Physical Investigations of (Co, Mn) Co-Doped ZnO Nanocrystalline Films
Abstract
1. Introduction
2. Materials and Methods
2.1. Undoped and (Co, Mn) Co-Doped ZnO Nanocrystalline Films Synthesis
2.2. Characterization Techniques
3. Results and Discussion
3.1. Crystallographic Structure
3.2. X-ray Photoelectron Spectroscopy Analysis
3.3. Surface Morphology
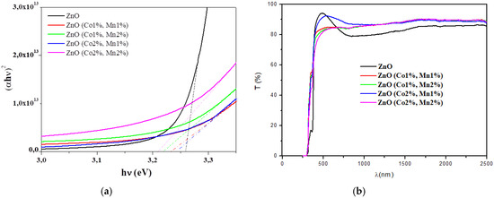
3.4. Optical Investigations
3.5. Magnetic Properties
4. Conclusions
Author Contributions
Funding
Conflicts of Interest
References
- Pan, F.; Song, C.; Liu, X.J.; Yang, Y.C.; Zeng, F. Ferromagnetism and possible application in spintronics of transition-metal-doped ZnO films. Mater. Sci. Eng. 2008, 62, 1–35. [Google Scholar] [CrossRef]
- Lu, B.; Wang, Y.; Li, W.; Zhang, W.; Ye, Y.; Zhang, L.; Ye, Z. Co–Ga codoping effect on preferred growth orientations and properties of ferromagnetic ZnO thin films. J. Magn. Magn. Mater. 2015, 374, 278–282. [Google Scholar] [CrossRef]
- Sundaram, P.S.; Inbanathan, S.S.R.; Arivazhagan, G. Structural and optical properties of Mn doped ZnO nanoparticles prepared by co-precipitation method. Physica B 2019, 574, 411–668. [Google Scholar] [CrossRef]
- Ahmed, S.A. Structural, optical, and magnetic properties of Mn-doped ZnO samples. Results Phys. 2017, 7, 604–610. [Google Scholar] [CrossRef]
- Liu, X.C.; Chen, Z.Z.; Zhen, B.Z.C.; Shi, E.W.; Liao, D.Q. Structural, optical and electrical properties of Ga-doped and (Ga, Co)-co-doped ZnO films. J. Cryst. Growth 2010, 312, 2871–2875. [Google Scholar] [CrossRef]
- Tariq, M.; Li, Y.; Li, W.; Yu, Z.; Li, J.; Hu, Y.; Zhu, M.; Jin, H.; Li, Y.; Skotnicova, K. Enhancement of ferromagnetic properties in (Fe, Ni) co-doped ZnO flowers by pulsed magnetic field processing. J. Mater. Sci. 2019, 30, 8226–8232. [Google Scholar] [CrossRef]
- Poornaprakasha, B.; Chalapathia, U.; Subramanyamb, K.; Vattikutic, S.V.P.; Park, S.H. Wurtzite phase Co-doped ZnO nanorods: Morphological, structural, optical, magnetic, and enhanced photocatalytic characteristics. Ceram. Int. 2020, 46, 2931–2939. [Google Scholar] [CrossRef]
- Chang, Y.Q.; Wang, D.B.; Luo, X.H.; Xu, X.Y.; Chen, X.H.; Li, L.; Chen, C.P.; Wang, R.M.; Xu, J.; Yu, D.P. Synthesis, optical, and magnetic properties of diluted magnetic semiconductor Zn1– xMnxO nanowires via vapor phase growth. Appl. Phys. Lett. 2003, 83, 4020–4022. [Google Scholar] [CrossRef]
- Schneider, C.M. Spintronics: Surface and interface aspects. Surf. Interface Sci. 2020, 9, 187. [Google Scholar]
- Wang, Q.; Sun, Q.; Jena, P. Ab initio study of electronic and magnetic properties of the C-co-doped Ga1–xMnxN (1010) surface. Phys. Rev. B 2007, 75, 035322. [Google Scholar] [CrossRef]
- Klingshirn, C. Optical properties of bound and localized excitons and of defect states. Phys. Status Solidi B 1975, 71, 547–556. [Google Scholar] [CrossRef]
- Xu, X.Y.; Cao, C.B. Structure and ferromagnetic properties of Co-doped ZnO powders. J. Magn. Magn. Mater. 2009, 321, 2216–2219. [Google Scholar] [CrossRef]
- Dietl, T. A ten-year perspective on dilute magnetic semiconductors and oxides. Nat. Mater. 2010, 9, 965–974. [Google Scholar] [CrossRef]
- Sato, K.; Yoshida, H.K. Material design for transparent ferromagnets with ZnO-based magnetic semiconductors. J. Appl. Phys. 2000, 39, 555. [Google Scholar] [CrossRef]
- Lin, Y.; Jiang, D.; Lin, F.; Shi, W.; Xueming, M. Fe-doped ZnO magnetic semiconductor by mechanical alloying. J. Alloys Compd. 2007, 436, 30–33. [Google Scholar] [CrossRef]
- Sharma, P.K.; Dutta, R.K.; Pandey, A.C.; Layek, S.; Verma, H.C. Effect of iron doping concentration on magnetic properties of ZnO nanoparticles. J. Magn. Magn. Mater. 2009, 321, 2587–2591. [Google Scholar] [CrossRef]
- Bae, S.Y.; Na, C.W.; Kang, J.H.; Park, J. Comparative structure and optical properties of Ga-, In-, and Sn-doped ZnO nanowires synthesized via thermal evaporation. J. Phys. Chem. B 2005, 109, 2526–2531. [Google Scholar] [CrossRef]
- Wen, J.G.; Lao, J.Y.; Wang, D.Z.; Kyaw, T.M.; Foo, Y.L.; Ren, Z.F. Aberration-corrected transmission electron microscopy for advanced materials characterization. Chem. Phys. Lett. 2003, 372, 717–722. [Google Scholar] [CrossRef]
- Wolf, S.A.; Awschalom, D.D.; Buhrman, R.A.; Daughton, J.M.; Svon, M.; Roukes, M.L.; Chtchelkanova, A.Y.; Treger, D.M. Spintronics: A spin-based electronics vision for the future. Science 2001, 294, 1488–1495. [Google Scholar] [CrossRef]
- Fert, A. Origin, development, and future of spintronics (Nobel lecture). Angew. Chem. Int. Ed. 2008, 47, 5956–5967. [Google Scholar]
- Dietl, T.; Ohno, H.; Matsukura, F.; Cibert, J.; Ferrand, D. Zener model description of ferromagnetism in Zinc-blende magnetic semiconductors. Science 2000, 287, 1019–1022. [Google Scholar] [CrossRef] [PubMed]
- Ahn, G.Y.; Park, S.I.; Kim, C.S. Enhanced ferromagnetic properties of diluted Fe doped ZnO with hydrogen treatment. J. Magn. Magn. Mater. 2006, 303, 329–331. [Google Scholar]
- Sun, S.; Wu, P.; Xing, P. d0 ferromagnetism in undoped n and p-type In2O3 films. Appl. Phys. Lett. 2012, 101, 132417. [Google Scholar] [CrossRef]
- Khan, R.; Fashu, S.; Rehman, Z.U. Structural, dielectric and magnetic properties of (Al, Ni) co-doped ZnO nanoparticles. J. Mater. Sci. 2017, 28, 4333–4339. [Google Scholar] [CrossRef]
- Abdullahi, S.S.; Köseoğlu, Y.; Güner, S.; Kazan, S.; Kocaman, B.; Ndikilar, C.E. Synthesis and characterization of Mn and Co co-doped ZnO nanoparticles. Superlattices Microstruct. 2015, 83, 342–352. [Google Scholar] [CrossRef]
- Vijayaprasath, G.; Murugan, R.; Asaithambi, S.; AnandhaBabu, G.; Sakthivel, P.; Mahalingam, T.; Hayakawa, Y.; Rav, G. Structural characterization and magnetic properties of Co co-doped Ni/ZnO nanoparticles. Appl. Phys. A 2016, 122, 122. [Google Scholar] [CrossRef]
- Srinivasulu, T.; Saritha, K.; Reddy, K.T.R. Synthesis and characterization of Fe-doped ZnO thin films deposited by chemical spray pyrolysis. Mod. Electron. Mater. 2017, 3, 76–85. [Google Scholar] [CrossRef]
- Khan, R.; Zulfiqar, Z.; Fashu, S.; Ur Rehman, Z.; Khan, A.; Ur Rahman, M. Structure and magnetic properties of (Co, Mn) co-doped ZnO diluted magnetic semiconductor nanoparticles. J. Mater. Sci. 2018, 29, 32–37. [Google Scholar] [CrossRef]
- Birajdar, S.D.; Alange, R.C.; More, S.D.; Murumkar, V.D.; Jadhav, K.M. Sol-gel auto combustion synthesis, structural and magnetic properties of Mn doped ZnO nanoparticles. Procedia Manuf. 2018, 20, 174–180. [Google Scholar] [CrossRef]
- Belkhaoui, C.; Mzabi, N.; Smaoui, H.; Daniel, P. Enhancing the structural, optical and electrical properties of ZnO nanopowders through (Al + Mn) doping. Results Phys. 2019, 12, 1686–1696. [Google Scholar] [CrossRef]
- Kamoun, O.; Boukhachem, A.; Yumak, A.; Petkova, P.; Boubaker, K.; Amlouk, M. Europium incorporation dynamics and some physical investigations within ZnO sprayed thin films. Mater. Sci. Semicond Process. 2016, 43, 8–16. [Google Scholar] [CrossRef]
- Boubaker, K.; Chaouachi, A.; Amlouk, M.; Bouzouita, H. Enhancement of pyrolysis spray disposal performance using thermal time-response to precursor uniform deposition. Eur. Phys. J. Appl. Phys. 2007, 37, 105–111. [Google Scholar] [CrossRef]
- Li, G.R.; Qu, D.L.; Zhao, W.X.; Tong, Y.X. Electrochemical deposition of (Mn,Co)-co-doped ZnO nanorods arrays without any template. Electrochem. Commun. 2007, 9, 1661–1666. [Google Scholar] [CrossRef]
- Liu, H.; Li, W.; Zhang, X.; Sun, Y.; Song, J.; Yangn, J.; Gao, M.; Liu, X. Comparative study of room temperature ferromagnetism in Cu, Co co-doped ZnO film enhanced by hybridization. Ceram. Int. 2015, 41, 3613–3617. [Google Scholar] [CrossRef]
- Voicu, G.; Miu, D.; Ghitulica, C.D.; Jinga, S.I.; Nicoara, A.I.; Busuioc, C.; Holban, A.M. Co doped ZnO thin films deposited by spin coating as antibacterial coating for metallic implants. Ceram. Int. 2020, 46, 3904–3911. [Google Scholar] [CrossRef]
- Mallikan, A.N.; Reddy, A.R.; Sowribabu, K.; Reddy, K.V. Structural and optical characterization of Zn0.95×Mg0.05Al×O nanoparticles. Ceram. Int. 2015, 41, 9276–9284. [Google Scholar] [CrossRef]
- Wiles, D.B.; Young, R.A. A new computer program for Rietveld analysis of X-ray powder diffraction patterns. J. Appl. Cryst. 1981, 14, 149–151. [Google Scholar] [CrossRef]
- Snega, S.; Ravichandran, K.; Baneto, M.; Vijayakumar, S. Simultaneous enhancement of transparent and antibacterial properties of ZnO films by suitable F doping. J. Mater. Sci. Technol. 2015, 31, 759–765. [Google Scholar] [CrossRef]
- Mrabet, C.; Kamoun, O.; Boukhachem, A.; Amlouk, M.; Manoubi, T. Some physical investigations on hexagonal-shaped nanorods of lanthanum-doped ZnO. J. Alloys Compd. 2015, 648, 826–837. [Google Scholar] [CrossRef]
- Barabash, R.I.; Ice, G.I. Diffraction analysis of defects: state of the art. In Strain and Dislocation Gradients from Diffraction. Spatially-Resolved Local Structure and Defects; Imperial College Press: London, UK, 2014; Volume 1, pp. 1–52. [Google Scholar]
- Williamson, G.K.; Smallman, R.E. III. Dislocation densities in some annealed and cold-worked metals from measurements on the X-ray debye-scherrer spectrum. Philos. Mag. 1956, 1, 34–46. [Google Scholar] [CrossRef]
- Yahmadi, B.; Kamoun, N.; Guasch, C.; Bennaceur, R. Synthesis and characterization of nanocrystallized In2S3 thin films via CBD technique. Mater. Chem. Phys. 2011, 127, 239–247. [Google Scholar] [CrossRef]
- Saikat, C.; Kamakhya, P.M.; Arunava, A.; Aga, S.; Sukriti, J.; Nilanjan, H.; Ashok, R.; Babue, P.D.; Mukesh, S.; Anoop, K.M. Dislocations and particle size governed band gap and ferromagnetic ordering in Ni doped ZnO nanoparticles synthesized via co-precipitation. Ceram. Int. 2019, 45, 23341–23354. [Google Scholar]
- Mustapha, S.; Ndamitso, M.M.; Abdulkareem, A.S.; Tijani, J.O.; Shuaib, D.T.; Mohammed, A.K.; Sumaila, A. Comparative study of crystallite size using Williamson-Hall and Debye-Scherrer plots for ZnO nanoparticles. Adv. Nat. Sci. Nanosci. Nanotechnol. 2019, 10, 045013. [Google Scholar] [CrossRef]
- Imen, B.E.; Nejeh, H.; Amine, M.; Ridha, A. Photoconduction, dielectric and photoluminescence properties of Cu2+: ZnO nanoparticles elaborated by a polyol method. Phase Transit. 2020, 93, 1–19. [Google Scholar]
- Li, G.; Wang, H.; Wang, Q.; Zhao, Y.; Wang, Z.; Du, J.; Ma, Y. Structure and properties of Co-doped ZnO films prepared by thermal oxidization under a high magnetic field. Nanoscale Res. Lett. 2015, 10, 112. [Google Scholar] [CrossRef] [PubMed]
- Li, W.; Wang, G.; Chen, C.; Liao, J.; Li, Z. Enhanced visible light photocatalytic activity of ZnO nanowires doped with Mn2+ and Co2+ ions. Nanomaterials 2017, 7, 20. [Google Scholar] [CrossRef]
- Karmakar, R.; Neogi, S.K.; Banerjee, A.; Bandyopadhyay, S. Structural, morphological, optical and magnetic properties of Mn doped ferromagnetic ZnO thin film. Appl. Surf. Sci. 2012, 263, 671–677. [Google Scholar] [CrossRef]
- Tauc, J.; Grigorvici, R.; Yanca, Y. Optical properties and electronic structure of amorphous germanium. Phys. Status Solidi 1966, 15, 627–637. [Google Scholar] [CrossRef]
- Pancove, J. Optical Processes in Semiconductors; Courier Corporation: North Chelmsford, MA, USA, 1975. [Google Scholar]
- Kaur, G.; Mitra, A.; Yadav, K.L. Pulsed laser deposited Al-doped ZnO thin films for optical applications. Prog. Nat. Sci. Mater. Int. 2015, 25, 12–21. [Google Scholar] [CrossRef]
- Nafees, M.; Liaqut, W.; Ali, S.; Shafique, M.A. Synthesis of ZnO/Al:ZnO nanomaterial: Structural and band gap variation in ZnO nanomaterial by Al doping. Appl. Nanosci. 2013, 3, 49–55. [Google Scholar] [CrossRef]
- Ahmad, M.; Ahmed, E.; Zhang, Y.; Khalid, N.R.; Xu, J.; Ullah, M. Preparation of highly efficient Al-doped ZnOphotocatalyst by combustion synthesis. Curr. Appl. Phys. 2013, 13, 697–704. [Google Scholar] [CrossRef]
- Sudaresan, A.; Bhargavi, R.; Rangarajan, N.; Siddesh, U.; Rao, C.N.R. Ferromagnetism as a universal feature of nanoparticles of the otherwise nonmagnetic oxides. Phys. Rev. B 2006, 74, 161306R. [Google Scholar] [CrossRef]
- Panigrahy, B.; Aslam, M.; Misra, D.S.; Ghosh, M.; Bahadur, D. Defect-related emissions and magnetization properties of ZnO nanorods. Adv. Funct. Mater. 2010, 20, 1161–1165. [Google Scholar] [CrossRef]
- Xing, G.; Wang, D.; Yi, G.; Yang, L.; Gao, M.; He, M.; Yang, J.; Ding, J.; Sum, T.C.; Wu, T. Correlated d0 ferromagnetism and photoluminescence in undoped ZnO nanowires. Appl. Phys. Lett. 2010, 96, 112511. [Google Scholar] [CrossRef]
- Kapilashrami, M.; Xu, J.; Strom, V.; Rao, K.V.; Belova, L. Transition from ferromagnetism to diamagnetism in undoped ZnO thin films. Appl. Phys. Lett. 2009, 95, 033104. [Google Scholar] [CrossRef]
- Vijayaprasath, G.; Murugan, R.; Mahalingam, T.; Ravi, G. Comparative study of structural and magnetic properties of transition metal (Co, Ni) doped ZnO nanoparticles. J. Mater. Sci. 2015, 26, 7205–7213. [Google Scholar] [CrossRef]
- Kaspar, T.C.; Droubay, T.; Heald, S.M.; Nachimuthu, P.; Wang, C.M.; Shutthanandan, V.; Johnson, C.A.; Gamelin, D.R.; Chambers, C.A. Lack of ferromagnetism in n-type cobalt-doped ZnO epitaxial thin films. New J. Phys. 2008, 10, 055010. [Google Scholar] [CrossRef]
- Lawes, G.; Risbud, A.S.; Ramirez, A.P.; Seshadri, R. Absence of ferromagnetism in Co and Mn substituted polycrystalline ZnO. Phys. Rev. B 2005, 71, 045201. [Google Scholar] [CrossRef]
- Rao, C.N.R.; Deepak, F.L. Absence of ferromagnetism in Mn-and Co-doped ZnO. J. Mater. Chem. 2005, 15, 573–578. [Google Scholar] [CrossRef]
- Choi, B.K.; Chang, D.H.; Yoon, Y.S.; Kang, S.J. Optical characterization of ZnO thin films deposited by Sol-gel method. J. Mater. Sci. Mater. Electron. 2006, 17, 1011–1015. [Google Scholar] [CrossRef]
- Liu, W.; Li, W.; Hu, Z.; Tang, Z.; Tang, X. Effect of oxygen defects on ferromagnetic of undoped ZnO. J. Appl. Phys. 2011, 110, 013901. [Google Scholar] [CrossRef]
- Chen, Y.; Goering, E.; Jeurgens, L.; Wang, Z.; Phillipp, F.; Baier, J.; Tietze, T.; Schutz, G. Unexpected room-temperature ferromagnetism in bulk ZnO. Appl. Phys. Lett. 2013, 103, 162405. [Google Scholar] [CrossRef]
- Gacic, M.; Jakob, G.; Herbort, C.; Adrian, H.; Tietze, T.; Brück, S.; Goering, E. Magnetism of Co-doped ZnO thin films. Phys. Rev. B 2007, 75, 205–206. [Google Scholar] [CrossRef]





| ZnO (Co%:Mn%) | |||||
|---|---|---|---|---|---|
| Structural Parameters | 0%:0% | 1%:1% | 1%:2% | 2%:1% | 2%:2% |
| D (nm) ± 0.1 | 104.0 | 30.0 | 43.0 | 34.0 | 26.4 |
| a(nm) ± 10−4 | 0.3256 | 0.3255 | 0.3254 | 0.3256 | 0.3253 |
| c(nm) ± 10−4 | 0.5214 | 0.5211 | 0.5210 | 0.5213 | 0.5214 |
| c/a | 1.60 | 1.60 | 1.60 | 1.60 | 1.59 |
| A(%) = (a − a0)/a0 | 0.46 | −0.43 | 0.43 | 0.43 | 0.21 |
| C(%) = (c − c0)/c0 | 0.51 | −0.44 | 0.44 | 0.44 | −0.09 |
| ⟨σ2⟩1/2 (%) | 10−4 | 10−4 | 2.10−3 | 10−5 | 10−4 |
| Occupancy | Zn:1 O:1 | Zn:1 O:1 | Zn:1 O:1 | Zn:0.9 O:1 | Zn:0.87 O:1 |
| TC | |||||
|---|---|---|---|---|---|
| (hkl) | 0% 0% | 1% 1% | 1% 2% | 2% 1% | 2% 2% |
| (010) | 0.2 | 0.44 | --- | --- | --- |
| (002) | 5.14 | 2.92 | 2.72 | 3.14 | 2.39 |
| (011) | 0.40 | 0.55 | 0.37 | 0.15 | 0.39 |
| (012) | 0.55 | 0.46 | 0.54 | 0.27 | --- |
| (013) | 0.46 | 0.63 | 0.37 | 0.44 | 0.38 |
| ZnO (Co%, Mn%) | |||||
|---|---|---|---|---|---|
| Structural Defects | (0%, 0%) | (1%, 1%) | (1%, 2%) | (2%, 1%) | (2%, 2%) |
| δ(1014 lines/m2) | 0.9 | 11.1 | 5.4 | 8.6 | 14.3 |
| ε (10−2) | 0.59 | 1.61 | 1.79 | 1.7 | 1.74 |
| Binding Energy (eV) | |||||
|---|---|---|---|---|---|
| Mn 2p3/2 | Co 2p3/2 | Zn 2p3/2 | Zn LMM | O 1s | (Co%, Mn%) |
| ------ | ------ | 1021.6 | 497.8 | 530.5 | (0%, 0%) |
| 640.4 | 781.1 | 1021.9 | 497.8 | 530.4 | (1%, 1%) |
| 640.2 | 781.83 | 1022.1 | 498.2 | 530.7 | (1%, 2%) |
| 640.4 | 780.77 | 1021.9 | 497.9 | 530.3 | (2%, 1%) |
| 642 | 780.69 | 1022.6 | 498.2 | 531.8 | (2%, 2%) |
| ZnO (Co%, Mn%) | (0%, 0%) | (1%, 1%) | (1%, 2%) | (2%, 1%) | (2%, 2%) |
|---|---|---|---|---|---|
| Eg(eV) | 3.25 | 3.23 | 3.22 | 3.24 | 3.21 |
© 2020 by the authors. Licensee MDPI, Basel, Switzerland. This article is an open access article distributed under the terms and conditions of the Creative Commons Attribution (CC BY) license (http://creativecommons.org/licenses/by/4.0/).
Share and Cite
Yahmadi, B.; Kamoun, O.; Alhalaili, B.; Alleg, S.; Vidu, R.; Kamoun Turki, N. Physical Investigations of (Co, Mn) Co-Doped ZnO Nanocrystalline Films. Nanomaterials 2020, 10, 1507. https://doi.org/10.3390/nano10081507
Yahmadi B, Kamoun O, Alhalaili B, Alleg S, Vidu R, Kamoun Turki N. Physical Investigations of (Co, Mn) Co-Doped ZnO Nanocrystalline Films. Nanomaterials. 2020; 10(8):1507. https://doi.org/10.3390/nano10081507
Chicago/Turabian StyleYahmadi, Bechir, Olfa Kamoun, Badriyah Alhalaili, Safia Alleg, Ruxandra Vidu, and Najoua Kamoun Turki. 2020. "Physical Investigations of (Co, Mn) Co-Doped ZnO Nanocrystalline Films" Nanomaterials 10, no. 8: 1507. https://doi.org/10.3390/nano10081507
APA StyleYahmadi, B., Kamoun, O., Alhalaili, B., Alleg, S., Vidu, R., & Kamoun Turki, N. (2020). Physical Investigations of (Co, Mn) Co-Doped ZnO Nanocrystalline Films. Nanomaterials, 10(8), 1507. https://doi.org/10.3390/nano10081507

