Bose, S.; Sharma, M.; Leighton, C. Direct real space observation of magneto-electronic inhomogeneity in ultra-thin film La0.5Sr0.5CoO3−δ on SrTiO3(001). Appl. Phys. Lett. 2014, 105, 112909. [Google Scholar] [CrossRef]
- Yi, D.; Lu, N.; Chen, X.; Shen, S.; Yu, P. Engineering magnetism at functional oxides interfaces: Manganites and beyond. J. Phys. Condens. Matter 2017, 29. [Google Scholar] [CrossRef] [PubMed]
- Rigato, F.; Geshev, J.; Skumryev, V. The magnetization of epitaxial nanometric CoFe2O4(001) layers. J. Appl. Phys. 2009, 106. [Google Scholar] [CrossRef]
- Woicik, J.C.; Xie, C.K.; Wells, B.O. Effect of strain on the local perovskite structure: La0.5Sr0.5CoO3. J. Appl. Phys. 2011, 109, 083519. [Google Scholar] [CrossRef]
- Ciubotariu, O.; Semisalova, A.; Lenz, K.; Albrecht, M. Strain-induced perpendicular magnetic anisotropy and Gilbert damping of Tm3Fe5O12 thin films. Sci. Rep. 2019, 9, 17474. [Google Scholar] [CrossRef]









Publisher’s Note: MDPI stays neutral with regard to jurisdictional claims in published maps and institutional affiliations. |
© 2021 by the authors. Licensee MDPI, Basel, Switzerland. This article is an open access article distributed under the terms and conditions of the Creative Commons Attribution (CC BY) license (http://creativecommons.org/licenses/by/4.0/).
Share and Cite
Sánchez-Pérez, M.; Andrés, J.P.; González, J.A.; López Antón, R.; López de la Torre, M.A.; Juan Dura, O. Substrate-Induced Strain Effect on Structural and Magnetic Properties of La0.5Sr0.5CoO3 Films. Nanomaterials 2021, 11, 781. https://doi.org/10.3390/nano11030781
Sánchez-Pérez M, Andrés JP, González JA, López Antón R, López de la Torre MA, Juan Dura O. Substrate-Induced Strain Effect on Structural and Magnetic Properties of La0.5Sr0.5CoO3 Films. Nanomaterials. 2021; 11(3):781. https://doi.org/10.3390/nano11030781
Chicago/Turabian StyleSánchez-Pérez, Miriam, Juan Pedro Andrés, Juan Antonio González, Ricardo López Antón, Marco Antonio López de la Torre, and Oscar Juan Dura. 2021. "Substrate-Induced Strain Effect on Structural and Magnetic Properties of La0.5Sr0.5CoO3 Films" Nanomaterials 11, no. 3: 781. https://doi.org/10.3390/nano11030781
APA StyleSánchez-Pérez, M., Andrés, J. P., González, J. A., López Antón, R., López de la Torre, M. A., & Juan Dura, O. (2021). Substrate-Induced Strain Effect on Structural and Magnetic Properties of La0.5Sr0.5CoO3 Films. Nanomaterials, 11(3), 781. https://doi.org/10.3390/nano11030781

