Fabrication and Characterization of Double- and Single-Clamped CuO Nanowire Based Nanoelectromechanical Switches
Abstract
1. Introduction
2. Materials and Methods
3. Results and Discussion
3.1. Fabricated CuO Nanowire-Based NEM Switch Configurations
3.2. NEM Switch Model
3.3. Model Comparison with Experimental NEM Switch VON Data
3.4. Characterization, Testing and Optimization of Fabricated NEM Switches
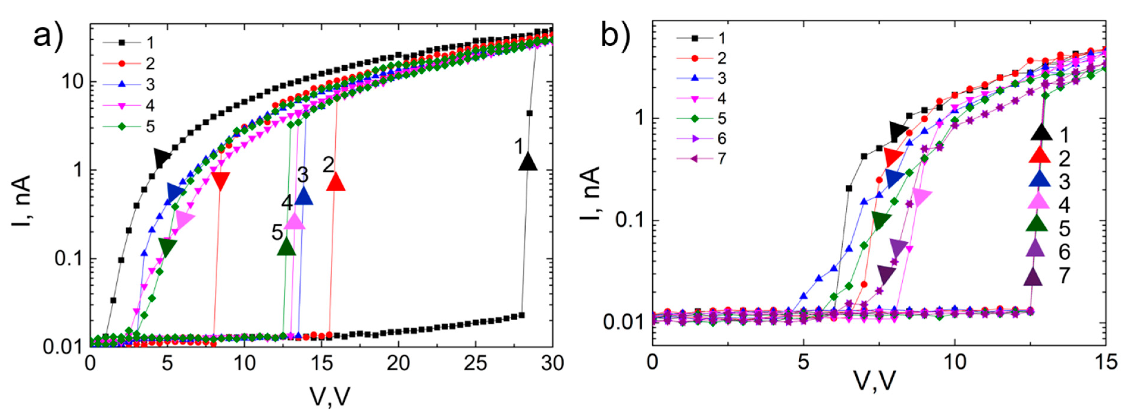
3.4.1. Reduction of Nanowire-Electrode Contact Resistance by I–V Cycling
3.4.2. Initial Stages of NEM Switch Operation: VON Stabilization
3.4.3. Cycling of NEM Switch
4. Conclusions
Author Contributions
Funding
Data Availability Statement
Acknowledgments
Conflicts of Interest
References
- Jasulaneca, L.; Kosmaca, J.; Meija, R.; Andzane, J.; Erts, D. Review: Electrostatically actuated nanobeam-based nanoelectromechanical switches—Materials solutions and operational conditions. Beilstein J. Nanotechnol. 2018, 9, 271–300. [Google Scholar] [CrossRef]
- Loh, O.Y.; Espinosa, H.D. Nanoelectromechanical contact switches. Nat. Nanotechnol. 2012, 7, 283–295. [Google Scholar] [CrossRef] [PubMed]
- Peschot, A.; Qian, C.; Liu, T.-J.K. Nanoelectromechanical Switches for Low-Power Digital Computing. Micromachines 2015, 6, 1046–1065. [Google Scholar] [CrossRef]
- Lee, T.-H.; Bhunia, S.; Mehregany, M. Electromechanical computing at 500 °C with silicon carbide. Science 2010, 329, 1316–1318. [Google Scholar] [CrossRef] [PubMed]
- Zhu, Y.; Qin, Q.; Xu, F.; Fan, F.; Ding, Y.; Zhang, T.; Wiley, B.J.; Wang, Z.L. Size effects on elasticity, yielding, and fracture of silver nanowires: In situ experiments. Phys. Rev. B 2012, 85, 045443. [Google Scholar] [CrossRef]
- Erts, D.; Lõhmus, A.; Lõhmus, R.; Olin, H. Instrumentation of STM and AFM combined with Transmission Electron Microscope. Appl. Phys. A Mater. Sci. Process. 2001, 72, S71–S74. [Google Scholar] [CrossRef]
- Ziegler, K.J.; Lyons, D.M.; Holmes, J.D.; Erts, D.; Polyakov, B.; Olin, H.; Svensson, K.; Olsson, E. Bistable nanoelectromechanical devices. Appl. Phys. Lett. 2004, 84, 4074–4076. [Google Scholar] [CrossRef]
- Andzane, J.; Petkov, N.; Livshits, A.I.; Boland, J.J.; Holmes, J.D.; Erts, D. Two-terminal nanoelectromechanical devices based on germanium nanowires. Nano Lett. 2009, 9, 1824–1829. [Google Scholar] [CrossRef]
- Andzane, J.; Prikulis, J.; Dvorsek, D.; Mihailovic, D.; Erts, D. Two-terminal nanoelectromechanical bistable switches based on molybdenum-sulfur-iodine molecular wire bundles. Nanotechnology 2010, 21, 125706. [Google Scholar] [CrossRef]
- Andzane, J.; Meija, R.; Livshits, A.I.; Prikulis, J.; Biswas, S.; Holmes, J.D.; Erts, D. An AC-assisted single-nanowire electromechanical switch. J. Mater. Chem. C 2013, 1, 7134. [Google Scholar] [CrossRef]
- Ke, C.; Espinosa, H.D. In situ electron microscopy electromechanical characterization of a bistable NEMS device. Small 2006, 2, 1484–1489. [Google Scholar] [CrossRef] [PubMed]
- Meija, R.; Livshits, A.I.; Kosmaca, J.; Jasulaneca, L.; Andzane, J.; Biswas, S.; Holmes, J.D.; Erts, D. Resonance assisted jump-in voltage reduction for electrostatically actuated nanobeam-based gateless NEM switches. Nanotechnology 2019, 30, 385203. [Google Scholar] [CrossRef]
- Lee, S.W.; Lee, D.S.; Morjan, R.E.; Jhang, S.H.; Sveningsson, M.; Nerushev, O.A.; Park, Y.W.; Campbell, E.E.B. A three-terminal carbon nanorelay. Nano Lett. 2004, 4, 2027–2030. [Google Scholar] [CrossRef]
- Czaplewski, D.A.; Patrizi, G.A.; Kraus, G.M.; Wendt, J.R.; Nordquist, C.D.; Wolfley, S.L.; Baker, M.S.; De Boer, M.P. A nanomechanical switch for integration with CMOS logic. J. Micromech. Microeng. 2009, 19, 85003. [Google Scholar] [CrossRef]
- Muñoz-Gamarra, J.L.; Uranga, A.; Barniol, N. Nanomechanical switches based on metal-insulator-metal capacitors from a standard complementary-metal-oxide semiconductor technology. Appl. Phys. Lett. 2014, 104, 243105. [Google Scholar] [CrossRef]
- Muñoz-Gamarra, J.L.; Uranga, A.; Barniol, N. CMOS-NEMS Copper Switches Monolithically Integrated Using a 65 nm CMOS Technology. Micromachines 2016, 7, 30. [Google Scholar] [CrossRef] [PubMed]
- Arkan, E.F.; Sacchetto, D.; Yildiz, I.; Leblebici, Y.; Alaca, B.E. Monolithic integration of Si nanowires with metallic electrodes: NEMS resonator and switch applications. J. Micromech. Microeng. 2011, 21, 125018. [Google Scholar] [CrossRef]
- Feng, X.L.; Matheny, M.H.; Zorman, C.A.; Mehregany, M.; Roukes, M.L. Low voltage nanoelectromechanical switches based on silicon carbide nanowires. Nano Lett. 2010, 10, 2891–2896. [Google Scholar] [CrossRef]
- Jasulaneca, L.; Meija, R.; Livshits, A.I.; Prikulis, J.; Biswas, S.; Holmes, J.D.; Erts, D. Determination of Young’s modulus of Sb2S3 nanowires by in situ resonance and bending methods. Beilstein J. Nanotechnol. 2016, 7, 278–283. [Google Scholar] [CrossRef]
- Kosmaca, J.; Meija, R.; Antsov, M.; Kunakova, G.; Sondors, R.; Iatsunskyi, I.; Coy, E.; Doherty, J.; Biswas, S.; Holmes, J.D.; et al. Investigating the mechanical properties of GeSn nanowires. Nanoscale 2019, 11, 13612–13619. [Google Scholar] [CrossRef]
- Kosmaca, J.; Jasulaneca, L.; Meija, R.; Andzane, J.; Romanova, M.; Kunakova, G.; Erts, D. Young’s modulus and indirect morphological analysis of Bi2Se3 nanoribbons by resonance measurements. Nanotechnology 2017, 28, 325701. [Google Scholar] [CrossRef]
- Meija, R.; Kosmaca, J.; Jasulaneca, L.; Petersons, K.; Biswas, S.; Holmes, J.D.; Erts, D. Electric current induced modification of germanium nanowire NEM switch contact. Nanotechnology 2015, 26, 195503. [Google Scholar] [CrossRef] [PubMed]
- Lee, J.O.; Song, Y.H.; Kim, M.W.; Kang, M.H.; Oh, J.S.; Yang, H.H.; Yoon, J.B. A sub-1-volt nanoelectromechanical switching device. Nat. Nanotechnol. 2013, 8, 36–40. [Google Scholar] [CrossRef] [PubMed]
- Qian, Y.; Soon, B.W.; Singh, P.; Campanella, H.; Lee, C. All metal nanoelectromechanical switch working at 300 °C for rugged electronics applications. Nanoscale 2014, 6, 5606–5611. [Google Scholar] [CrossRef] [PubMed]
- Yu, M.-F.; Lourie, O.; Dyer, M.J.; Moloni, K.; Kelly, T.F.; Ruoff, R.S. Strength and breaking mechanism of multiwalled carbon nanotubes under tensile load. Science 2000, 287, 637–640. [Google Scholar] [CrossRef] [PubMed]
- Kaul, A.B.; Wong, E.W.; Epp, L.; Hunt, B.D. Electromechanical carbon nanotube switches for high-frequency applications. Nano Lett. 2006, 6, 942–947. [Google Scholar] [CrossRef]
- Loh, O.; Wei, X.; Sullivan, J.; Ocola, L.E.; Divan, R.; Espinosa, H.D. Carbon-Carbon Contacts for Robust Nanoelectromechanical Switches. Adv. Mater. 2012, 24, 2463–2468. [Google Scholar] [CrossRef]
- Ngo, L.T.; Almécija, D.; Sader, J.E.; Daly, B.; Petkov, N.; Holmes, J.D.; Erts, D.; Boland, J.J. Ultimate-strength germanium nanowires. Nano Lett. 2006, 6, 2964–2968. [Google Scholar] [CrossRef]
- Andzane, J.; Prikulis, J.; Meija, R.; Kosmaca, J.; Biswas, S.; Holmes, J.D.; Erts, D. Application of Ge Nanowire for Two-Input Bistable Nanoelectromechanical Switch. Mater. Sci. Medzg. 2013, 19, 254–257. [Google Scholar] [CrossRef][Green Version]
- Sondors, R.; Kosmaca, J.; Kunakova, G.; Jasulaneca, L.; Ramma, M.M.; Meija, R.; Kauranens, E.; Antsov, M.; Erts, D. Size distribution, mechanical and electrical properties of CuO nanowires grown by modified thermal oxidation methods. Nanomaterials 2020, 10, 1051. [Google Scholar] [CrossRef]
- Tan, E.P.S.; Zhu, Y.; Yu, T.; Dai, L.; Sow, C.H.; Tan, V.B.C.; Lim, C.T. Crystallinity and surface effects on Young’s modulus of CuO nanowires. Appl. Phys. Lett. 2007, 90, 163112. [Google Scholar] [CrossRef]
- Cha, S.N.; Jang, J.E.; Choi, Y.; Amaratunga, G.A.J.; Kang, D.-J.; Hasko, D.G.; Jung, J.E.; Kim, J.M. Fabrication of a nanoelectromechanical switch using a suspended carbon nanotube. Appl. Phys. Lett. 2005, 86, 83105. [Google Scholar] [CrossRef]
- Ramma, M.M.; Katkevics, J.; Jasulaneca, L.; Kunakova, G.; Sondors, R.; Meija, R.; Erts, D.; Kosmaca, J. Dielectrophoretically aligned CuO nanowire interconnects for NEMS sensors. Surf. Interfaces 2020. submitted. [Google Scholar]
- Collet, M.; Salomon, S.; Klein, N.Y.; Seichepine, F.; Vieu, C.; Nicu, L.; Larrieu, G. Large-scale assembly of single nanowires through capillary-assisted dielectrophoresis. Adv. Mater. 2015, 27, 1268–1273. [Google Scholar] [CrossRef] [PubMed]
- Freer, E.M.; Grachev, O.; Duan, X.; Martin, S.; Stumbo, D.P. High-yield self-limiting single-nanowire assembly with dielectrophoresis. Nat. Nanotechnol. 2010, 5, 525–530. [Google Scholar] [CrossRef]
- Subramanian, A.; Alt, A.R.; Dong, L.; Kratochvil, B.E.; Bolognesi, C.R.; Nelson, B.J. Electrostatic actuation and electromechanical switching behavior of one-dimensional nanostructures. ACS Nano 2009, 3, 2953–2964. [Google Scholar] [CrossRef]
- Kosmaca, J.; Andzane, J.; Prikulis, J.; Biswas, S.; Holmes, J.D.; Erts, D. Application of a Nanoelectromechanical Mass Sensor for the Manipulation and Characterisation of Graphene and Graphite Flakes. Sci. Adv. Mater. 2014, 3, 552–557. [Google Scholar] [CrossRef]
- Li, Q.; Koo, S.-M.; Edelstein, M.D.; Suehle, J.S.; Richter, C. A Silicon nanowire electromechanical switches for logic device application. Nanotechnology 2007, 18, 315202. [Google Scholar] [CrossRef]
- Jiang, X.; Herricks, T.; Xia, Y. CuO Nanowires Can Be Synthesized by Heating Copper Substrates in Air. Nano Lett. 2002, 2, 1333–1338. [Google Scholar] [CrossRef]
- Dong, L.; Chirayos, V.; Bush, J.; Jiao, J.; Dubin, V.M.; Chebian, R.V.; Ono, Y.; Conley, J.F.; Ulrich, B.D. Floating-potential dielectrophoresis-controlled fabrication of single-carbon-nanotube transistors and their electrical properties. J. Phys. Chem. B 2005, 109, 13148–13153. [Google Scholar] [CrossRef]
- Palapati, N.K.R.; Pomerantseva, E.; Subramanian, A. Single nanowire manipulation within dielectrophoretic force fields in the sub-crossover frequency regime. Nanoscale 2015, 7, 3109–3116. [Google Scholar] [CrossRef] [PubMed]
- Livshits, A.I.; Jasulaneca, L.; Kosmaca, J.; Meija, R.; Holmes, J.D.; Erts, D. Extra tension at electrode-nanowire adhesive contacts in nano-electromechanical devices. Eur. J. Mech. A/Solids 2017, 66, 412–422. [Google Scholar] [CrossRef]
- Carpick, R.W.; Ogletree, D.F.; Salmeron, M. A general equation for fitting contact area and friction vs load measurements. J. Colloid Interface Sci. 1999, 211, 395–400. [Google Scholar] [CrossRef]
- Kunakova, G.; Meija, R.; Bite, I.; Prikulis, J.; Kosmaca, J.; Varghese, J.; Holmes, J.D.; Erts, D. Sensing properties of assembled Bi2S3 nanowire arrays. Phys. Scr. 2015, 90, 094017. [Google Scholar] [CrossRef]
- Wu, J.; Yin, B.; Wu, F.; Myung, Y.; Banerjee, P. Charge transport in single CuO nanowires. Appl. Phys. Lett. 2014, 105, 183506. [Google Scholar] [CrossRef]
- Hummelgård, M.; Zhang, R.; Carlberg, T.; Vengust, D.; Dvorsek, D.; Mihailovic, D.; Olin, H. Nanowire transformation and annealing by Joule heating. Nanotechnology 2010, 21, 165704. [Google Scholar] [CrossRef] [PubMed]
- Ryan, P.; Wu, Y.C.; Somu, S.; Adams, G.; McGruer, N. Single-walled carbon nanotube electromechanical switching behavior with shoulder slip. J. Micromech. Microeng. 2011, 21, 045028. [Google Scholar] [CrossRef]







Publisher’s Note: MDPI stays neutral with regard to jurisdictional claims in published maps and institutional affiliations. |
© 2021 by the authors. Licensee MDPI, Basel, Switzerland. This article is an open access article distributed under the terms and conditions of the Creative Commons Attribution (CC BY) license (http://creativecommons.org/licenses/by/4.0/).
Share and Cite
Jasulaneca, L.; Livshits, A.I.; Meija, R.; Kosmaca, J.; Sondors, R.; Ramma, M.M.; Jevdokimovs, D.; Prikulis, J.; Erts, D. Fabrication and Characterization of Double- and Single-Clamped CuO Nanowire Based Nanoelectromechanical Switches. Nanomaterials 2021, 11, 117. https://doi.org/10.3390/nano11010117
Jasulaneca L, Livshits AI, Meija R, Kosmaca J, Sondors R, Ramma MM, Jevdokimovs D, Prikulis J, Erts D. Fabrication and Characterization of Double- and Single-Clamped CuO Nanowire Based Nanoelectromechanical Switches. Nanomaterials. 2021; 11(1):117. https://doi.org/10.3390/nano11010117
Chicago/Turabian StyleJasulaneca, Liga, Alexander I. Livshits, Raimonds Meija, Jelena Kosmaca, Raitis Sondors, Matiss M. Ramma, Daniels Jevdokimovs, Juris Prikulis, and Donats Erts. 2021. "Fabrication and Characterization of Double- and Single-Clamped CuO Nanowire Based Nanoelectromechanical Switches" Nanomaterials 11, no. 1: 117. https://doi.org/10.3390/nano11010117
APA StyleJasulaneca, L., Livshits, A. I., Meija, R., Kosmaca, J., Sondors, R., Ramma, M. M., Jevdokimovs, D., Prikulis, J., & Erts, D. (2021). Fabrication and Characterization of Double- and Single-Clamped CuO Nanowire Based Nanoelectromechanical Switches. Nanomaterials, 11(1), 117. https://doi.org/10.3390/nano11010117

