Effect of Varying Amine Functionalities on CO2 Capture of Carboxylated Graphene Oxide-Based Cryogels
Abstract
1. Introduction
2. Materials and Methods
2.1. Materials
2.2. Carboxylation of GO
2.3. Functionalization of GO-COOH with Amines
2.4. Methods
3. Results and Discussion
3.1. Synthesis and Characterization of GO-COOH
3.2. Formation of Amine-Modified GO-COOH Cryogels
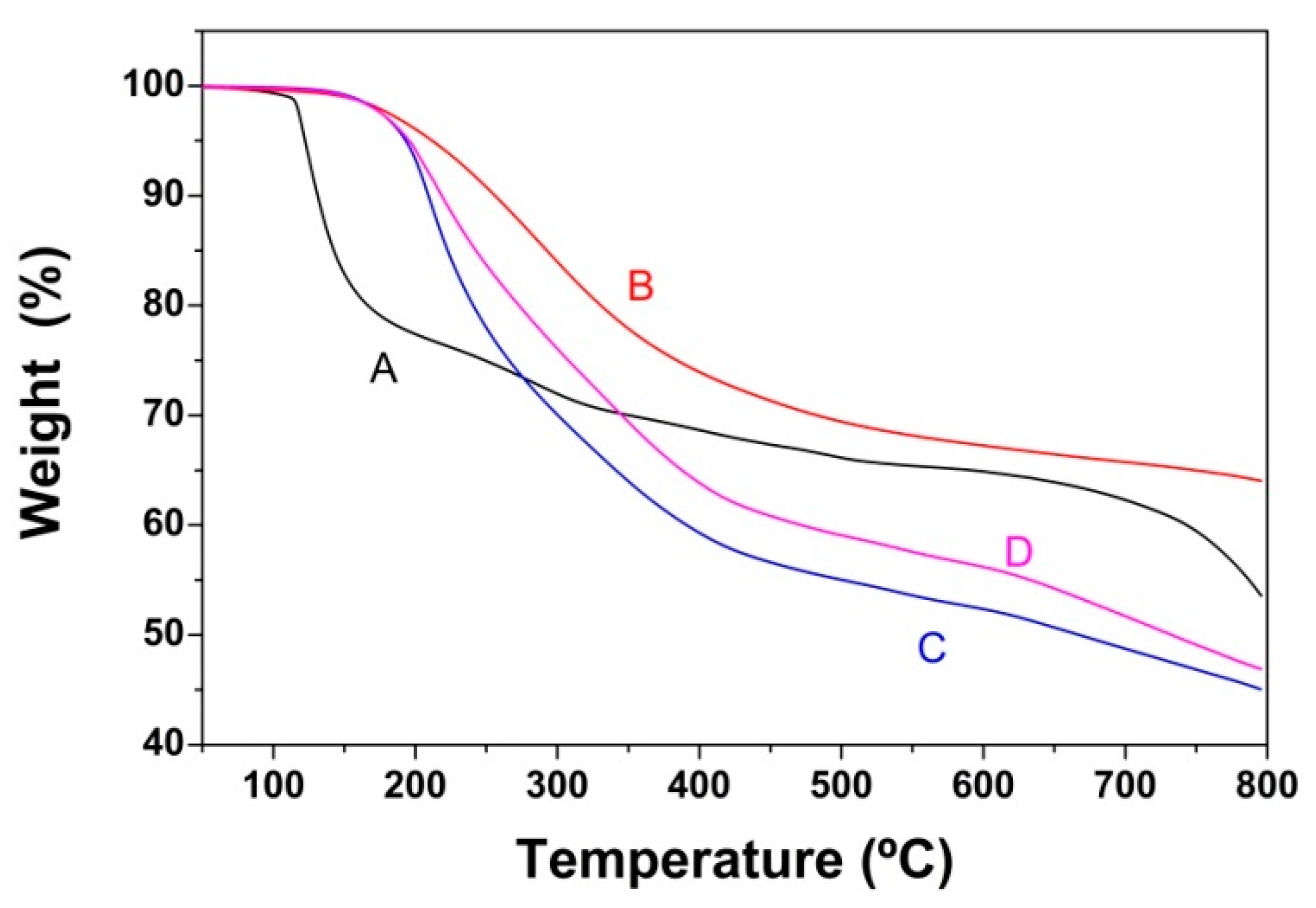
3.3. Characterization of Amine-Modified GO-COOH Cryogels
3.4. CO2 Adsorption Properties of Amine Modified GO-COOH Cryogels
4. Conclusions
Supplementary Materials
Author Contributions
Funding
Conflicts of Interest
References
- Li, J.; Li, J.; Meng, H.; Xie, S.; Zhang, B.; Li, L.; Ma, H.; Zhang, J.; Yu, M. Ultra-light, compressible and fire-resistant graphene aerogel as a highly efficient and recyclable absorbent for organic liquids. J. Mater. Chem. A 2014, 2, 2934–2941. [Google Scholar] [CrossRef]
- Nardecchia, S.; Carriazo, D.; Ferrer, M.L.; Gutiérrez, M.C.; Del Monte, F. Three dimensional macroporous architectures and aerogels built of carbon nanotubes and/or graphene: Synthesis and applications. Chem. Soc. Rev. 2013, 42, 794–830. [Google Scholar] [CrossRef] [PubMed]
- Cong, H.-P.; Ren, X.-C.; Wang, P.; Yu, S.-H. Macroscopic Multifunctional Graphene-Based Hydrogels and Aerogels by a Metal Ion Induced Self-Assembly Process. ACS Nano 2012, 6, 2693–2703. [Google Scholar] [CrossRef] [PubMed]
- Sui, Z.-Y.; Bao-Hang, H. Effect of surface chemistry and textural properties on carbon dioxide uptake in hydrothermally reduced graphene oxide. Carbon 2015, 82, 590–598. [Google Scholar] [CrossRef]
- Chen, W.; Yan, L. In situ self-assembly of mild chemical reduction graphene for three-dimensional architectures. Nanoscale 2011, 3, 3132–3137. [Google Scholar] [CrossRef]
- Ai, W.; Du, Z.-Z.; Liu, J.-Q.; Zhao, F.; Yi, M.-D.; Xie, L.-H.; Shi, N.-D.; Ma, Y.-W.; Qian, Y.; Fan, Q.-L.; et al. Formation of graphene oxide gel via the π-stacked supramolecular self-assembly. RSC Adv. 2012, 2, 12204. [Google Scholar] [CrossRef]
- Xeng, K.-X.; Xu, Y.-X.; Li, C.; Shi, G.-Q. High-performance self-assembled graphene hydrogels prepared by chemical reduction of graphene oxide. New Carbon Mater. 2011, 26, 9–15. [Google Scholar]
- Pruna, A.-I.; Cárcel, A.-C.; Benedito, A.; Giménez, E. The Effect of Solvothermal Conditions on the Properties of Three-Dimensional N-Doped Graphene Aerogels. Nanomaterials 2019, 9, 350. [Google Scholar] [CrossRef]
- Pruna, A.; Cárcel, A.C.; Benedito, A.; Giménez, E. Effect of synthesis conditions on CO2 capture of ethylenediamine-modified graphene aerogels. Appl. Surf. Sci. 2019, 487, 228–235. [Google Scholar] [CrossRef]
- Wang, L.; Park, Y.; Cui, P.; Bak, S.; Lee, H.; Lee, S.-M.; Lee, H. Facile preparation of an n-type reduced graphene oxide field effect transistor at room temperature. Chem. Commun. 2014, 50, 1224–1226. [Google Scholar] [CrossRef]
- Lee, J.-U.; Lee, W.; Yi, J.-W.; Yoon, S.-S.; Lee, S.-S.; Jung, B.-M.; Kim, B.-S.; Byun, J.-H. Preparation of highly stacked graphene papers via site-selective functionalization of graphene oxide. J. Mater. Chem. A 2013, 1, 12893. [Google Scholar] [CrossRef]
- Yu, D.-X.; Wang, A.-J.; He, L.-L.; Yuan, J.; Wu, L.; Chen, J.-R.; Feng, J.-J. Facile synthesis of uniform AuPd@Pd nanocrystals supported on three-dimensional porous N-doped reduced graphene oxide hydrogels as highly active catalyst for methanol oxidation reaction. Electrochim. Acta 2016, 213, 565–573. [Google Scholar] [CrossRef]
- Shu, D.; Feng, F.; Han, H.; Ma, Z. Prominent adsorption performance of amino-functionalized ultra-lightgraphene aerogel for methyl orange and amaranth. Chem. Eng. J. 2017, 324, 1–9. [Google Scholar] [CrossRef]
- Kim, N.H.; Kuila, T.; Lee, J.H. Simultaneous reduction, functionalization and stitching of graphene oxide with ethylenediamine for composites application. J. Mater. Chem. A 2013, 1, 1349–1358. [Google Scholar] [CrossRef]
- Yanga, A.; Li, J.; Zhang, C.; Zhanga, W.; Ma, N. One-step amine modification of graphene oxide to get a green trifunctional metal-free catalyst. Appl. Surf. Sci. 2015, 346, 443–450. [Google Scholar] [CrossRef]
- Dongil, A.B.; Bachiller-Baeza, B.; Rodríguez-Ramos, I.; Guerrero-Ruiz, A. Exploring the insertion of ethylenediamine and bis (3-aminopropyl)amine into graphite oxide. Nanosci. Methods 2014, 3, 28–39. [Google Scholar] [CrossRef][Green Version]
- Herrera-Alonso, M.; Abdala, A.A.; McAllister, M.J.; Aksay, I.A.; Prud’homme, R.K. Intercalation and stitching of graphite oxide with diaminoalkanes. Langmuir 2007, 23, 10644–10649. [Google Scholar] [CrossRef]
- Shin, G.-J.; Rhee, K.-Y.; Park, S.-J. Improvement of CO2 capture by graphite oxide in presence of polyethylenimine. Int. J. Hydrog. Energy 2016, 41, 14351–14359. [Google Scholar] [CrossRef]
- Chen, J.; Li, Y.; Huang, L.; Jia, N.; Li, C.; Shi, G. Size fractionation of Graphene Oxide Sheets via Filtration through Track-Etched Membranes. Adv. Mater. 2015, 27, 1–7. [Google Scholar] [CrossRef]
- Wang, J.; Huang, L.; Yang, R.; Zhang, Z.; Wu, J.; Gao, Y.; Wang, Q.; O’Hare, D.; Zhong, Z. Recent advances in solid sorbents for CO2 capture and new development trends. Energy Environ. Sci. 2014, 7, 3478–3518. [Google Scholar] [CrossRef]
- Hu, H.; Zhao, Z.; Wan, W.; Gogotsi, Y.; Qiu, J. Ultralight and Highly Compressible Graphene Aerogels. Adv. Mater. 2013, 25, 2219–2223. [Google Scholar] [CrossRef] [PubMed]
- Chai, G.-L.; Guo, Z.-X. Highly effective sites and selectivity of nitrogen-doped graphene/CNT catalysts for CO2 electrochemical reduction. Chem. Sci. 2016, 7, 1268–1275. [Google Scholar] [CrossRef] [PubMed]
- Fiorentin, M.-R.; Gaspari, R.; Quaglio, M.; Massaglia, G.; Saracco, G. Nitrogen doping and CO2 adsorption on graphene: A thermodynamical study. Phys. Rev. B 2018, 97, 155428. [Google Scholar] [CrossRef]
- Xing, T.; Zheng, Y.; Li, L.-H.; Cowie, B.-C.-C.; Gunzelmann, D.; Qiao, S.-Z.; Huang, S.; Chen, Y. Observation of active sites for oxygen reduction reaction on nitrogen-doped multilayer graphene. ACS Nano 2014, 8, 6856–6862. [Google Scholar] [CrossRef] [PubMed]
- Su, P.; Xiao, H.; Zhao, J.; Yao, Y.; Shao, Z.; Li, C.; Yang, Q. Nitrogen-doped carbon nanotubes derived from Zn–Fe-ZIF nanospheres and their application as efficient oxygen reduction electrocatalysts with in situ generated iron species. Chem. Sci. 2013, 4, 2941. [Google Scholar] [CrossRef]
- Lee, J.-W.; Ko, J.-M.; Kim, J.-D. Hydrothermal preparation of nitrogen-doped graphene sheets via hexamethylenetetramine for application as supercapacitor electrodes. Electrochim. Acta 2012, 85, 459–466. [Google Scholar] [CrossRef]
- Wu, J.; Yadav, R.-M.; Liu, M.; Sharma, P.-P.; Tiwary, C.-S.; Ma, L.; Zou, X.; Zhou, X.-D.; Yakobson, B.-I.; Lou, J.; et al. Achieving highly efficient, selective, and stable CO2 reduction on nitrogen-doped carbon nanotubes. ACS Nano 2015, 9, 5364–53718. [Google Scholar] [CrossRef]
- Plaza, M.G.; Thurecht, K.J.; Pevida, C.; Rubiera, F.; Drage, T.C. Influence of oxidation upon the CO2 capture performance of a phenolic-resin-derived carbon. Fuel Process.Technol. 2013, 110, 53–60. [Google Scholar] [CrossRef]
- Liu, S.; Peng, W.; Sun, H.; Wang, S. Physical and chemical activation of reduced graphene oxide for enhanced adsorption and catalytic oxidation. Nanoscale 2014, 6, 766–771. [Google Scholar] [CrossRef]
- Li, L.; Song, S.; Maurer, L.; Lin, Z.; Lian, G.; Tuan, C.-C.; Moon, K.-S.; Wong, C.-P. Molecular engineering of aromatic amine spacers for high-performance graphene-based supercapacitors. Nano Energy 2016, 21, 276–294. [Google Scholar] [CrossRef]
- Sayari, A.; Heydari-Gorji, A.; Yang, Y. CO2 -induced degradation of amine-containing adsorbents: Reaction products and pathways. J. Am. Chem. Soc. 2012, 134, 13834–13842. [Google Scholar] [CrossRef] [PubMed]
- Wang, M.; Wang, Z.; Wang, J.; Zhu, Y.; Wang, S. An antioxidative composite membrane with the carboxylate group as a fixed carrier for CO2 separation from flue gas. Energy Environ. Sci. 2011, 4, 444. [Google Scholar] [CrossRef]
- Young, P.-D.; Notestein, J.-M. The Role of Amine Surface Density in Carbon Dioxide Adsorption on Functionalized Mixed Oxide Surfaces. ChemSusChem 2011, 4, 1671–1678. [Google Scholar] [CrossRef]
- Samanta, A.; Zhao, A.; Shimizu, G.-K.-H.; Sarkar, P.; Gupta, R. Post-combustion CO2 capture using solid sorbents: A review. Ind. Eng. Chem. Res. 2012, 51, 1438–1463. [Google Scholar] [CrossRef]
- Georgakilas, V.; Otyepka, M.; Bourlinos, A.-B.; Chandra, V.; Kim, M.; Kemp, C.; Hobza, P.; Zboril, R.; Kim, K.-S. Functionalization of graphene: Covalent and non-covalent approaches, derivatives and applications. Chem. Rev. 2012, 112, 6156–6214. [Google Scholar] [CrossRef] [PubMed]
- Ahmed, M.-S.; Kim, Y.-B. 3D graphene preparation via covalent amide functionalization for efficient metal-free electrocatalysis in oxygen reduction. Sci. Rep. 2017, 7, 43279. [Google Scholar] [CrossRef]
- Xie, B.; Chen, Y.; Yu, M.; Shen, X.; Lei, H.; Xie, T.; Zhang, Y.; Wu, Y. Carboxyl-Assisted Synthesis of Nitrogen-Doped Graphene Sheets for Supercapacitor Applications. Nanoscale Res. Lett. 2015, 10, 332. [Google Scholar] [CrossRef] [PubMed]
- Wen, Z.; Chen, W.; Li, Y.; Xu, J. A Theoretical Mechanism Study on the Ethylenediamine Grafting on Graphene Oxides for CO2 Capture. Arab. J. Sci. Eng. 2018, 43, 5949–5955. [Google Scholar] [CrossRef]
- Xu, J.; Xing, W.; Zhao, L.; Guo, F.; Wu, X.; Xu, W.; Yan, Z. The CO2 Storage Capacity of the Intercalated Diaminoalkane Graphene Oxides: A Combination of Experimental and Simulation Studies. Nanoscale Res. Lett. 2015, 10, 318. [Google Scholar] [CrossRef] [PubMed]
- Cai, J.; Chen, J.; Zeng, P.; Pang, Z.; Kong, X. Molecular Mechanisms of CO2 Adsorption in Diamine-Cross-Linked Graphene Oxide. Chem. Mater. 2019, 31, 3729–3735. [Google Scholar] [CrossRef]
- Ciobotaru, C.C.; Damian, C.M.; Matei, E.; Ionu, H. Covalent functionalization of graphene oxide with cisplatin. Mater. Plast. 2014, 51, 75–80. [Google Scholar]
- Imani, R.; Emami, S.-H.; Faghihi, S. Nano-graphene oxide carboxylation for efficient bioconjugation applications: A quantitative optimization approach. J. Nanopart Res. 2015, 17, 88. [Google Scholar] [CrossRef]
- Yuan, Y.; Gao, X.; Wei, Y.; Wang, X.; Wang, J.; Zhang, Y.; Gao, C. Enhanced desalination performance of carboxyl functionalized graphene oxide nanofiltration membranes. Desalination 2017, 405, 29–39. [Google Scholar] [CrossRef]
- Mallakpour, S.; Abdolmaleki, A.; Borandeh, S. Covalently functionalized graphene sheets with biocompatible natural aminoacids. Appl. Surf. Sci. 2014, 307, 533–542. [Google Scholar] [CrossRef]
- Fang, M.; Wang, K.G.; Lu, H.B.; Yang, Y.L.; Nutt, S. Covalent polymer functionalization of graphene nano-sheets and mechanical properties of composites. J. Mater. Chem. 2009, 19, 7098. [Google Scholar] [CrossRef]
- Fang, M.; Wang, K.G.; Lu, H.B.; Yang, Y.L.; Nutt, S. Single-layer graphene nano-sheets with controlled grafting of polymer chains. J. Mater. Chem. 2010, 20, 1982. [Google Scholar] [CrossRef]
- Shen, J.; Li, T.; Shi, M.; Li, N.; Ye, M. Polyelectrolyte-assisted one-step hydrothermal synthesis of Ag-reduced graphene oxide composite and its antibacterial properties. Mater. Sci. Eng. C 2012, 32, 2042–2047. [Google Scholar] [CrossRef]
- Shen, J.; Hu, Y.; Shi, M.; Lu, X.; Qin, C.; Li, C.; Ye, M. Fast and Facile Preparation of Graphene Oxide and Reduced Graphene Oxide Nanoplatelets. Chem. Mater. 2009, 21, 3514–3520. [Google Scholar] [CrossRef]
- Verma, S.; Dutta, R.K. A facile method of synthesizing ammonia modified graphene oxide for efficient removal of uranyl ions from aqueous medium. RSC Adv. 2015, 5, 77192–77203. [Google Scholar] [CrossRef]
- Song, B.; Li, L.; Lin, Z.; Wu, Z.K.; Moon, K.S.; Wong, C.P. Water-dispersible graphene/polyaniline composites for flexible micro-supercapacitors with high energy densities. Nano Energy 2015, 16, 470–478. [Google Scholar] [CrossRef]
- Shao, L.; Bai, Y.; Huang, X.; Gao, Z.; Meng, L.; Huang, Y.; Ma, J. Multi-walled carbon nanotubes (MWCNTs) functionalized with amino groups by reacting with supercritical ammonia fluids. J. Mater. Chem. Phys. 2009, 116, 323–326. [Google Scholar] [CrossRef]
- Vrettos, K.; Karouta, N.; Loginos, P.; Donthula, S.; Gournis, D.; Georgakilas, C. The role of diamines in the formation of graphene aerogels. Front. Mater. 2018, 5, 20. [Google Scholar] [CrossRef]
- Song, B.; Zhao, J.; Wang, M.; Mullavey, J.; Zhu, Y.; Geng, Z.; Chen, D.; Ding, Y.; Moon, K.S.; Liu, M.; et al. Systematic study on structural and electronic properties of diamine/triamine functionalized graphene networks for supercapacitor application. Nano Energy 2017, 31, 183–193. [Google Scholar] [CrossRef]
- Mungse, H.P.; Singh, R.; Sugimura, H.; Kumar, N.; Khatri, O.P. Molecular pillar supported graphene oxide framework: Conformational heterogeneity and tunable d-spacing. Phys. Chem. Chem. Phys. 2015, 17, 20822–20829. [Google Scholar] [CrossRef] [PubMed]
- Chen, P.; Yang, J.J.; Li, S.S.; Wang, Z.; Xiao, T.Y.; Qian, Y.H.; Yu, S.H. Hydrothermal synthesis of macroscopic nitrogen-doped graphene hydrogels for ultrafast supercapacitor. Nano Energy 2013, 2, 249–256. [Google Scholar] [CrossRef]
- Arrigo, R.; Haevecker, M.; Wrabetz, S.; Blume, R.; Lerch, M.; McGregor, J.; Parrott, E.P.J.; Zeitler, J.A.; Gladden, L.F.; Knop-Gericke, A.; et al. Tuning the acid/base properties of nanocarbons by functionalization via amination. J. Am. Chem. Soc. 2010, 132, 9616–9630. [Google Scholar] [CrossRef]
- Gautam, J.; Thanh, T.-D.; Maiti, K.; Kim, N.-H.; Lee, J.-H. Highly efficient electrocatalyst of N-doped graphene-encapsulated cobalt-iron carbides towards oxygen reduction reaction. Carbon 2018, 137, 358–367. [Google Scholar] [CrossRef]
- Hu, K.; Xie, X.; Szkopek, T.; Cerruti, M. Understanding Hydrothermally Reduced Graphene Oxide Hydrogels: From Reaction Products to Hydrogel Properties. Chem. Mater. 2016, 28, 1756–1768. [Google Scholar] [CrossRef]
- Chen, C.M.; Zhang, Q.; Zhao, X.C.; Zhang, B.; Kong, Q.Q.; Yang, M.G.; Yang, Q.H.; Wang, M.Z.; Yang, Y.G.; Schlogl, R.; et al. Hierarchically aminated graphene honeycombs for electrochemical capacitive energy storage. J. Mater. Chem. 2012, 22, 14076–14084. [Google Scholar] [CrossRef]
- Zhang, C.; Hao, R.; Liao, H.; Hou, Y. Synthesis of amino-functionalized graphene as metal-free catalyst and exploration of the roles of various nitrogen states in oxygen reduction reaction. Nano Energy 2013, 2, 88–97. [Google Scholar] [CrossRef]
- Jiang, Z.; Jiang, Z.J.; Tian, X.; Chen, W. Amine-functionalized holey graphene as a highly active metal-free catalyst for the oxygen reduction reaction. J. Mater. Chem. A 2014, 2, 441–450. [Google Scholar] [CrossRef]
- Wang, B.; Luo, B.; Liang, M.; Wang, A.; Wang, J.; Fang, Y.; Chang, Y.; Zhi, L. Chemical amination of graphene oxides and their extraordinary properties in the detection of lead ions. Nanoscale 2011, 3, 5059–5066. [Google Scholar] [CrossRef] [PubMed]
- Zhang, F.; Jiang, H.; Li, X.; Wu, X.; Li, H. Amine-Functionalized GO as an Active and Reusable Acid–Base Bifunctional Catalyst for One-Pot Cascade Reactions. ACS Catal. 2014, 4, 394–401. [Google Scholar] [CrossRef]
- Yuan, C.; Chen, W.; Yan, L. Amino-grafted graphene as a stable and metal-free solid basic catalyst. J. Mater. Chem. 2012, 22, 7456–7460. [Google Scholar] [CrossRef]
- Tetsuka, H.; Asahi, R.; Nagoya, A.; Okamoto, K.; Tajima, I.; Ohta, R.; Okamoto, A. Optically tunable amino-functionalized graphene quantum dots. Adv. Mater. 2012, 24, 5333–5338. [Google Scholar] [CrossRef] [PubMed]
- Kumar, G.S.; Roy, R.; Sen, D.; Ghorai, U.K.; Thapa, R.; Mazumder, N.; Saha, S.; Chattopadhyay, K.K. Amino-functionalized graphene quantum dots: Origin of tunable heterogeneous photoluminescence. Nanoscale 2014, 6, 3384–3391. [Google Scholar] [CrossRef]
- Navaee, A.; Salimi, A. Efficient amine functionalization of graphene oxide through the Bucherer reaction: An extraordinary metal-free electrocatalyst for the oxygen reduction reaction. RSC Adv. 2015, 5, 59874–59880. [Google Scholar] [CrossRef]
- Caliman, C.C.; Mesquita, A.F.; Cipriano, D.F.; Freitas, J.C.C.; Cotta, A.A.C.; Macedo, W.A.A.; Porto, A.O. One-pot synthesis of amine-functionalized graphene oxide by microwave-assisted reactions: An outstanding alternative for supporting materials in supercapacitors. RSC Adv. 2018, 8, 6136–6145. [Google Scholar] [CrossRef]
- Zhao, Y.; Dinga, H.; Zhong, Q. Preparation and characterization of aminated graphite oxide for CO2 capture. Appl. Surf. Sci. 2012, 258, 4301–4307. [Google Scholar] [CrossRef]
- Wang, J.; Chen, H.; Liu, X.; Qiao, W.; Long, D.; Ling, L. Carbon dioxide capture using polyethylenimine-loaded mesoporous carbons. J. Environ. Sci. 2013, 25, 124. [Google Scholar] [CrossRef]
- Chabot, V.; Higgins, D.; Yu, A.; Xiao, X.; Chen, Z.; Zhang, J. A review of graphene and graphene oxide sponge: Material synthesis and applications to energy and the environment. Energy Environ. Sci. 2014, 7, 1564–1596. [Google Scholar] [CrossRef]
- Furukawa, H.; Cordova, K.E.; O’Keeffe, M.; Yaghi, O.M. The Chemistry and Applications of Metal-Organic Frameworks. Science 2013, 341, 974. [Google Scholar] [CrossRef] [PubMed]
- Rouquerol, J.; Llewellyn, P.; Navarrete, R.; Rouquerol, F.; Denoyel, R. Assessing microporosity by immersion microcalorimetry into liquid nitrogen or liquid argon. Stud. Surf. Sci. Catal. 2002, 144, 171–176. [Google Scholar]
- Choi, S.; Drese, J.H.; Jones, C.W. Adsorbent materials for carbon dioxide capture from large anthropogenic point sources. ChemSusChem 2009, 2, 796–854. [Google Scholar] [CrossRef]
- Knöfel, C.; Martin, C.; Hornebecq, V.; Llewellyn, P.L. Study of Carbon Dioxide Adsorption on Mesoporous Aminopropylsilane-Functionalized Silica and Titania Combining Microcalorimetry and in Situ Infrared Spectroscopy. J. Phys. Chem. C 2009, 113, 21726–21734. [Google Scholar] [CrossRef]
- Bacsik, Z.; Atluri, R.; Garcia-Bennett, A.E.; Hedin, N. Temperature-Induced Uptake of CO2 and Formation of Carbamates in Mesocaged Silica Modified with n-Propylamines. Langmuir 2010, 26, 10013–10024. [Google Scholar] [CrossRef]
- Hao, G.-P.; Li, W.-C.; Qian, D.; Lu, A.-H. Rapid synthesis of nitrogen-doped porous carbon monolith for CO2 capture. Adv. Mater. 2010, 22, 853–857. [Google Scholar] [CrossRef]
- Sivadas, D.L.; Vijayan, S.; Rajeev, R.; Ninan, K.N.; Prabhakaran, K. Nitrogen-enriched microporous carbon derived from sucrose and urea with superior CO2 capture performance. Carbon 2016, 109, 7–18. [Google Scholar] [CrossRef]
- Sevilla, M.; Valle-Vigón, P.; Fuertes, A.B. N-doped polypyrrole-based porous carbons for CO2 capture. Adv. Funct. Mater. 2011, 21, 2781–2787. [Google Scholar] [CrossRef]
- Khanra, P.; Uddin, M.-D.; Kim, M.-h.; Kuila, T.; Lee, S.-H.; Lee, J.-H. Electrochemical performance of reduced graphene oxide surface-modified with 9-anthracene carboxylic acid. RSC Adv. 2015, 5, 6443–6451. [Google Scholar] [CrossRef]
- Araujo, M.-P.; Soares, O.-S.-G.-P.; Fernandes, A.-J.-S.; Pereira, M.-F.-R.; Freire, C. Tuning the surface chemistry of graphene flakes: New strategies for selective oxidation. RSC Adv. 2017, 7, 14290–14301. [Google Scholar] [CrossRef]









| Modifier | BET Surface Area, m2 g−1 | Surface Area Utilization Factor, mmol CO2 m−2 |
|---|---|---|
| TETA | 42.54 | 0.012 |
| DETA | 25.78 | 0.029 |
| EDA | 21.37 | 0.094 |
| Sample | C% | O% | –COOH% | C/O |
|---|---|---|---|---|
| Higher oxidation degree GO | 63.9 | 34.6 | 7.6 | 1.84 |
| Upon carboxylation | 65.6 | 34.4 | 21.7 | 1.9 |
| Upon modification with EDA | 75.6 | 17.1 | 2.1 | 4.44 |
© 2020 by the authors. Licensee MDPI, Basel, Switzerland. This article is an open access article distributed under the terms and conditions of the Creative Commons Attribution (CC BY) license (http://creativecommons.org/licenses/by/4.0/).
Share and Cite
Pruna, A.I.; Barjola, A.; Cárcel, A.C.; Alonso, B.; Giménez, E. Effect of Varying Amine Functionalities on CO2 Capture of Carboxylated Graphene Oxide-Based Cryogels. Nanomaterials 2020, 10, 1446. https://doi.org/10.3390/nano10081446
Pruna AI, Barjola A, Cárcel AC, Alonso B, Giménez E. Effect of Varying Amine Functionalities on CO2 Capture of Carboxylated Graphene Oxide-Based Cryogels. Nanomaterials. 2020; 10(8):1446. https://doi.org/10.3390/nano10081446
Chicago/Turabian StylePruna, Alina I., Arturo Barjola, Alfonso C. Cárcel, Beatriz Alonso, and Enrique Giménez. 2020. "Effect of Varying Amine Functionalities on CO2 Capture of Carboxylated Graphene Oxide-Based Cryogels" Nanomaterials 10, no. 8: 1446. https://doi.org/10.3390/nano10081446
APA StylePruna, A. I., Barjola, A., Cárcel, A. C., Alonso, B., & Giménez, E. (2020). Effect of Varying Amine Functionalities on CO2 Capture of Carboxylated Graphene Oxide-Based Cryogels. Nanomaterials, 10(8), 1446. https://doi.org/10.3390/nano10081446

