Improving Formation Conditions and Properties of hBN Nanosheets Through BaF2-assisted Polymer Derived Ceramics (PDCs) Technique
Abstract
1. Introduction
2. Materials and Methods
2.1. Procedure
2.2. Methods
3. Results and Discussion
3.1. Structural and Electronic Properties
3.1.1. Powder XRD Analysis
3.1.2. XPS Analysis
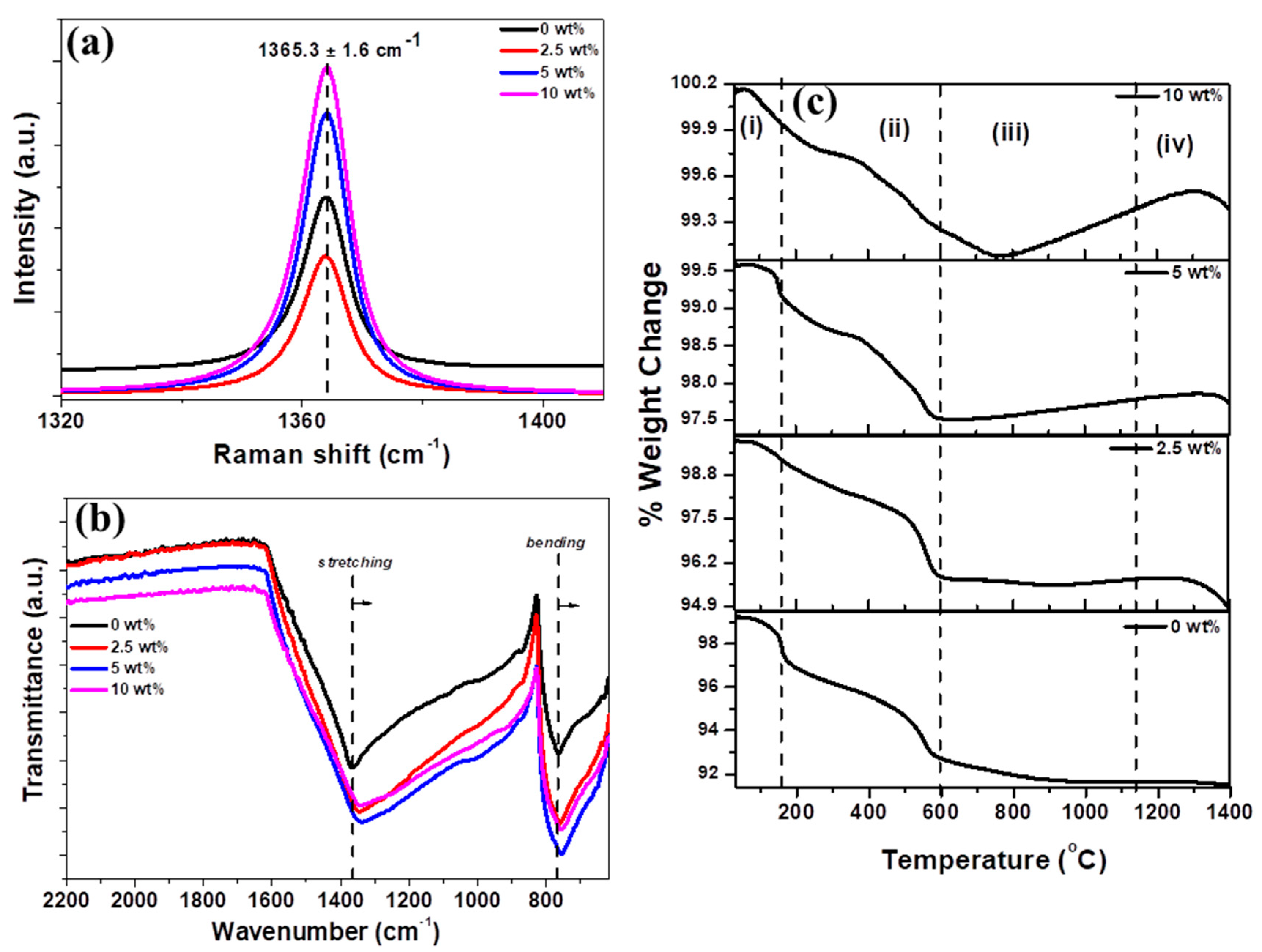
3.1.3. Raman and FT-IR Analysis
3.1.4. Thermal Stability Investigation
3.1.5. Surface Area Determination
3.2. Morphological Analysis
4. Conclusions
Supplementary Materials
Author Contributions
Funding
Acknowledgments
Conflicts of Interest
Abbreviation
| PDCs | polymer derived ceramics |
| hBN | hexagonal boron nitride |
| wt% | weight percentage |
| Li3N | lithium nitride |
| BaF2 | barium fluoride |
References
- Geim, A.K. Graphene: Status and Prospects. Science 2009, 324, 1530–1534. [Google Scholar] [CrossRef] [PubMed]
- Novoselov, K.S.; Geim, A.K.; Morozov, S.V.; Jiang, D.; Katsnelson, M.I.; Grigorieva, I.V.; Dubonos, S.V.; Firsov, A.A. Two-dimensional gas of massless Dirac fermions in graphene. Nature 2005, 438, 197. [Google Scholar] [CrossRef] [PubMed]
- Geim, A.K.; Novoselov, K.S. The rise of graphene. Nat. Mater. 2007, 6, 183. [Google Scholar] [CrossRef] [PubMed]
- Mayorov, A.S.; Gorbachev, R.V.; Morozov, S.V.; Britnell, L.; Jalil, R.; Ponomarenko, L.A.; Blake, P.; Novoselov, K.S.; Watanabe, K.; Taniguchi, T.; et al. Micrometer-Scale Ballistic Transport in Encapsulated Graphene at Room Temperature. Nano Lett. 2011, 11, 2396–2399. [Google Scholar] [CrossRef]
- Dean, C.R.; Young, A.F.; Meric, I.; Lee, C.; Wang, L.; Sorgenfrei, S.; Watanabe, K.; Taniguchi, T.; Kim, P.; Shepard, K.L.; et al. Boron nitride substrates for high-quality graphene electronics. Nat. Nanotechnol. 2010, 5, 722. [Google Scholar] [CrossRef]
- Okada, M.; Sawazaki, T.; Watanabe, K.; Taniguch, T.; Hibino, H.; Shinohara, H.; Kitaura, R. Direct Chemical Vapor Deposition Growth of WS2 Atomic Layers on Hexagonal Boron Nitride. Acs Nano 2014, 8, 8273–8277. [Google Scholar] [CrossRef]
- Behura, S.; Nguyen, P.; Che, S.; Debbarma, R.; Berry, V. Large-Area, Transfer-Free, Oxide-Assisted Synthesis of Hexagonal Boron Nitride Films and Their Heterostructures with MoS2 and WS2. J. Am. Chem. Soc. 2015, 137, 13060–13065. [Google Scholar] [CrossRef]
- Lee, G.-H.; Yu, Y.-J.; Cui, X.; Petrone, N.; Lee, C.-H.; Choi, M.S.; Lee, D.-Y.; Lee, C.; Yoo, W.J.; Watanabe, K.; et al. Flexible and Transparent MoS2 Field-Effect Transistors on Hexagonal Boron Nitride-Graphene Heterostructures. Acs Nano 2013, 7, 7931–7936. [Google Scholar] [CrossRef]
- Zhang, Z.; Hu, S.; Chen, J.; Li, B. Hexagonal boron nitride: a promising substrate for graphene with high heat dissipation. Nanotechnology 2017, 28, 225704. [Google Scholar] [CrossRef]
- Gannett, W.; Regan, W.; Watanabe, K.; Taniguchi, T.; Crommie, M.F.; Zettl, A. Boron nitride substrates for high mobility chemical vapor deposited graphene. Appl. Phys. Lett. 2011, 98, 242105. [Google Scholar] [CrossRef]
- Lee, G.-H.; Cui, X.; Kim, Y.D.; Arefe, G.; Zhang, X.; Lee, C.-H.; Ye, F.; Watanabe, K.; Taniguchi, T.; Kim, P.; et al. Highly Stable, Dual-Gated MoS2 Transistors Encapsulated by Hexagonal Boron Nitride with Gate-Controllable Contact, Resistance, and Threshold Voltage. Acs Nano 2015, 9, 7019–7026. [Google Scholar] [CrossRef]
- Britnell, L.; Gorbachev, R.V.; Jalil, R.; Belle, B.D.; Schedin, F.; Katsnelson, M.I.; Eaves, L.; Morozov, S.V.; Mayorov, A.S.; Peres, N.M.R.; et al. Electron Tunneling through Ultrathin Boron Nitride Crystalline Barriers. Nano Lett. 2012, 12, 1707–1710. [Google Scholar] [CrossRef]
- Watanabe, K.; Taniguchi, T.; Niiyama, T.; Miya, K.; Taniguchi, M. Far-ultraviolet plane-emission handheld device based on hexagonal boron nitride. Nat. Photonics 2009, 3, 591. [Google Scholar] [CrossRef]
- Liu, Z.; Gong, Y.; Zhou, W.; Ma, L.; Yu, J.; Idrobo, J.C.; Jung, J.; MacDonald, A.H.; Vajtai, R.; Lou, J.; et al. Ultrathin high-temperature oxidation-resistant coatings of hexagonal boron nitride. Nat. Commun. 2013, 4, 2541. [Google Scholar] [CrossRef]
- Cornu, D.; Miele, P.; Toury, B.; Bonnetot, B.; Mongeot, H.; Bouix, J. Boron nitride matrices and coatings from boryl borazine molecular precursors. J. Mater. Chem. 1999, 9, 2605–2610. [Google Scholar] [CrossRef]
- Chen, X.; Gao, X.P.; Zhang, H.; Zhou, Z.; Hu, W.K.; Pan, G.L.; Zhu, H.Y.; Yan, T.Y.; Song, D.Y. Preparation and Electrochemical Hydrogen Storage of Boron Nitride Nanotubes. J. Phys. Chem. B 2005, 109, 11525–11529. [Google Scholar] [CrossRef]
- Ramasubramaniam, A.; Naveh, D.; Towe, E. Tunable Band Gaps in Bilayer Graphene−BN Heterostructures. Nano Lett. 2011, 11, 1070–1075. [Google Scholar] [CrossRef] [PubMed]
- Kharche, N.; Nayak, S.K. Quasiparticle Band Gap Engineering of Graphene and Graphone on Hexagonal Boron Nitride Substrate. Nano Lett. 2011, 11, 5274–5278. [Google Scholar] [CrossRef] [PubMed]
- Fan, Y.; Zhao, M.; Wang, Z.; Zhang, X.; Zhang, H. Tunable electronic structures of graphene/boron nitride heterobilayers. Appl. Phys. Lett. 2011, 98, 83103. [Google Scholar] [CrossRef]
- Kaloni, T.P.; Joshi, R.P.; Adhikari, N.P.; Schwingenschlögl, U. Band gap tunning in BN-doped graphene systems with high carrier mobility. Appl. Phys. Lett. 2014, 104, 73116. [Google Scholar] [CrossRef]
- Britnell, L.; Gorbachev, R.V.; Jalil, R.; Belle, B.D.; Schedin, F.; Mishchenko, A.; Georgiou, T.; Katsnelson, M.I.; Eaves, L.; Morozov, S.V.; et al. Field-Effect Tunneling Transistor Based on Vertical Graphene Heterostructures. Science 2012, 335, 947–950. [Google Scholar] [CrossRef] [PubMed]
- Chen, X.; Wu, Y.; Wu, Z.; Han, Y.; Xu, S.; Wang, L.; Ye, W.; Han, T.; He, Y.; Cai, Y.; et al. High-quality sandwiched black phosphorus heterostructure and its quantum oscillations. Nat. Commun. 2015, 6, 7315. [Google Scholar] [CrossRef] [PubMed]
- Das, S.; Gulotty, R.; Sumant, A.V.; Roelofs, A. All Two-Dimensional, Flexible, Transparent, and Thinnest Thin Film Transistor. Nano Lett. 2014, 14, 2861–2866. [Google Scholar] [CrossRef]
- Chan, M.Y.; Komatsu, K.; Li, S.-L.; Xu, Y.; Darmawan, P.; Kuramochi, H.; Nakaharai, S.; Aparecido-Ferreira, A.; Watanabe, K.; Taniguchi, T.; et al. Suppression of thermally activated carrier transport in atomically thin MoS2 on crystalline hexagonal boron nitride substrates. Nanoscale 2013, 5, 9572–9576. [Google Scholar] [CrossRef] [PubMed]
- Amorim, B.; Schiefele, J.; Sols, F.; Guinea, F. Coulomb drag in graphene--boron nitride heterostructures: Effect of virtual phonon exchange. Phys. Rev. B 2012, 86, 125448. [Google Scholar] [CrossRef]
- Wang, J.; Yao, Q.; Huang, C.-W.; Zou, X.; Liao, L.; Chen, S.; Fan, Z.; Zhang, K.; Wu, W.; Xiao, X.; et al. High Mobility MoS2 Transistor with Low Schottky Barrier Contact by Using Atomic Thick h-BN as a Tunneling Layer. Adv. Mater. 2016, 28, 8302–8308. [Google Scholar] [CrossRef]
- Gorbachev, R.V.; Riaz, I.; Nair, R.R.; Jalil, R.; Britnell, L.; Belle, B.D.; Hill, E.W.; Novoselov, K.S.; Watanabe, K.; Taniguchi, T.; et al. Hunting for Monolayer Boron Nitride: Optical and Raman Signatures. Small 2011, 7, 465–468. [Google Scholar] [CrossRef]
- Wang, Z.; Tang, Z.; Xue, Q.; Huang, Y.; Huang, Y.; Zhu, M.; Pei, Z.; Li, H.; Jiang, H.; Fu, C.; et al. Fabrication of Boron Nitride Nanosheets by Exfoliation. Chem. Rec. 2016, 16, 1204–1215. [Google Scholar] [CrossRef]
- Kulikovsky, V.Y.; Shaginyan, L.R.; Vereschaka, V.M.; Hatynenko, N.G. Preparation of thin hard boron nitride films by r.f. magnetron sputtering. Diam. Relat. Mater. 1995, 4, 113–119. [Google Scholar] [CrossRef]
- Sutter, P.; Lahiri, J.; Zahl, P.; Wang, B.; Sutter, E. Scalable Synthesis of Uniform Few-Layer Hexagonal Boron Nitride Dielectric Films. Nano Lett. 2013, 13, 276–281. [Google Scholar] [CrossRef]
- Velázquez, D.; Seibert, R.; Man, H.; Spentzouris, L.; Terry, J. Pulsed laser deposition of single layer, hexagonal boron nitride (white graphene, h-BN) on fiber-oriented Ag(111)/SrTiO3(001). J. Appl. Phys. 2016, 119, 95306. [Google Scholar] [CrossRef]
- Glavin, N.R.; Jespersen, M.L.; Check, M.H.; Hu, J.; Hilton, A.M.; Fisher, T.S.; Voevodin, A.A. Synthesis of few-layer, large area hexagonal-boron nitride by pulsed laser deposition. Thin Solid Film. 2014, 572, 245–250. [Google Scholar] [CrossRef]
- Hao, W.; Marichy, C.; Journet, C.; Brioude, A. A Novel Two-Step Ammonia-Free Atomic Layer Deposition Approach for Boron Nitride. ChemNanoMat 2017, 3, 656–663. [Google Scholar] [CrossRef]
- Sprenger, J.K.; Sun, H.; Cavanagh, A.S.; Roshko, A.; Blanchard, P.T.; George, S.M. Electron-Enhanced Atomic Layer Deposition of Boron Nitride Thin Films at Room Temperature and 100 °C. J. Phys. Chem. C 2018, 122, 9455–9464. [Google Scholar] [CrossRef]
- Mårlid, B.; Ottosson, M.; Pettersson, U.; Larsson, K.; Carlsson, J.-O. Atomic layer deposition of BN thin films. Thin Solid Film. 2002, 402, 167–171. [Google Scholar] [CrossRef]
- Kim, K.K.; Hsu, A.; Jia, X.; Kim, S.M.; Shi, Y.; Hofmann, M.; Nezich, D.; Rodriguez-Nieva, J.F.; Dresselhaus, M.; Palacios, T.; et al. Synthesis of Monolayer Hexagonal Boron Nitride on Cu Foil Using Chemical Vapor Deposition. Nano Lett. 2012, 12, 161–166. [Google Scholar] [CrossRef]
- Singh, R.; Kalita, G.; Mahyavanshi, R.D.; Adhikari, S.; Uchida, H.; Tanemura, M.; Umeno, M.; Kawahara, T. Low temperature wafer-scale synthesis of hexagonal boron nitride by microwave assisted surface wave plasma chemical vapour deposition. Aip Adv. 2019, 9, 35043. [Google Scholar] [CrossRef]
- Yuan, S.; Toury, B.; Journet, C.; Brioude, A. Synthesis of hexagonal boron nitride graphene-like few layers. Nanoscale 2014, 6, 7838–7841. [Google Scholar] [CrossRef]
- Termoss, H.; Toury, B.; Brioude, A.; Dazord, J.; Le Brusq, J.; Miele, P. High purity boron nitride thin films prepared by the PDCs route. Surf. Coat. Technol. 2007, 201, 7822–7828. [Google Scholar] [CrossRef]
- Yuan, S.; Toury, B.; Benayoun, S.; Chiriac, R.; Gombault, F.; Journet, C.; Brioude, A. Low-Temperature Synthesis of Highly Crystallized Hexagonal Boron Nitride Sheets with Li3N as Additive Agent. Eur. J. Inorg. Chem. 2014, 2014, 5507–5513. [Google Scholar] [CrossRef]
- Feigelson, B.N.; Frazier, R.M.; Twigg, M. III-Nitride crystal growth from nitride-salt solution. J. Cryst. Growth 2007, 305, 399–402. [Google Scholar] [CrossRef]
- Wideman, T.; Sneddon, L.G. Convenient Procedures for the Laboratory Preparation of Borazine. Inorg. Chem. 1995, 34, 1002–1003. [Google Scholar] [CrossRef]
- Bernard, S.; Miele, P. Polymer-derived boron nitride: A review on the chemistry, shaping and ceramic conversion of borazine derivatives. Materials 2014, 7, 7436–7459. [Google Scholar] [CrossRef]
- Gervais, C.; Maquet, J.; Babonneau, F.; Duriez, C.; Framery, E.; Vaultier, M.; Florian, P.; Massiot, D. Chemically Derived BN Ceramics: Extensive 11B and 15N Solid-State NMR Study of a Preceramic Polyborazilene. Chem. Mater. 2001, 13, 1700–1707. [Google Scholar] [CrossRef]
- Auwärter, W. Hexagonal boron nitride monolayers on metal supports: Versatile templates for atoms, molecules and nanostructures. Surf. Sci. Rep. 2019, 74, 1–95. [Google Scholar] [CrossRef]
- Zhang, N.; Liu, H.; Kan, H.; Wang, X.; Long, H.; Zhou, Y. The Influence of Surface-Active Agent on the Micro-Morphology and Crystallinity of Spherical Hexagonal Boron Nitride. J. Nanosci. Nanotechnol. 2015, 15, 6218–6224. [Google Scholar] [CrossRef]
- Xue, Y.; Elsanousi, A.; Fan, Y.; Lin, J.; Li, J.; Xu, X.; Lu, Y.; Zhang, L.; Zhang, T.; Tang, C. N,N-Dimethyl formamide facilitated formation of hexagonal boron nitride from boric acid. Solid State Sci. 2013, 24, 1–5. [Google Scholar] [CrossRef]
- Balint, M.G.; Petrescu, M.I. An attempt to identify the presence of polytype stacking faults in hBN powders by means of X-ray diffraction. Diam. Relat. Mater. 2009, 18, 1157–1162. [Google Scholar] [CrossRef]
- Nistor, L.; Teodorescu, V.; Ghica, C.; Van Landuyt, J.; Dinca, G.; Georgeoni, P. The influence of the h-BN morphology and structure on the c-BN growth. Diam. Relat. Mater. 2001, 10, 1352–1356. [Google Scholar] [CrossRef]
- Thomas, J., Jr.; Weston, N.E.; O’connor, T.E. Turbostratic1 Boron Nitride, Thermal Transformation to Ordered-layer-lattice Boron Nitride. J. Am. Chem. Soc. 1962, 84, 4619–4622. [Google Scholar] [CrossRef]
- Watanabe, M.O.; Itoh, S.; Mizushima, K.; Sasaki, T. Bonding characterization of BC2N thin films. Appl. Phys. Lett. 1996, 68, 2962–2964. [Google Scholar] [CrossRef]
- Matsoso, B.J.; Ranganathan, K.; Mutuma, B.K.; Lerotholi, T.; Jones, G.; Coville, N.J. Single-step synthesis of crystalline h-BN quantum- and nanodots embedded in boron carbon nitride films. Nanotechnology 2017, 28. [Google Scholar] [CrossRef] [PubMed]
- Ci, L.; Song, L.; Jin, C.; Jariwala, D.; Wu, D.; Li, Y.; Srivastava, A.; Wang, Z.F.; Storr, K.; Balicas, L.; et al. Atomic layers of hybridized boron nitride and graphene domains. Nat. Mater. 2010, 9, 430. [Google Scholar] [CrossRef] [PubMed]
- Derre, A.; Filipozzi, L.; Peron, F. High temperature behaviour and oxidation resistance of carbon-boron-nitrogen compounds obtained by LPCVD. J. Phys. Iv Fr. 1993, 3, C3-195–C3-202. [Google Scholar] [CrossRef]
- Nicholls, R.J.; Aslam, Z.; Sarahan, M.C.; Koós, A.; Yates, J.R.; Nellist, P.D.; Grobert, N. Boron-Mediated Nanotube Morphologies. Acs Nano 2012, 6, 7800–7805. [Google Scholar] [CrossRef]
- Kang, Y.; Chu, Z.; Zhang, D.; Li, G.; Jiang, Z.; Cheng, H.; Li, X. Incorporate boron and nitrogen into graphene to make BCN hybrid nanosheets with enhanced microwave absorbing properties. Carbon 2013, 61, 200–208. [Google Scholar] [CrossRef]
- Golberg, D.; Bando, Y.; Han, W.; Kurashima, K.; Sato, T. Single-walled B-doped carbon, B/N-doped carbon and BN nanotubes synthesized from single-walled carbon nanotubes through a substitution reaction. Chem. Phys. Lett. 1999, 308, 337–342. [Google Scholar] [CrossRef]
- Ozturk, B.; de-Luna-Bugallo, A.; Panaitescu, E.; Chiaramonti, A.N.; Liu, F.; Vargas, A.; Jiang, X.; Kharche, N.; Yavuzcetin, O.; Alnaji, M.; et al. Atomically thin layers of B–N–C–O with tunable composition. Sci. Adv. 2015, 1, e1500094. [Google Scholar] [CrossRef]
- Kuznetsov, A.Y.; Kruzhalov, A.V.; Ogorodnikov, I.N.; Sobolev, A.B.; Isaenko, L.I. Electronic structure of lithium tetraborate Li2B4O7 crystals. Cluster calculations and x-ray photoelectron spectroscopy. Phys. Solid State 1999, 41, 48–50. [Google Scholar] [CrossRef]
- Singh, L.; Chopra, V.; Lochab, S.P. Synthesis and characterization of thermoluminescent Li2B4O7 nanophosphor. J. Lumin. 2011, 131, 1177–1183. [Google Scholar] [CrossRef]
- Siriwardane, R.V.; Poston, J.A.; Fisher, E.P.; Lee, T.H.; Dorris, S.E.; Balachandran, U. Characterization of ceramic-metal composite hydrogen separation membranes consisting of barium oxide, cerium oxide, yttrium oxide and palladium. Appl. Surf. Sci. 2003, 217, 43–49. [Google Scholar] [CrossRef]
- Verhoeven, J.A.T.; van Doveren, H. XPS studies on Ba, BaO and the oxidation of Ba. Appl. Surf. Sci. 1980, 5, 361–373. [Google Scholar] [CrossRef]
- Ali, S.; Aguas, M.D.; Hector, A.L.; Henshaw, G.; Parkin, I.P. Solid state metathesis routes to metal nitrides; use of strontium and barium nitrides as reagents and dilution effects. Polyhedron 1997, 16, 3635–3640. [Google Scholar] [CrossRef]
- Golberg, D.; Bando, Y.; Huang, Y.; Terao, T.; Mitome, M.; Tang, C.; Zhi, C. Boron Nitride Nanotubes and Nanosheets. Acs Nano 2010, 4, 2979–2993. [Google Scholar] [CrossRef] [PubMed]
- Arenal, R.; Ferrari, A.C.; Reich, S.; Wirtz, L.; Mevellec, J.-Y.; Lefrant, S.; Rubio, A.; Loiseau, A. Raman spectroscopy of single-wall boron nitride nanotubes. Nano Lett. 2006, 6, 1812–1816. [Google Scholar] [CrossRef] [PubMed]
- Stenger, I.; Schué, L.; Boukhicha, M.; Berini, B.; Plaçais, B.; Loiseau, A.; Barjon, J. Low frequency Raman spectroscopy of few-atomic-layer thick hBN crystals. 2d Mater. 2017, 4, 31003. [Google Scholar] [CrossRef]
- Nemanich, R.J.; Solin, S.A.; Martin, R.M. Light scattering study of boron nitride microcrystals. Phys. Rev. B 1981, 23, 6348–6356. [Google Scholar] [CrossRef]
- Djouadi, M.A.; Ilias, S.; Bouchier, D.; Pascallon, J.; Sené, G.; Stambouli, V. Quantitative interpretation of infrared absorption bands from hexagonal, cubic and mixed boron nitride films. Diam. Relat. Mater. 1998, 7, 1657–1662. [Google Scholar] [CrossRef]
- Gielisse, P.J.; Mitra, S.S.; Plendl, J.N.; Griffis, R.D.; Mansur, L.C.; Marshall, R.; Pascoe, E.A. Lattice infrared spectra of boron nitride and boron monophosphide. Phys. Rev. 1967, 155, 1039–1046. [Google Scholar] [CrossRef]
- Geick, R.; Perry, C.H.; Rupprecht, G. Normal modes in hexagonal boron nitride. Phys. Rev. 1966, 146, 543–547. [Google Scholar] [CrossRef]
- Matsuoka, M.; Langhi, M.P., Jr.; Isotani, S.; Chubaci, J.F.D. Fourier transform infrared spectroscopy analysis of thin boron nitride films prepared by ion beam assisted deposition. physica status solidi c 2014, 11, 509–512. [Google Scholar] [CrossRef]
- Rablen, P.R.; Hartwig, J.F. Accurate borane sequential bond dissociation energies by high-level ab initio computational methods. J. Am. Chem. Soc. 1996, 118, 4648–4653. [Google Scholar] [CrossRef]
- Darwent, B.D. National Standard Reference Data Series, National Bureau of Standards. J. Chem. Educ. Wash. Dc 1965, 42, 502. [Google Scholar]
- Luo, Y.R. Comprehensive handbook of chemical bond energies. Compr. Handb. Chem. Bond Energ. 2007, 1–1656. [Google Scholar]
- Németh, K. Ultrahigh energy density Li-ion batteries based on cathodes of 1D metals with -Li-N-B-N- repeating units in α-LixBN2 (1 ≤ x ≤ 3). J. Chem. Phys. 2014, 141, 1–7. [Google Scholar] [CrossRef]
- Sahni, K.; Ashuri, M.; Emani, S.; Kaduk, J.A.; Németh, K.; Shaw, L.L. On the synthesis of lithium boron nitride (Li3BN2). Ceram. Int. 2018, 44, 7734–7740. [Google Scholar] [CrossRef]
- Oda, K.; Aoki, K.; Inada, S.; Nagae, M.; Yoshio, T. Oxidation of boron nitride powder in wet oxygen. J. Ceram. Soc. Jpn. 2003, 111, 81–82. [Google Scholar] [CrossRef]
- Jacobson, N.; Farmer, S.; Moore, A.; Sayir, H. High-Temperature Oxidation of Boron Nitride: I, Monolithic Boron Nitride. J. Am. Ceram. Soc. 1999, 82, 393–398. [Google Scholar] [CrossRef]
- Lavrenko, V.A.; Alexeev, A.F. High-temperature oxidation of boron nitride. Ceram. Int. 1986, 12, 25–31. [Google Scholar] [CrossRef]
- Kostoglou, N.; Polychronopoulou, K.; Rebholz, C. Thermal and chemical stability of hexagonal boron nitride (h-BN) nanoplatelets. Vacuum 2015, 112, 42–45. [Google Scholar] [CrossRef]
- Xu, L.; Li, S.; Zhang, Y.; Zhai, Y. Synthesis, properties and applications of nanoscale nitrides, borides and carbides. Nanoscale 2012, 4, 4900–4915. [Google Scholar] [CrossRef] [PubMed]
- Scheer, M.D. The molecular weight and vapor pressure of gaseous boron suboxide. J. Phys. Chem. 1958, 62, 490–493. [Google Scholar] [CrossRef]
- Nguyen, M.T.; Matus, M.H.; Ngan, V.T.; Grant, D.J.; Dixon, D.A. Thermochemistry and Electronic Structure of Small Boron and Boron Oxide Clusters and Their Anions. J. Phys. Chem. A 2009, 113, 4895–4909. [Google Scholar] [CrossRef] [PubMed]
- Inghram, M.G.; Porter, R.F.; Chupka, W.A. Mass Spectrometric Study of Gaseous Species in the B–B2O3 System. J. Chem. Phys. 1956, 25, 498–501. [Google Scholar] [CrossRef]
- Sing, K.S.W.; Everet, D.H.; Haul, R.A.W. Provisional international union of pure and applied chemistry commission on colloid and surface chemistry subcommittee on reporting gas adsorption data * reporting physisorption data for gas / solid systems with Special Reference to the Determination of S. Pure Appl. Chem. 1985, 57, 603–619. [Google Scholar] [CrossRef]
- Gregg, S.J.; Sing, K.S.W.; Salzberg, H.W. Adsorption Surface Area and Porosity. J. Electrochem. Soc. 1967, 114, 279C. [Google Scholar] [CrossRef]
- Pakdel, A.; Zhi, C.; Bando, Y.; Nakayama, T.; Golberg, D. A comprehensive analysis of the CVD growth of boron nitride nanotubes. Nanotechnology 2012, 23, 215601. [Google Scholar] [CrossRef]
- Şen, Ö.; Emanet, M.; Çulha, M. One-Step Synthesis of Hexagonal Boron Nitrides, Their Crystallinity and Biodegradation. Front. Bioeng. Biotechnol. 2018, 6, 83. [Google Scholar] [CrossRef]






| Amount of BaF2 (wt%) | Graphitization Index (GI) | d002-spacing (Å) | Position (2θ) | ||
|---|---|---|---|---|---|
| (002) | (100) | (101) | |||
| 0 | - | 3.32 | 26.5 | - | - |
| 2.5 | - | 3.34 | 26.6 | - | - |
| 5 | 3.83 | 3.33 | 26.7 | 41.57 | 43.83 |
| 10 | 1.88 | 3.34 | 26.8 | 41.56 | 43.81 |
| hBNcomm | 1.19 | 3.33 | 26.7 | 41.60 | 43.83 |
| Elements (at%) | B/N Ratio | |||||
|---|---|---|---|---|---|---|
| Amount of BaF2 (wt%) | B | N | O | Li | Ba | |
| 0 | 50.3 | 31.1 | 13.8 | 4.8 | - | 1.62 |
| 2.5 | 52.3 | 31.9 | 9.9 | 5.3 | 0.5 | 1.64 |
| 5 | 56.9 | 36.3 | 5.8 | 1.0 | - | 1.57 |
| 10 | 57.3 | 38.1 | 3.4 | 0.9 | 0.2 | 1.50 |
© 2020 by the authors. Licensee MDPI, Basel, Switzerland. This article is an open access article distributed under the terms and conditions of the Creative Commons Attribution (CC BY) license (http://creativecommons.org/licenses/by/4.0/).
Share and Cite
Matsoso, B.J.; Vuillet-a-Ciles, V.; Bois, L.; Toury, B.; Journet, C. Improving Formation Conditions and Properties of hBN Nanosheets Through BaF2-assisted Polymer Derived Ceramics (PDCs) Technique. Nanomaterials 2020, 10, 443. https://doi.org/10.3390/nano10030443
Matsoso BJ, Vuillet-a-Ciles V, Bois L, Toury B, Journet C. Improving Formation Conditions and Properties of hBN Nanosheets Through BaF2-assisted Polymer Derived Ceramics (PDCs) Technique. Nanomaterials. 2020; 10(3):443. https://doi.org/10.3390/nano10030443
Chicago/Turabian StyleMatsoso, Boitumelo J., Victor Vuillet-a-Ciles, Laurence Bois, Bérangère Toury, and Catherine Journet. 2020. "Improving Formation Conditions and Properties of hBN Nanosheets Through BaF2-assisted Polymer Derived Ceramics (PDCs) Technique" Nanomaterials 10, no. 3: 443. https://doi.org/10.3390/nano10030443
APA StyleMatsoso, B. J., Vuillet-a-Ciles, V., Bois, L., Toury, B., & Journet, C. (2020). Improving Formation Conditions and Properties of hBN Nanosheets Through BaF2-assisted Polymer Derived Ceramics (PDCs) Technique. Nanomaterials, 10(3), 443. https://doi.org/10.3390/nano10030443

