Iron-Based Superconducting Nanowires: Electric Transport and Voltage-Noise Properties
Abstract
1. Introduction
2. Materials and Methods
3. Results
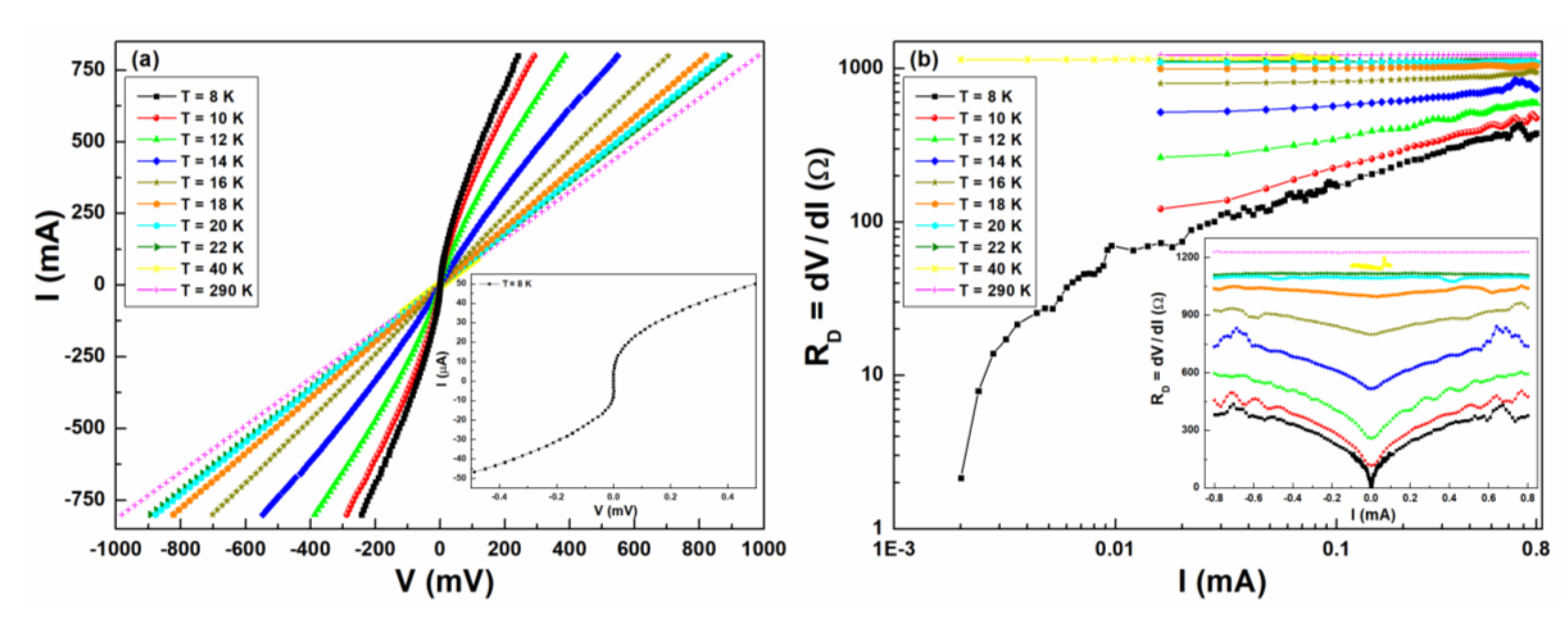
3.1. DC Electrical Transport Measurements
3.2. Voltage–Noise Spectral Density Measurements
4. Conclusions
Author Contributions
Funding
Acknowledgments
Conflicts of Interest
References
- Gol’tsman, G.N.; Okunev, O.; Chulkova, G.; Lipatov, A.; Semenov, A.; Smirnov, K.; Voronov, B.; Dzardanov, A.; Williams, C.; Sobolewski, R. Picosecond superconducting single-photon optical detector. Appl. Phys. Lett. 2001, 79, 705–707. [Google Scholar] [CrossRef]
- Natarajan, C.M.; Tanner, M.G.; Hadfield, R.H. Superconducting nanowire single-photon detectors: Physics and applications. Supercond. Sci. Technol. 2012, 25, 063001. [Google Scholar] [CrossRef]
- Quaranta, O.; Marchetti, S.; Martucciello, N.; Pagano, S.; Ejrnaes, M.; Cristiano, R.; Nappi, C. Superconductive Three-Terminal Amplifier/Discriminator. IEEE Trans. Appl. Supercond. 2009, 19, 367–370. [Google Scholar] [CrossRef]
- Ejrnaes, M.; Casaburi, A.; Cristiano, R.; Martucciello, N.; Mattioli, F.; Gaggero, A.; Leoni, R.; Villégier, J.-C.; Pagano, S. Characterization of superconducting pulse discriminators based on parallel NbN nanostriplines. Supercond. Sci. Technol. 2011, 24, 035018. [Google Scholar] [CrossRef]
- Zhao, Q.-Y.; Toomey, E.A.; Butters, B.A.; McCaughan, A.N.; Dane, A.E.; Nam, S.-W.; Berggren, K.K. A compact superconducting nanowire memory element operated by nanowire cryotrons. Supercond. Sci. Technol. 2018, 31, 035009. [Google Scholar] [CrossRef]
- Pagano, S.; Martucciello, N.; Bobba, F.; Carapella, G.; Attanasio, C.; Cirillo, C.; Cristiano, R.; Lisitskiy, M.; Ejrnaes, M.; Pepe, G.P.; et al. Proposal for a Nanoscale Superconductive Memory. IEEE Trans. Appl. Supercond. 2017, 27, 1801004. [Google Scholar] [CrossRef]
- Lyatti, M.; Wolff, M.A.; Gundareva, I.; Kruth, M.; Ferrari, S.; Dunin-Borkowski, R.E.; Schuck, C. Energy-level quantization and single-photon control of phase slips in YBa2Cu3O7−x nanowires. Nat. Commun. 2020, 11, 763. [Google Scholar] [CrossRef]
- Ejrnaes, M.; Casaburi, A.; Cristiano, R.; Quaranta, O.; Marchetti, S.; Pagano, S. Maximum count rate of large area superconducting single photon detectors. J. Mod. Opt. 2009, 56, 390–394. [Google Scholar] [CrossRef]
- Ejrnaes, M.; Casaburi, A.; Cristiano, R.; Quaranta, O.; Marchetti, S.; Martucciello, N.; Pagano, S.; Gaggero, A.; Mattioli, F.; Leoni, R.; et al. Timing jitter of cascade switch superconducting nanowire single photon detectors. Appl. Phys. Lett. 2009, 95, 132503. [Google Scholar] [CrossRef]
- Leoni, R.; Mattioli, F.; Castellano, M.G.; Cibella, S.; Carelli, P.; Pagano, S.; Perez de Lara, D.; Ejrnaes, M.; Lisitskyi, M.P.; Esposito, E.; et al. Fabrication and test of Superconducting Single Photon Detectors. Nucl. Instrum. Methods Phys. Res. A 2006, 559, 564–566. [Google Scholar] [CrossRef]
- Pagano, S.; Martucciello, N.; Cristiano, R.; Ejrnaes, M.; Casaburi, A.; Leoni, R.; Gaggero, A.; Mattioli, F.; Villegier, J.C.; Cavalier, P. Nano-Strip Three-Terminal Superconducting Device for Cryogenic Detector Readout. IEEE Trans. Appl. Supercond. 2011, 21, 717–720. [Google Scholar] [CrossRef]
- Shibata, H.; Takesue, H.; Honjo, T.; Akazaki, T.; Tokura, Y. Single-photon detection using magnesium diboride superconducting nanowires. Appl. Phys. Lett. 2010, 97, 212504. [Google Scholar] [CrossRef]
- Zhang, C.; Wang, D.; Liu, Z.-H.; Zhang, Y.; Ma, P.; Feng, Q.-R.; Wang, Y.; Gan, Z.-Z. Fabrication of superconducting nanowires from ultrathin MgB2 films via focused ion beam milling. AIP Adv. 2015, 5, 027139. [Google Scholar] [CrossRef]
- Shibata, H.; Kirigane, N.; Fukao, K.; Sakai, D.; Karimoto, S.; Yamamoto, H. Photoresponse of a La1.85Sr0.15CuO4 nanostrip. Supercond. Sci. Technol. 2017, 30, 074001. [Google Scholar] [CrossRef]
- Arpaia, R.; Golubev, D.; Baghdadi, R.; Ciancio, R.; Dražić, G.; Orgiani, P.; Montemurro, D.; Bauch, T.; Lombardi, F. Transport properties of ultrathin YBa2Cu3O7−δ nanowires: A route to single-photon detection. Phys. Rev. B 2017, 96, 064525. [Google Scholar] [CrossRef]
- Ma, Y. Progress in wire fabrication of iron-based superconductors. Supercond. Sci. Technol. 2012, 25, 113001. [Google Scholar] [CrossRef]
- Ma, Y. Development of high-performance iron-based superconducting wires and tapes. Phys. C Supercond. Appl. 2015, 516, 17–26. [Google Scholar] [CrossRef]
- Hiramatsu, H.; Katase, T.; Kamiya, T.; Hosono, H. Thin Film Growth and Device Fabrication of Iron-Based Superconductors. J. Phys. Soc. Jpn. 2011, 81, 011011. [Google Scholar] [CrossRef]
- Seidel, P. Josephson effects in iron based superconductors. Supercond. Sci. Technol. 2011, 24, 043001. [Google Scholar] [CrossRef]
- Yuan, P.; Xu, Z.; Li, C.; Quan, B.; Li, J.; Gu, C.; Ma, Y. Transport properties of ultrathin BaFe1.84Co0.16As2 superconducting nanowires. Supercond. Sci. Technol. 2018, 31, 025002. [Google Scholar] [CrossRef]
- DiCarlo, L.; Williams, J.R.; Zhang, Y.; McClure, D.T.; Marcus, C.M. Shot Noise in Graphene. Phys. Rev. Lett. 2008, 100, 156801. [Google Scholar] [CrossRef] [PubMed]
- Laitinen, A.; Paraoanu, G.S.; Oksanen, M.; Craciun, M.F.; Russo, S.; Sonin, E.; Hakonen, P. Contact doping, Klein tunneling, and asymmetry of shot noise in suspended graphene. Phys. Rev. B 2016, 93, 115413. [Google Scholar] [CrossRef]
- Mauro, C.; Barone, C.; Pagano, S.; Imai, Y.; Nabeshima, F.; Maeda, A. Noise Spectroscopy Investigation of Aging-Induced Degradation in Iron-Chalcogenide Superconductors. IEEE Trans. Appl. Supercond. 2017, 27, 7300804. [Google Scholar] [CrossRef]
- Barone, C.; Romeo, F.; Pagano, S.; Adamo, M.; Nappi, C.; Sarnelli, E.; Kurth, F.; Iida, K. Probing transport mechanisms of BaFe2As2 superconducting films and grain boundary junctions by noise spectroscopy. Sci. Rep. 2014, 4, 6163. [Google Scholar] [CrossRef] [PubMed]
- Kurth, F.; Iida, K.; Trommler, S.; Hänisch, J.; Nenkov, K.; Engelmann, J.; Oswald, S.; Werner, J.; Schultz, L.; Holzapfel, B.; et al. Electronic phase diagram of disordered Co doped BaFe2As2−δ. Supercond. Sci. Technol. 2013, 26, 025014. [Google Scholar] [CrossRef]
- Kurth, F.; Reich, E.; Hänisch, J.; Ichinose, A.; Tsukada, I.; Hühne, R.; Trommler, S.; Engelmann, J.; Schultz, L.; Holzapfel, B.; et al. Versatile fluoride substrates for Fe-based superconducting thin films. Appl. Phys. Lett. 2013, 102, 142601. [Google Scholar] [CrossRef]
- Ichinose, A.; Tsukada, I.; Nabeshima, F.; Imai, Y.; Maeda, A.; Kurth, F.; Holzapfel, B.; Iida, K.; Ueda, S.; Naito, M. Induced lattice strain in epitaxial Fe-based superconducting films on CaF2 substrates: A comparative study of the microstructures of SmFeAs(O,F), Ba(Fe,Co)2As2, and FeTe0.5Se0.5. Appl. Phys. Lett. 2014, 104, 122603. [Google Scholar] [CrossRef]
- Ganesh, I. A review on magnesium aluminate (MgAl2O4) spinel: Synthesis, processing and applications. Int. Mater. Rev. 2013, 58, 63–112. [Google Scholar] [CrossRef]
- Routoure, J.; Wu, S.; Barone, C.; Méchin, L.; Guillet, B. A Low-Noise and Quasi-Ideal DC Current Source Dedicated to Four-Probe Low-Frequency Noise Measurements. IEEE Trans. Instrum. Meas. 2020, 69, 194–200. [Google Scholar] [CrossRef]
- Barone, C.; Galdi, A.; Pagano, S.; Quaranta, O.; Méchin, L.; Routoure, J.-M.; Perna, P. Experimental technique for reducing contact and background noise in voltage spectral density measurements. Rev. Sci. Instrum. 2007, 78, 093905. [Google Scholar] [CrossRef]
- Barone, C.; Pagano, S.; Pallecchi, I.; Bellingeri, E.; Putti, M.; Ferdeghini, C. Thermal and voltage activated excess 1/f noise in FeTe0.5Se0.5 epitaxial thin films. Phys. Rev. B 2011, 83, 134523. [Google Scholar] [CrossRef]
- Barone, C.; Landi, G.; Mauro, C.; Neitzert, H.C.; Pagano, S. Universal crossover of the charge carrier fluctuation mechanism in different polymer/carbon nanotubes composites. Appl. Phys. Lett. 2015, 107, 143106. [Google Scholar] [CrossRef]
- Landi, G.; Barone, C.; Mauro, C.; Neitzert, H.C.; Pagano, S. A noise model for the evaluation of defect states in solar cells. Sci. Rep. 2016, 6, 29685. [Google Scholar] [CrossRef] [PubMed]
- Barone, C.; Galdi, A.; Lampis, N.; Maritato, L.; Granozio, F.M.; Pagano, S.; Perna, P.; Radovic, M.; Scotti Di Uccio, U. Charge density waves enhance the electronic noise of manganites. Phys. Rev. B Condens. Matter Mater. Phys. 2009, 80, 115128. [Google Scholar] [CrossRef]
- Asa, M.; Autieri, C.; Barone, C.; Mauro, C.; Picozzi, S.; Pagano, S.; Cantoni, M. Detecting antiferromagnetism in tetragonal Cr2O3 by electrical measurements. Phys. Rev. B 2019, 100, 174423. [Google Scholar] [CrossRef]
- Lee, P.A.; Ramakrishnan, T.V. Disordered electronic systems. Rev. Mod. Phys. 1985, 57, 287–337. [Google Scholar] [CrossRef]
- Pagano, S.; Barone, C.; Martucciello, N.; Enrico, E.; Croin, L.; Monticone, E.; Iida, K.; Kurth, F. Co-Doped BaFe2As2 Superconducting Nanowires for Detector Applications. IEEE Trans. Appl. Supercond. 2018, 28, 2200204. [Google Scholar] [CrossRef]
- Papari, G.; Carillo, F.; Stornaiuolo, D.; Massarotti, D.; Longobardi, L.; Beltram, F.; Tafuri, F. Dynamics of vortex matter in YBCO sub-micron bridges. Phys. C 2014, 506, 188–194. [Google Scholar] [CrossRef]
- Arpaia, R.; Ejrnaes, M.; Parlato, L.; Cristiano, R.; Arzeo, M.; Bauch, T.; Nawaz, S.; Tafuri, F.; Pepe, G.P.; Lombardi, F. Highly homogeneous YBCO/LSMO nanowires for photoresponse experiments. Supercond. Sci. Technol. 2014, 27, 044027. [Google Scholar] [CrossRef]
- Ejrnaes, M.; Parlato, L.; Arpaia, R.; Bauch, T.; Lombardi, F.; Cristiano, R.; Tafuri, F.; Pepe, G.P. Observation of dark pulses in 10 nm thick YBCO nanostrips presenting hysteretic current voltage characteristics. Supercond. Sci. Technol. 2017, 30, 12LT02. [Google Scholar] [CrossRef]
- Kogan, S. Electronic Noise and Fluctuations in Solids; Cambridge University Press: Cambridge, UK, 1996; ISBN 9780521460347. [Google Scholar]
- Barone, C.; Rotzinger, H.; Voss, N.J.; Mauro, C.; Schön, Y.; Ustinov, V.A.; Pagano, S. Current-Resistance Effects Inducing Nonlinear Fluctuation Mechanisms in Granular Aluminum Oxide Nanowires. Nanomaterials 2020, 10, 524. [Google Scholar] [CrossRef] [PubMed]
- Testa, J.A.; Song, Y.; Chen, X.D.; Golben, J.; Lee, S.-I.; Patton, B.R.; Gaines, J.R. 1/f-noise-power measurements of copper oxide superconductors in the normal and superconducting states. Phys. Rev. B 1988, 38, 2922–2925. [Google Scholar] [CrossRef] [PubMed]
- Kiss, L.B.; Svedlindh, P. New Noise Exponents in Random Conductor-Superconductor and Conductor-Insulator Mixtures. Phys. Rev. Lett. 1993, 71, 2817–2820. [Google Scholar] [CrossRef] [PubMed]
- Barone, C.; Romeo, F.; Galdi, A.; Orgiani, P.; Maritato, L.; Guarino, A.; Nigro, A.; Pagano, S. Universal origin of unconventional 1/f noise in the weak-localization regime. Phys. Rev. B 2013, 87, 245113. [Google Scholar] [CrossRef]
- Barone, C.; Romeo, F.; Pagano, S.; Attanasio, C.; Carapella, G.; Cirillo, C.; Galdi, A.; Grimaldi, G.; Guarino, A.; Leo, A.; et al. Nonequilibrium fluctuations as a distinctive feature of weak localization. Sci. Rep. 2015, 5, 10705. [Google Scholar] [CrossRef]








© 2020 by the authors. Licensee MDPI, Basel, Switzerland. This article is an open access article distributed under the terms and conditions of the Creative Commons Attribution (CC BY) license (http://creativecommons.org/licenses/by/4.0/).
Share and Cite
Pagano, S.; Martucciello, N.; Enrico, E.; Monticone, E.; Iida, K.; Barone, C. Iron-Based Superconducting Nanowires: Electric Transport and Voltage-Noise Properties. Nanomaterials 2020, 10, 862. https://doi.org/10.3390/nano10050862
Pagano S, Martucciello N, Enrico E, Monticone E, Iida K, Barone C. Iron-Based Superconducting Nanowires: Electric Transport and Voltage-Noise Properties. Nanomaterials. 2020; 10(5):862. https://doi.org/10.3390/nano10050862
Chicago/Turabian StylePagano, Sergio, Nadia Martucciello, Emanuele Enrico, Eugenio Monticone, Kazumasa Iida, and Carlo Barone. 2020. "Iron-Based Superconducting Nanowires: Electric Transport and Voltage-Noise Properties" Nanomaterials 10, no. 5: 862. https://doi.org/10.3390/nano10050862
APA StylePagano, S., Martucciello, N., Enrico, E., Monticone, E., Iida, K., & Barone, C. (2020). Iron-Based Superconducting Nanowires: Electric Transport and Voltage-Noise Properties. Nanomaterials, 10(5), 862. https://doi.org/10.3390/nano10050862

