The Terahertz Dynamics of an Aqueous Nanoparticle Suspension: An Inelastic X-ray Scattering Study
Abstract
1. Introduction
2. The IXS Measurement
3. A Model for the Spectral Shape
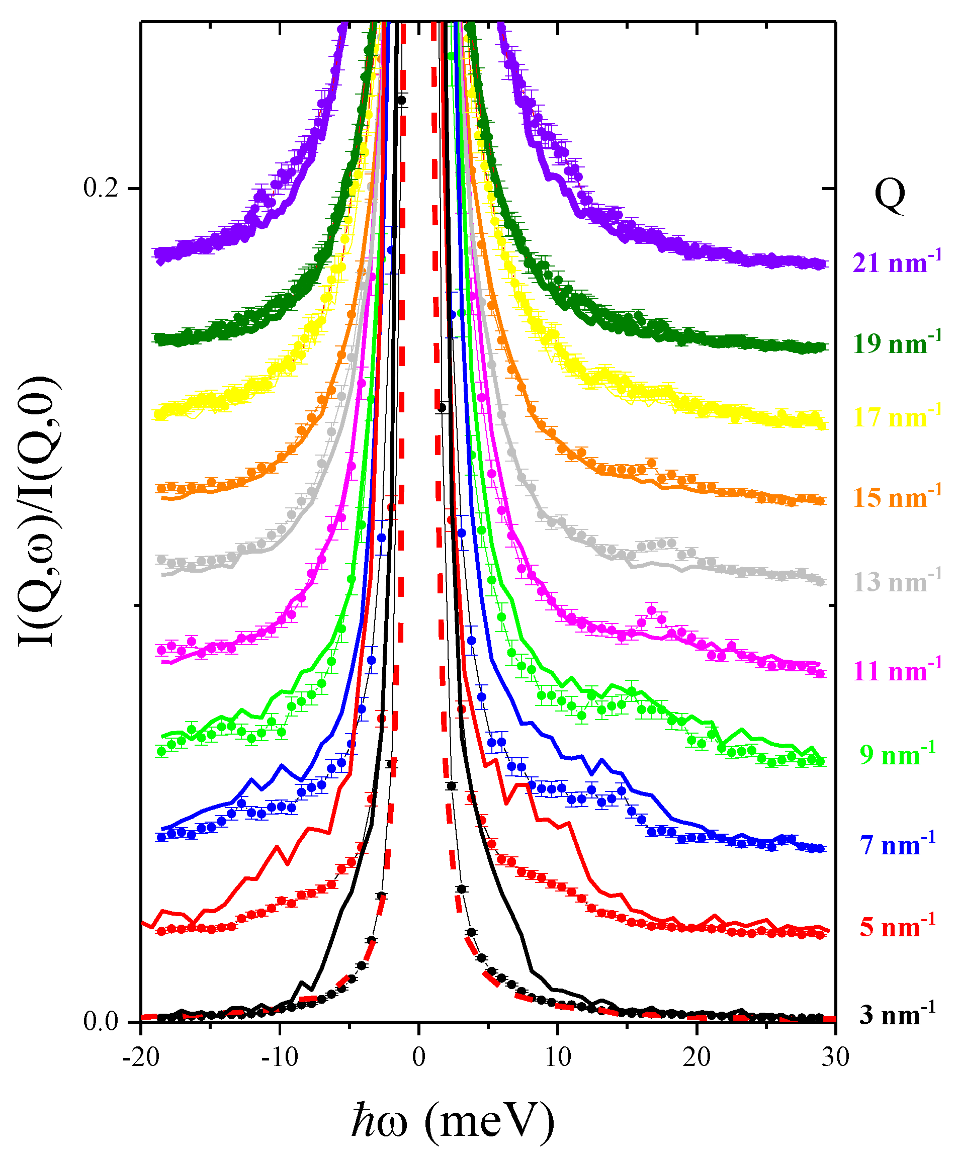
4. Discussion of Results
4.1. The Low-Energy DHO (Cyan Lines in the Plots)
- (1)
- The resemblance between values of the Au-NP suspension with the transverse acoustic mode of water further endorses the assignment of this mode to shear waves propagating through the liquid medium of the aqueous suspension.
- (2)
- Conversely, the similarity of with the dispersive branch of liquid Au further endorses the assignment of the high-energy peaks in the Au-NP suspension spectrum to acoustic phonons propagating inside the Au-NP interiors. One might find somehow baffling the similarity of the phonon propagation in liquid Au with the one in its solid counterparts, i.e., in the Au-NP interiors. However, this might be consistent with a viscoelastic hypothesis, assimilating the high-frequency response of a liquid to the one of the corresponding solid, as previously observed in water [39].
4.2. The Onset of the Transverse Mode in Pure Water
4.3. The Inherent “Fragility” of the LA Mode of Water
5. Conclusions
Author Contributions
Funding
Acknowledgments
Conflicts of Interest
References
- Maldovan, M. Sound and heat revolutions in phononics. Nature 2013, 503, 209–217. [Google Scholar] [CrossRef] [PubMed]
- Chang, C.W.; Okawa, D.; Majumdar, A.; Zettl, A. Solid-state thermal rectifier. Science 2006, 314, 1121–1124. [Google Scholar] [CrossRef] [PubMed]
- Harman, T.; Taylor, P.; Walsh, M.; LaForge, B. Quantum dot superlattice thermoelectric materials and devices. Science 2002, 297, 2229–2232. [Google Scholar] [CrossRef] [PubMed]
- Maldovan, M. Narrow low-frequency spectrum and heat management by thermocrystals. Phys. Rev. Lett. 2013, 110, 025902. [Google Scholar] [CrossRef]
- Herrmann, N.; McClements, D.J. Influence of visco-inertial effects on the ultrasonic properties of monodisperse silica suspensions. J. Acoust. Soc. Am. 1999, 106, 1178–1181. [Google Scholar] [CrossRef]
- Liu, J.; Ye, L.; Weitz, D.; Sheng, P. Novel acoustic excitations in suspensions of hard-sphere colloids. Phys. Rev. Lett. 1990, 65, 2602. [Google Scholar] [CrossRef]
- Jing, X.; Sheng, P.; Zhou, M. Theory of acoustic excitations in colloidal suspensions. Phys. Rev. Lett. 1991, 66, 1240. [Google Scholar] [CrossRef]
- Ye, L.; Liu, J.; Sheng, P.; Weitz, D. Sound propagation in suspensions of solid spheres. Phys. Rev. E 1993, 48, 2805. [Google Scholar] [CrossRef]
- Penciu, R.; Fytas, G.; Economou, E.; Steffen, W.; Yannopoulos, S. Acoustic excitations in suspensions of soft colloids. Phys. Rev. Lett. 2000, 85, 4622. [Google Scholar] [CrossRef] [PubMed]
- Cowan, M.; Page, J.; Sheng, P. Ultrasonic wave transport in a system of disordered resonant scatterers: Propagating resonant modes and hybridization gaps. Phys. Rev. B 2011, 84, 094305. [Google Scholar] [CrossRef]
- Sinha, S.K. Theory of inelastic X-ray scattering from condensed matter. J. Phys. Condens. Matter 2001, 13, 7511. [Google Scholar] [CrossRef]
- Lovesey, S.W. Theory of Neutron Scattering from Condensed Matter, Volume 1: Nuclear Scattering; U.S. Department of Energy: Oxford, UK, 1984.
- Squires, G.L. Introduction to the Theory of Thermal Neutron Scattering; Dover Publication: Mineola, NY, USA, 1996. [Google Scholar]
- Berne, B.J.; Pecora, R. Dynamic Light Scattering: With Applications to Chemistry, Biology, and Physics; Dover Publication: Mineola, NY, USA, 2000. [Google Scholar]
- Gelman, A.; Carlin, J.B.; Stern, H.S.; Dunson, D.B.; Vehtari, A.; Rubin, D.B. Bayesian Data Analysis; Chapman and Hall/CRC: Boca Raton, FL, USA, 2013. [Google Scholar]
- Sivia, D.; Skilling, J. Data Analysis: A Bayesian Tutorial; OUP: Oxford, UK, 2006. [Google Scholar]
- De Francesco, A.; Scaccia, L.; Maccarini, M.; Formisano, F.; Guarini, E.; Bafile, U.; Cunsolo, A. Interpreting the terahertz spectrum of complex materials: the unique contribution of the Bayesian analysis. Materials 2019, 12, 2914. [Google Scholar] [CrossRef] [PubMed]
- De Francesco, A.; Scaccia, L.; Lennox, R.B.; Guarini, E.; Bafile, U.; Falus, P.; Maccarini, M. Model-free description of polymer-coated gold nanoparticle dynamics in aqueous solutions obtained by Bayesian analysis of neutron spin echo data. Phys. Rev. E 2019, 99, 052504. [Google Scholar] [CrossRef] [PubMed]
- De Francesco, A.; Guarini, E.; Bafile, U.; Formisano, F.; Scaccia, L. Bayesian approach to the analysis of neutron Brillouin scattering data on liquid metals. Phys. Rev. E 2016, 94, 023305. [Google Scholar] [CrossRef]
- De Francesco, A.; Scaccia, L.; Maccarini, M.; Formisano, F.; Zhang, Y.; Gang, O.; Nykypanchuk, D.; Said, A.H.; Leu, B.M.; Alatas, A.; et al. Damping Off Terahertz Sound Modes of a Liquid upon Immersion of Nanoparticles. ACS Nano 2018, 12, 8867–8874. [Google Scholar] [CrossRef]
- De Francesco, A.; Scaccia, L.; Formisano, F.; Maccarini, M.; De Luca, F.; Parmentier, A.; Alatas, A.; Suvorov, A.; Cai, Y.Q.; Li, R.; et al. Shaping the terahertz sound propagation in water under highly directional confinement. Phys. Rev. B 2020, 101, 054306. [Google Scholar] [CrossRef]
- Said, A.H.; Sinn, H.; Divan, R. New developments in fabrication of high-energy-resolution analyzers for inelastic X-ray spectroscopy. J. Synchrotron Radiat. 2011, 18, 492–496. [Google Scholar] [CrossRef]
- Toellner, T.; Alatas, A.; Said, A. Six-reflection meV-monochromator for synchrotron radiation. J. Synchrotron Radiat. 2011, 18, 605–611. [Google Scholar] [CrossRef]
- Cunsolo, A. The THz Spectrum of Density Fluctuations of Water: The Viscoelastic Regime. Adv. Condens. Matter Phys. 2015, 2015, 137435. [Google Scholar] [CrossRef]
- Sette, F.; Ruocco, G.; Krisch, M.; Masciovecchio, C.; Verbeni, R.; Bergmann, U. Transition from normal to fast sound in liquid water. Phys. Rev. Lett. 1996, 77, 83. [Google Scholar] [CrossRef]
- Pontecorvo, E.; Krisch, M.; Cunsolo, A.; Monaco, G.; Mermet, A.; Verbeni, R.; Sette, F.; Ruocco, G. High-frequency longitudinal and transverse dynamics in water. Phys. Rev. E 2005, 71, 011501. [Google Scholar] [CrossRef] [PubMed]
- Bencivenga, F.; Cunsolo, A.; Krisch, M.; Monaco, G.; Ruocco, G.; Sette, F. High-frequency dynamics of liquid and supercritical water. Phys. Rev. E 2007, 75, 051202. [Google Scholar] [CrossRef] [PubMed]
- Monaco, G.; Cunsolo, A.; Ruocco, G.; Sette, F. Viscoelastic behavior of water in the terahertz-frequency range: an inelastic x-ray scattering study. Phys. Rev. E 1999, 60, 5505. [Google Scholar] [CrossRef] [PubMed]
- Cunsolo, A.; Ruocco, G.; Sette, F.; Masciovecchio, C.; Mermet, A.; Monaco, G.; Sampoli, M.; Verbeni, R. Experimental determination of the structural relaxation in liquid water. Phys. Rev. Lett. 1999, 82, 775. [Google Scholar] [CrossRef]
- Bosi, P.; Dupre, F.; Menzingee, F.; Sacchetti, F.; Spinelli, M. Observation of collective excitations in heavy water in the 108 cm−1 momentum range. Lett. Nuovo Cimento (1971–1985) 1978, 21, 436–440. [Google Scholar] [CrossRef]
- Teixeira, J.; Bellissent-Funel, M.; Chen, S.; Dorner, B. Observation of new short-wavelength collective excitations in heavy water by coherent inelastic neutron scattering. Phys. Rev. Lett. 1985, 54, 2681. [Google Scholar] [CrossRef] [PubMed]
- Petrillo, C.; Sacchetti, F.; Dorner, B.; Suck, J.B. High-resolution neutron scattering measurement of the dynamic structure factor of heavy water. Phys. Rev. E 2000, 62, 3611. [Google Scholar] [CrossRef]
- Sacchetti, F.; Suck, J.B.; Petrillo, C.; Dorner, B. Brillouin neutron scattering in heavy water: Evidence for two-mode collective dynamics. Phys. Rev. E 2004, 69, 061203. [Google Scholar] [CrossRef]
- Mountain, R.D. Spectral distribution of scattered light in a simple fluid. Rev. Mod. Phys. 1966, 38, 205. [Google Scholar] [CrossRef]
- Green, P.J. Reversible jump Markov chain Monte Carlo computation and Bayesian model determination. Biometrika 1995, 82, 711–732. [Google Scholar] [CrossRef]
- Sampoli, M.; Ruocco, G.; Sette, F. Mixing of longitudinal and transverse dynamics in liquid water. Phys. Rev. Lett. 1997, 79, 1678. [Google Scholar] [CrossRef]
- Cunsolo, A.; Kodituwakku, C.; Bencivenga, F.; Frontzek, M.; Leu, B.; Said, A. Transverse dynamics of water across the melting point: A parallel neutron and x-ray inelastic scattering study. Phys. Rev. B 2012, 85, 174305. [Google Scholar] [CrossRef]
- Guarini, E.; Bafile, U.; Barocchi, F.; De Francesco, A.; Farhi, E.; Formisano, F.; Laloni, A.; Orecchini, A.; Polidori, A.; Puglini, M.; et al. Dynamics of liquid Au from neutron Brillouin scattering and ab initio simulations: Analogies in the behavior of metallic and insulating liquids. Phys. Rev. B 2013, 88, 104201. [Google Scholar] [CrossRef]
- Ruocco, G.; Sette, F.; Bergmann, U.; Krisch, M.; Masciovecchlo, C.; Mazzacurati, V.; Signorelli, G.; Verbeni, R. Equivalence of the sound velocity in water and ice at mesoscopic wavelengths. Nature 1996, 379, 521–523. [Google Scholar] [CrossRef]
- Copley, J.; Lovesey, S. The dynamic properties of monatomic liquids. Rep. Prog. Phys. 1975, 38, 461. [Google Scholar] [CrossRef]
- Balucani, U.; Ruocco, G.; Torcini, A.; Vallauri, R. Fast sound in liquid water. Phys. Rev. E 1993, 47, 1677. [Google Scholar] [CrossRef]
- Blairs, S. Correlation between surface tension, density, and sound velocity of liquid metals. J. Colloid Interface Sci. 2006, 302, 312–314. [Google Scholar] [CrossRef]
- Samsonov, G.V. Handbook of the Physicochemical Properties of the Elements; Springer Science & Business Media: Berlin/Heidelberg, Germany, 2012. [Google Scholar]
- Petkov, V.; Peng, Y.; Williams, G.; Huang, B.; Tomalia, D.; Ren, Y. Structure of gold nanoparticles suspended in water studied by X-ray diffraction and computer simulations. Phys. Rev. B 2005, 72, 195402. [Google Scholar] [CrossRef]





© 2020 by the authors. Licensee MDPI, Basel, Switzerland. This article is an open access article distributed under the terms and conditions of the Creative Commons Attribution (CC BY) license (http://creativecommons.org/licenses/by/4.0/).
Share and Cite
De Francesco, A.; Scaccia, L.; Formisano, F.; Guarini, E.; Bafile, U.; Maccarini, M.; Alatas, A.; Cai, Y.Q.; Cunsolo, A. The Terahertz Dynamics of an Aqueous Nanoparticle Suspension: An Inelastic X-ray Scattering Study. Nanomaterials 2020, 10, 860. https://doi.org/10.3390/nano10050860
De Francesco A, Scaccia L, Formisano F, Guarini E, Bafile U, Maccarini M, Alatas A, Cai YQ, Cunsolo A. The Terahertz Dynamics of an Aqueous Nanoparticle Suspension: An Inelastic X-ray Scattering Study. Nanomaterials. 2020; 10(5):860. https://doi.org/10.3390/nano10050860
Chicago/Turabian StyleDe Francesco, Alessio, Luisa Scaccia, Ferdinando Formisano, Eleonora Guarini, Ubaldo Bafile, Marco Maccarini, Ahmet Alatas, Yong Q. Cai, and Alessandro Cunsolo. 2020. "The Terahertz Dynamics of an Aqueous Nanoparticle Suspension: An Inelastic X-ray Scattering Study" Nanomaterials 10, no. 5: 860. https://doi.org/10.3390/nano10050860
APA StyleDe Francesco, A., Scaccia, L., Formisano, F., Guarini, E., Bafile, U., Maccarini, M., Alatas, A., Cai, Y. Q., & Cunsolo, A. (2020). The Terahertz Dynamics of an Aqueous Nanoparticle Suspension: An Inelastic X-ray Scattering Study. Nanomaterials, 10(5), 860. https://doi.org/10.3390/nano10050860

