An Effective Method to Accurately Extract the Parameters of Single Diode Model of Solar Cells
Abstract
:1. Introduction
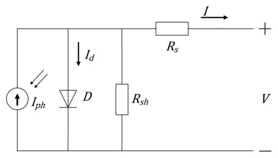
2. Method of Parameter Extraction
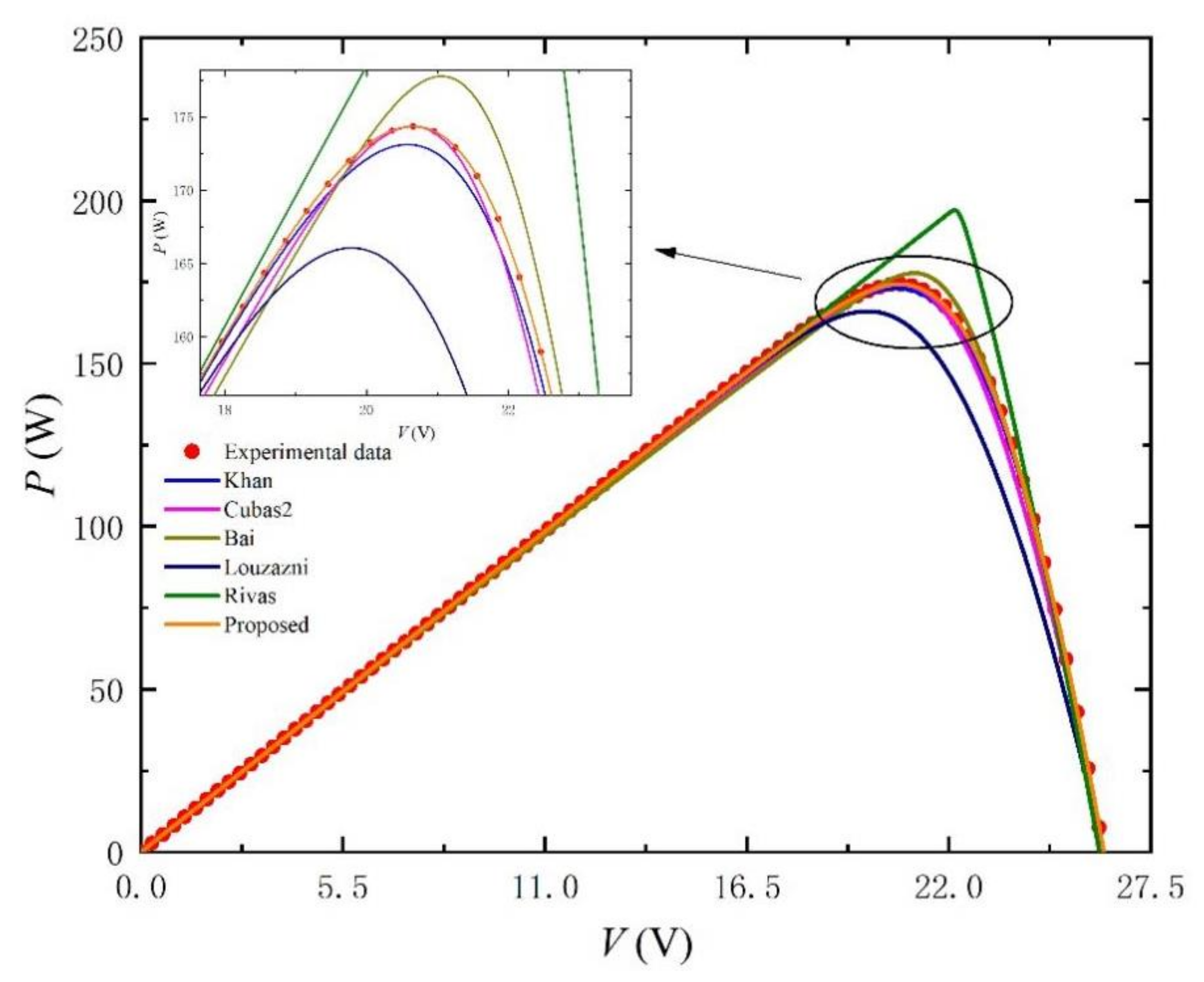
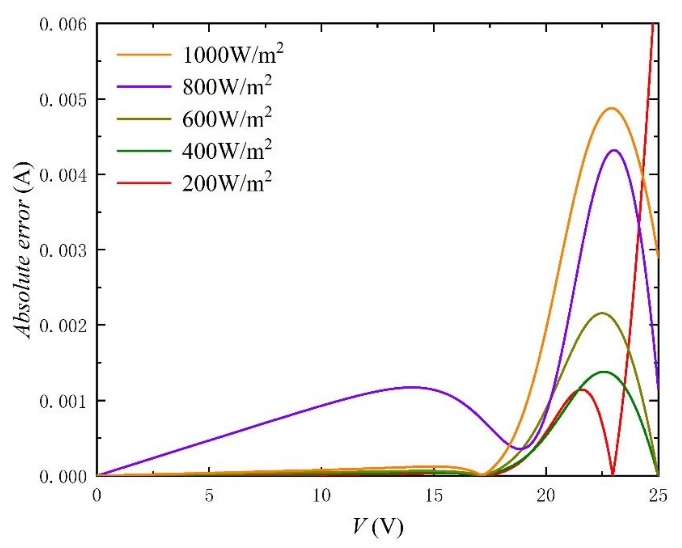
3. Verifications and Discussions
4. Conclusions
Author Contributions
Funding
Institutional Review Board Statement
Informed Consent Statement
Data Availability Statement
Conflicts of Interest
References
- Rivas-Vázquez, J.A.; Loera-Palomo, R.; Álvarez-Macías, C.; Rivero, M.; Sellschopp-Sánchez, S.F. Statistical Method for Single Diode Model Parameters Extraction of a Photovoltaic Module. In Proceedings of the 2020 IEEE International Autumn Meeting on Power, Electronics and Computing (ROPEC), Ixtapa, Mexico, 10–12 November 2020; pp. 1–6. [Google Scholar] [CrossRef]
- Ali M, H.; Mojgan, H.; Saad, H.; Hussein, M.H. Solar cell parameters extraction based on single and double-diode models: A review. Renew. Sustain. Energy Rev. 2016, 56, 494–509. [Google Scholar]
- Adelmo, O.C.; Francisco, G.S.; Juan, M.; Andrea, S.G. A review of diode and solar cell equivalent circuit model lumped parameter extraction procedures. Facta universitatis-series. Electron. Energetics 2014, 27, 57–102. [Google Scholar]
- Gomes, M.C.R.; Vitorino, A.M.; Corrêa, R.B.M.; Wang, R.; Fernandes, A.D. Photovoltaic parameter extraction using Shuffled Complex Evolution. In Proceedings of the 2015 IEEE 13th Brazilian Power Electronics Conference and 1st Southern Power Electronics Conference (COBEP/SPEC), Fortaleza, Brazil, 29 November–2 December 2015; pp. 1–6. [Google Scholar] [CrossRef]
- Mahmoud, A.Y.; Xiao, W.; Zeineldin, H.H. A Parameterization Approach for Enhancing PV Model Accuracy. IRE Trans. Ind. Electron. 2013, 60, 5708–5716. [Google Scholar] [CrossRef]
- Benahmida, A.; Maouhoub, N.; Sahsah, H. An Efficient Iterative Method for Extracting Parameters of Photovoltaic Panels with Single Diode Model. In Proceedings of the 2020 5th International Conference on Renewable Energies for Developing Countries (REDEC), Marrakech, Morocco, 29–30 June 2020; pp. 1–6. [Google Scholar] [CrossRef]
- Phang, J.C.H.; Chan, S.H.; Phillips, J.R. Accurate analytical method for the extraction of solar cell model parameters. Electron. Lett. 1984, 20, 406–408. [Google Scholar] [CrossRef]
- Sera, D.; Teodorescu, R.; Rodriguez, P. Photovoltaic module diagnostics by series resistance monitoring and temperature and rated power estimation. In Proceedings of the 2008 34th Annual Conference of IEEE Industrial Electronics, Orlando, FL, USA, 10–13 November 2008; pp. 2195–2199. [Google Scholar] [CrossRef]
- Saleem, H.; Karmalkar, S. An Analytical Method to Extract the Physical Parameters of a Solar Cell From Four Points on the Illuminated $J{-}V$ Curve. IEEE Electron. Device Lett. 2009, 30, 349–352. [Google Scholar] [CrossRef]
- Saloux, E.; Teyssedou, A.; Sorin, M. Explicit model of photovoltaic panels to determine voltages and currents at the maximum power point. Sol. Energy 2011, 85, 713–722. [Google Scholar] [CrossRef]
- Accarino, J.; Petrone, G.; Ramos-Paja, A.C.; Spagnuolo, G. Symbolic algebra for the calculation of the series and parallel resistances in PV module model. In Proceedings of the 2013 International Conference on Clean Electrical Power (ICCEP), Alghero, Italy, 11–13 June 2013; pp. 62–66. [Google Scholar] [CrossRef]
- Khan, F.; Baek, S.H.; Park, Y.; Kim, J. Extraction of diode parameters of silicon solar cells under high illumination conditions. Energy Convers. Manag. 2013, 76, 421–429. [Google Scholar] [CrossRef]
- Cubas, J.; Pindado, S.; Victoria, M. On the analytical approach for modeling photovoltaic systems behavior. J. Power Sources 2014, 247, 467–474. [Google Scholar] [CrossRef] [Green Version]
- Cubas, J.; Pindado, S.; De Manuel, C. Explicit Expressions for Solar Panel Equivalent Circuit Parameters Based on Analytical Formulation and the Lambert W-Function. Energies 2014, 7, 4098–4115. [Google Scholar] [CrossRef] [Green Version]
- Bai, J.; Sheng, L.; Hao, Y.; Zhang, Z.; Jiang, M.; Zhang, Y. Development of a new compound method to extract the five parameters of PV modules. Energy Convers. Manag. 2014, 79, 294–303. [Google Scholar] [CrossRef]
- Aldwane, B. Modeling, simulation and parameters estimation for Photovoltaic module. In Proceedings of the 2014 First International Conference on Green Energy ICGE 2014, Sfax, Tunisia, 25–27 March 2014; pp. 101–106. [Google Scholar] [CrossRef]
- Cannizzaro, S.; Di Piazza, C.M.; Luna, M.; Vitale, G. PVID: An interactive Matlab application for parameter identification of complete and simplified single-diode PV models. In Proceedings of the 2014 IEEE 15th Workshop on Control and Modeling for Power Electronics (COMPEL), Santander, Spain, 22–25 June 2014; pp. 1–7. [Google Scholar] [CrossRef]
- Toledo, F.J.; Blanes, J.M. Geometric properties of the single-diode photovoltaic model and a new very simple method for parameters extraction. Renew. Energy 2014, 72, 125–133. [Google Scholar] [CrossRef]
- Louzazni, M.; Aroudam, E.H. An analytical mathematical modeling to extract the parameters of solar cell from implicit equation to explicit form. Appl. Sol. Energy 2015, 51, 165–171. [Google Scholar] [CrossRef]
- Batzelis, I.E.; Papathanassiou, A.S. A Method for the Analytical Extraction of the Single-Diode PV Model Parameters. IEEE Trans. Sustain. Energy 2016, 7, 504–512. [Google Scholar] [CrossRef]
- Hejri, M.; Mokhtari, H.; Azizian, M.R.; Söder, L. An analytical-numerical approach for parameter determination of a five-parameter single-diode model of photovoltaic cells and modules. Int. J. Sustain. Energy 2016, 35, 396–410. [Google Scholar] [CrossRef]
- Senturk, A.; Eke, R. A new method to simulate photovoltaic performance of crystalline silicon photovoltaic modules based on datasheet values. Renew. Energy 2017, 103, 58–69. [Google Scholar] [CrossRef]
- Batzelis, E. Non-Iterative Methods for the Extraction of the Single-Diode Model Parameters of Photovoltaic Modules: A Review and Comparative Assessment. Energies 2019, 12, 358. [Google Scholar] [CrossRef] [Green Version]
- Carrero, C.; Ramirez, D.; Rodriguez, J.; Platero, C.A. Accurate and fast convergence method for parameter estimation of PV generators based on three main points of the I–V curve. Renew. Energy 2011, 36, 2972–2977. [Google Scholar] [CrossRef]
- Chenche, P.; Mendoza, H.; Filho, B. Comparison of four methods for parameter estimation of mono-and multi-junction photovoltaic devices using experimental data. Renew. Sustain. Energy Rev. 2018, 81, 2823–2838. [Google Scholar] [CrossRef]
- Mehta, K.H.; Warke, H.; Kukadiya, K.; Panchal, K.A. Accurate Expressions for Single-Diode-Model Solar Cell Parameterization. IEEE J. Photovolt. 2019, 9, 803–810. [Google Scholar] [CrossRef]
- Kumar, M.; Kumar, A. Power Estimation of Photovoltaic System using 4 and 5-parameter Solar Cell Models under Real Outdoor Conditions. In Proceedings of the 2018 IEEE 7th World Conference on Photovoltaic Energy Conversion (WCPEC) (A Joint Conference of 45th IEEE PVSC, 28th PVSEC & 34th EU PVSEC), Waikoloa, HI, USA, 10–15 June 2018; pp. 0721–0726. [Google Scholar] [CrossRef]
- Piliougine, M.; Guejia-Burbano, R.A.; Petrone, G.; Sánchez-Pacheco, F.J.; .Mora-López, L.; Sidrach-de-Cardona, M. Parameters extraction of single diode model for degraded photovoltaic modules. Renew. Energy 2021, 164, 674–686. [Google Scholar] [CrossRef]
- ALQahtani, H.A. A simplified and accurate photovoltaic module parameters extraction approach using matlab. In Proceedings of the 2012 IEEE International Symposium on Industrial Electronics, Hangzhou, China, 28–31 May 2012; pp. 1748–1753. [Google Scholar] [CrossRef]
- Ulapane, B.N.N.; Dhanapala, H.C.; Wickramasinghe, M.S.; Abeyratne, G.S.; Rathnayake, N.; Binduhewa, J.P. Extraction of parameters for simulating photovoltaic panels. In Proceedings of the 2011 6th International Conference on Industrial and Information Systems, Kandy, Sri Lanka, 16–19 August 2011; pp. 539–544. [Google Scholar] [CrossRef]
- Benkercha, R.; Moulahoum, S.; Colak, I.; Taghezouit, B. PV module parameters extraction with maximum power point estimation based on flower pollination algorithm. In Proceedings of the 2016 IEEE International Power Electronics and Motion Control Conference (PEMC), Varna, Bulgaria, 25–28 September 2016; pp. 442–449. [Google Scholar] [CrossRef]
- Kumar, M.; Shiva Krishna Rao, K.V.D. Modelling and Parameter Estimation of Solar Cell using Genetic Algorithm. In Proceedings of the 2019 International Conference on Intelligent Computing and Control Systems (ICCS), Madurai, India, 15–17 May 2019; pp. 383–387. [Google Scholar] [CrossRef]
- Chennoufi, K.; Ferfra, M. Parameters extraction of photovoltaic modules using a combined analytical-numerical method. In Proceedings of the 2020 5th International Conference on Cloud Computing and Artificial Intelligence: Technologies and Applications (CloudTech), Marrakesh, Morocco, 24–26 November 2020; pp. 1–7. [Google Scholar] [CrossRef]














| Methods (Year) | n | Is (A) | Rs (Ω) | Rsh (Ω) | Iph (A) | RMSE |
|---|---|---|---|---|---|---|
| Setting | 40 | 1.0 10−10 | 0.3 | 300 | 9 | - |
| Khan (2013) | 42.5033 | 4.4532 10−10 | 0.2937 | 294.1 | 8.9999 | 0.0301 |
| Cubas2 (2014) | 28.0077 | 2.0138 10−15 | 0.3807 | 100.2 | 9.0251 | 0.1039 |
| Bai (2014) | 21.5822 | 4.4004 10−20 | 0.3807 | 71.5 | 9.0385 | 0.1132 |
| Louzazni (2015) | 39.9748 | 9.9279 10−11 | 0.4166 | 294.1 | 9.0037 | 0.3617 |
| Rivas (2020) | 1.7956 | 1.4471 10−242 | 0.4114 | 294.1 | 9.0035 | 0.3625 |
| Proposed | 39.9672 | 9.7823 10−11 | 0.2999 | 294.1 | 9.0001 | 0.0013 |
| G (W/m2) | T (°C) | PV Modules | n | Is (A) | Rs (Ω) | Rsh (Ω) | Iph (A) | RMSE |
|---|---|---|---|---|---|---|---|---|
| 1000 | 25 | Multi-crystalline (S75) | 45.0214 | 9.8695 10−9 | 0.1995 | 90.1 | 4.7103 | 0.0018 |
| 1000 | 25 | Mono-crystalline (SM55) | 42.3693 | 1.8463 10−9 | 0.4136 | 140.8 | 3.4601 | 0.0017 |
| 1000 | 25 | Thin-film (ST40) | 55.8424 | 1.0658 10−6 | 1.0651 | 232.6 | 2.6922 | 0.0021 |
| T (°C) | G (W/m2) | n | Is (A) | Rs (Ω) | Rsh (Ω) | Iph (A) | RMSE |
|---|---|---|---|---|---|---|---|
| 25 | 200 | 46.6459 | 2.8645 10−8 | 0.2978 | 1111.1 | 1.6435 | 0.0002 |
| 25 | 400 | 46.6232 | 2.8407 10−8 | 0.2652 | 555.6 | 3.2873 | 0.0003 |
| 25 | 600 | 46.6298 | 2.8482 10−8 | 0.2458 | 370.3 | 4.9309 | 0.0006 |
| 25 | 800 | 46.7473 | 2.9888 10−8 | 0.2315 | 285.7 | 6.5743 | 0.0013 |
| 25 | 1000 | 46.6454 | 2.8656 10−8 | 0.2212 | 222.2 | 8.2182 | 0.0016 |
Publisher’s Note: MDPI stays neutral with regard to jurisdictional claims in published maps and institutional affiliations. |
© 2021 by the authors. Licensee MDPI, Basel, Switzerland. This article is an open access article distributed under the terms and conditions of the Creative Commons Attribution (CC BY) license (https://creativecommons.org/licenses/by/4.0/).
Share and Cite
Song, Z.; Fang, K.; Sun, X.; Liang, Y.; Lin, W.; Xu, C.; Huang, G.; Yu, F. An Effective Method to Accurately Extract the Parameters of Single Diode Model of Solar Cells. Nanomaterials 2021, 11, 2615. https://doi.org/10.3390/nano11102615
Song Z, Fang K, Sun X, Liang Y, Lin W, Xu C, Huang G, Yu F. An Effective Method to Accurately Extract the Parameters of Single Diode Model of Solar Cells. Nanomaterials. 2021; 11(10):2615. https://doi.org/10.3390/nano11102615
Chicago/Turabian StyleSong, Zhaoxu, Kun Fang, Xiaofang Sun, Ying Liang, Wei Lin, Chuanzhong Xu, Gongyi Huang, and Fei Yu. 2021. "An Effective Method to Accurately Extract the Parameters of Single Diode Model of Solar Cells" Nanomaterials 11, no. 10: 2615. https://doi.org/10.3390/nano11102615
APA StyleSong, Z., Fang, K., Sun, X., Liang, Y., Lin, W., Xu, C., Huang, G., & Yu, F. (2021). An Effective Method to Accurately Extract the Parameters of Single Diode Model of Solar Cells. Nanomaterials, 11(10), 2615. https://doi.org/10.3390/nano11102615

