Influence of Cu2+, Ni2+, and Zn2+ Ions Doping on the Structure, Morphology, and Magnetic Properties of Co-Ferrite Embedded in SiO2 Matrix Obtained by an Innovative Sol-Gel Route
Abstract
1. Introduction
2. Materials and Methods
2.1. Reagents
2.2. Synthesis
2.3. Characterization
3. Results and Discussion
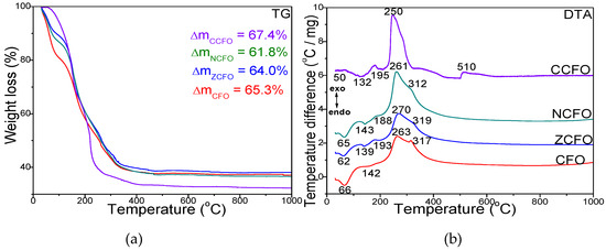
3.1. Thermal Stability
3.2. Fourier Transform Infrared (FT-IR) Spectroscopy
3.3. X-ray Diffraction (XRD)
3.4. Transmission Electron Microscopy (TEM)
3.5. Magnetic Properties
4. Conclusions
Author Contributions
Funding
Conflicts of Interest
References
- Nayeem, F.; Parveez, A.; Chaudhuri, A.; Sinha, R.; Khader, S.A. Effect of Zn+2 doping on structural, dielectric and electrical properties of cobalt ferrite prepared by auto combustion method. Mater. Today Proc. 2017, 4, 12138–12143. [Google Scholar] [CrossRef]
 - Xin, G.; Xi, Y. Effects on magnetic properties of different metal ions substitution cobalt ferrite synthesis by sol-gel auto-combustion route using used batteries. Mater. Lett. 2016, 164, 444–448. [Google Scholar]
 - Tatarchuk, T.R.; Paliychuk, N.D.; Bououdina, M.; Al-Najar, B.; Pacia, M.; Macyk, W.; Shyichuk, A. Effect of cobalt substitution on structural, elastic, magnetic and optical properties of zinc ferrite nanoparticles. J. Alloys Comp. 2018, 731, 1256–1266. [Google Scholar] [CrossRef]
 - Madhukara Naik, M.; Bhojya Naik, H.S.; Nagaraju, G.; Vinuth, M.; Vinu, K.; Viswanath, R. Green synthesis of zinc doped cobalt ferrite nanoparticles: Structural, optical, photocatalytic and antibacterial studies. Nano-Struct. Nano-Objects 2019, 19, 100322. [Google Scholar] [CrossRef]
 - Chakradhary, V.K.; Ansari, A.; Jaleel Akhtar, M. Design, synthesis and testing of high coercivity cobalt doped nickel ferrite nanoparticles for magnetic applications. J. Magn. Magn. Mater. 2019, 469, 674–680. [Google Scholar] [CrossRef]
 - El Foulani, A.H.; Aamouche, A.; Mohseni, F.; Amaral, J.S.; Tobaldi, D.M.; Pullar, R.C. Effect of surfactants on the optical and magnetic properties of cobalt-zinc ferrite Co0.5Zn0.5Fe2O4. J. Alloys Comp. 2019, 774, 1250–1259. [Google Scholar] [CrossRef]
 - Torkian, S.; Ghasemi, A.; Razavi, R.S. Cation distribution and magnetic analysis of wideband microwave absorptive CoxNi1-xFe2O4 ferrites. Ceram. Int. 2017, 43, 6987–6995. [Google Scholar] [CrossRef]
 - Hassadeea, A.; Jutarosaga, T.; Onreabroy, W. Effect of zinc substitution on structural and magnetic properties of cobalt ferrite. Procedia Eng. 2012, 32, 597–602. [Google Scholar] [CrossRef]
 - Bhame, S.D.; Joy, P.A. Enhanced strain sensitivity in magnetostrictive spinel ferrite Co1-xZnxFe2O4. J. Magn. Magn. Mater. 2018, 447, 150–154. [Google Scholar] [CrossRef]
 - Atif, M.; Asghar, M.W.; Nadeem, M.; Khalid, W.; Ali, Z.; Badshah, S. Synthesis and investigation of structural, magnetic and dielectric properties of zinc substituted cobalt ferrite. J. Pys. Chem. Solids 2018, 123, 36–42. [Google Scholar] [CrossRef]
 - Anu, K.; Hemalatha, J. Magnetic and electrical conductivity studies of zinc doped cobalt ferrite nanofluids. J. Mol. Liq. 2019, 284, 445–453. [Google Scholar] [CrossRef]
 - Ashour, A.H.; El-Batal, A.I.; Abde Maksoud, M.I.A.; El-Sayyad, G.S.; Labib, S.; Abdeltwab, E.; El-Okr, M.M. Antimicrobial activity of metal-substituted cobalt ferrite nanoparticles synthesized by sol-gel technique. Particuology 2018, 40, 141–151. [Google Scholar] [CrossRef]
 - Dippong, T.; Levei, E.A.; Cadar, O.; Goga, F.; Toloman, D.; Borodi, G. Thermal behavior of Ni, Co and Fe succinates embedded in silica matrix, J. Therm. Anal. Calorim. 2019, 136, 1587–1596. [Google Scholar] [CrossRef]
 - Dippong, T.; Goga, F.; Levei, E.A.; Cadar, O. Influence of zinc substitution with cobalt on thermal behavior, structure and morphology of zinc ferrite embedded in silica matrix. J. Solid State Chem. 2019, 275, 159–166. [Google Scholar] [CrossRef]
 - Zamani, M.; Naderi, E.; Aghajanzadeh, M.; Naseri, M.; Sharafi, A.; Danafar, H. Co1-xZnxFe2O4 based nanocarriers for dual-targeted anticancer drug delivery: Synthesis, characterization and in vivo and in vitro biocompatibility study. J. Mol. Liq. 2019, 274, 60–67. [Google Scholar] [CrossRef]
 - Dippong, T.; Levei, E.A.; Tanaselia, C.; Gabor, M.; Nasui, M.; Barbu Tudoran, L.; Borodi, G. Magnetic properties evolution of the CoxFe3-xO4/SiO2 system due to advanced thermal at 700 °C and 1000 °C. J. Magn. Magn. Mater. 2016, 410, 47–54. [Google Scholar] [CrossRef]
 - Dippong, T.; Deac, I.G.; Cadar, O.; Levei, E.A.; Diamandescu, L.; Borodi, G. Effect of Zn content on structural, morphological and magnetic behavior of ZnxCo1-xFe2O4/SiO2 nanocomposites. J. Alloys Comp. 2019, 792, 432–443. [Google Scholar] [CrossRef]
 - Dippong, T.; Levei, E.A.; Cadar, O.; Deac, I.G.; Diamandescu, L.; Barbu Tudoran, L. Effect of nickel content on structural, morphological and magnetic properties of NixCo1-xFe2O4/SiO2 nanocomposites. J. Alloys Comp. 2019, 786, 330–340. [Google Scholar] [CrossRef]
 - Powder Diffraction File. Joint Committee for Powder Diffraction Standards; International Center for Diffraction Data: Swarthmore, PA, USA, 1995. [Google Scholar]
 - Singh, C.; Jauhar, S.; Kumar, V.; Singh, J.; Singhal, S. Synthesis of zinc substituted cobalt ferrites via reverse micelle technique involving in situ template formation: A study on their structural, magnetic, optical and catalytic properties. Mat. Chem. Phys. 2015, 156, 188–197. [Google Scholar] [CrossRef]
 - Džunuzović, A.S.; Ilić, N.I.; Vijatović Petrović, M.M.; Bobić, J.D.; Stojadinović, B.; Dohčević-Mitrović, Z.; Stojanović, B.D. Structure and properties of Ni-Zn ferrite obtained by auto-combustion method. J. Magn. Magn. Mater. 2015, 374, 245–251. [Google Scholar] [CrossRef]
 - Sontu, U.B.; Rao, N.; Reddy, V.R.M. Temperature dependent and applied field strength dependent magnetic study of cobalt nickel ferrite nano particles: Synthesized by an environmentally benign method. J. Magn. Magn. Mater. 2018, 352, 398–406. [Google Scholar] [CrossRef]
 - Cullity, B.D.; Graham, C.D. Introduction to Magnetic Materials; John Wiley & Sons, Inc.: Hoboken, NJ, USA, 2009; p. 180. [Google Scholar]
 - Qing, L.; Christina, W.K.; Shinji, H.; Takashi, O.; Toru, I.; Kikuo, O. Correlation between particle size/domain structure and magnetic properties of highly crystalline Fe3O4 nanoparticles. Sci. Rep. 2017, 7, 9894. [Google Scholar]
 







| Temp (°C)  | Sample | DTEM (nm)  | DXRD (nm)  | a (Å)  | V (Å3)  | dp (g/cm3)  | dXRD (g/cm3)  | P (%)  | 
|---|---|---|---|---|---|---|---|---|
| 400 | CFO | 7 | 6.8 | 8.385 | 590 | 4.654 | 5.283 | 11.9 | 
| ZCFO | 3 | 2.7 | 8.445 | 602 | 4.738 | 5.205 | 9.0 | |
| NCFO | 6 | 5.8 | 8.409 | 595 | 4.685 | 5.236 | 10.5 | |
| CCFO | 2 | 2.4 | 8.439 | 601 | 4.742 | 5.206 | 9.1 | |
| 700 | CFO | 14 | 13.3 | 8.356 | 583 | 4.657 | 5.346 | 12.9 | 
| ZCFO | 10 | 9.6 | 8.372 | 587 | 4.738 | 5.338 | 11.2 | |
| NCFO | 9 | 8.9 | 8.379 | 588 | 4.752 | 5.299 | 10.3 | |
| CCFO | 6 | 5.8 | 8.395 | 592 | 4.790 | 5.285 | 9.4 | |
| 1000 | CFO | 32 | 31.7 | 8.318 | 576 | 4.553 | 5.411 | 15.8 | 
| ZCFO | 23 | 22.6 | 8.344 | 581 | 4.597 | 5.393 | 14.8 | |
| NCFO | 31 | 30.8 | 8.323 | 577 | 4.561 | 5.400 | 15.5 | |
| CCFO | 47 | 46.3 | 8.300 | 572 | 4.412 | 5.470 | 19.3 | 
| Sample | Ms (emu/g) | Mr(emu/g) | Hc (Oe) | nB | K·103 (erg/cm3) | ||||||||||
|---|---|---|---|---|---|---|---|---|---|---|---|---|---|---|---|
| 400 | 700 | 1000 | 400 | 700 | 1000 | 400 | 700 | 1000 | 400 | 700 | 1000 | 400 | 700 | 1000 | |
| CFO | 14.8 | 22.4 | 28.7 | 2.6 | 4.7 | 12.1 | 400 | 880 | 1580 | 0.62 | 0.94 | 1.20 | 0.37 | 1.24 | 2.85 | 
| ZCFO | 10.1 | 24.1 | 33.5 | 0.8 | 5.0 | 10.8 | 200 | 220 | 370 | 0.42 | 1.01 | 1.40 | 0.13 | 0.33 | 0.78 | 
| NCFO | 9.65 | 18.2 | 25.2 | 1.4 | 3.2 | 9.5 | 360 | 540 | 900 | 0.40 | 0.76 | 1.05 | 0.22 | 0.62 | 1.42 | 
| CCFO | 7.7 | 17.3 | 26.3 | 0.1 | 0.6 | 9.7 | 120 | 170 | 530 | 0.32 | 0.73 | 1.10 | 0.06 | 0.19 | 0.88 | 
© 2020 by the authors. Licensee MDPI, Basel, Switzerland. This article is an open access article distributed under the terms and conditions of the Creative Commons Attribution (CC BY) license (http://creativecommons.org/licenses/by/4.0/).
Share and Cite
Dippong, T.; Levei, E.A.; Deac, I.G.; Neag, E.; Cadar, O. Influence of Cu2+, Ni2+, and Zn2+ Ions Doping on the Structure, Morphology, and Magnetic Properties of Co-Ferrite Embedded in SiO2 Matrix Obtained by an Innovative Sol-Gel Route. Nanomaterials 2020, 10, 580. https://doi.org/10.3390/nano10030580
Dippong T, Levei EA, Deac IG, Neag E, Cadar O. Influence of Cu2+, Ni2+, and Zn2+ Ions Doping on the Structure, Morphology, and Magnetic Properties of Co-Ferrite Embedded in SiO2 Matrix Obtained by an Innovative Sol-Gel Route. Nanomaterials. 2020; 10(3):580. https://doi.org/10.3390/nano10030580
Chicago/Turabian StyleDippong, Thomas, Erika Andrea Levei, Iosif Grigore Deac, Emilia Neag, and Oana Cadar. 2020. "Influence of Cu2+, Ni2+, and Zn2+ Ions Doping on the Structure, Morphology, and Magnetic Properties of Co-Ferrite Embedded in SiO2 Matrix Obtained by an Innovative Sol-Gel Route" Nanomaterials 10, no. 3: 580. https://doi.org/10.3390/nano10030580
APA StyleDippong, T., Levei, E. A., Deac, I. G., Neag, E., & Cadar, O. (2020). Influence of Cu2+, Ni2+, and Zn2+ Ions Doping on the Structure, Morphology, and Magnetic Properties of Co-Ferrite Embedded in SiO2 Matrix Obtained by an Innovative Sol-Gel Route. Nanomaterials, 10(3), 580. https://doi.org/10.3390/nano10030580
        
