Reduced Graphene Oxide Sheets as Inhibitors of the Photochemical Reactions of α-Lipoic Acid in the Presence of Ag and Au Nanoparticles
Abstract
1. Introduction
2. Materials and Methods
3. Results and Discussion
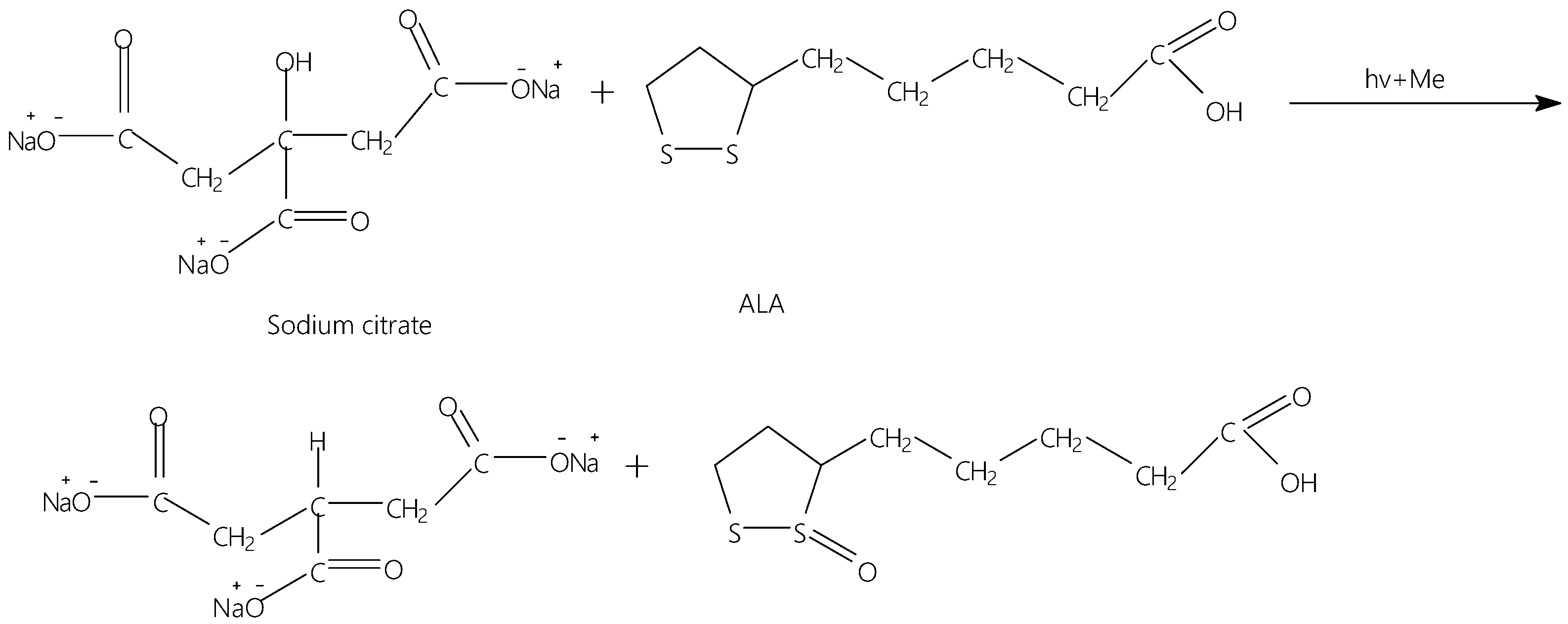
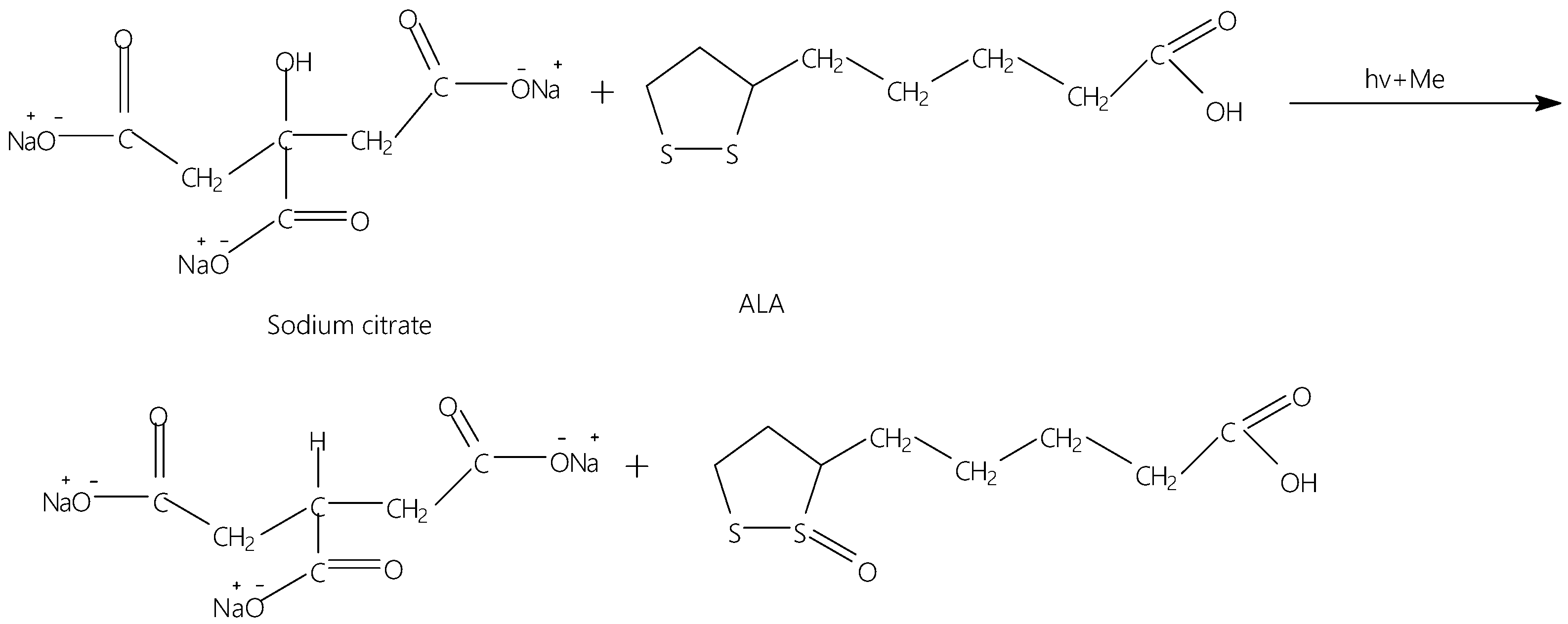
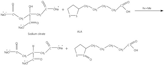
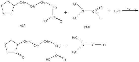
3.1. The Photodegradation of ALA Highlighted by UV-VIS Spectroscopy
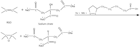
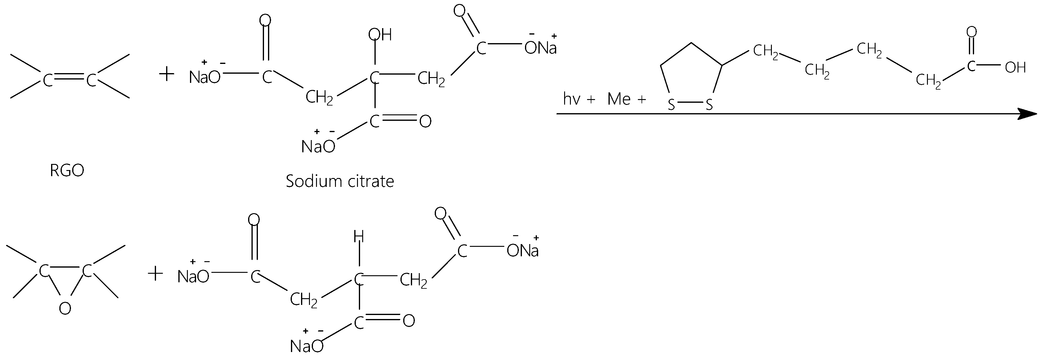
3.2. The RGO Sheets as Inhibitors of the ALA Photodegradation Highlighted by UV-VIS Spectroscopy
3.3. Raman Scattering and SERS Spectroscopy Studies on ALA
3.4. HRTEM and AFM Studies
4. Conclusions
Author Contributions
Funding
Acknowledgments
Conflicts of Interest
References
- Durrani, A.; Schwartz, H.; Nagl, M.; Sontag, G. Determination of free [alpha]-lipoic acid in foodstuffs by HPLC coupled with CEAD and ESI-MS. Food Chem. 2010, 120, 38329–38336. [Google Scholar] [CrossRef]
- Ziegle, D.; Reljanovic, M.; Mehnert, H.; Gries, F.A. α-lipoic acid in treatment of diabetic polyneuropathy in Germany. Exp. Clin. Endocr. Diab. 1999, 107, 421–430. [Google Scholar] [CrossRef]
- Shay, K.P.; Moreau, R.F.; Smith., E.J.; Smith, A.R.; Hagen, T.M. Alpha-lipoic acid as a dietary supplement. Molecular mechanism and therapeutic potential. Biochim. Biophys. Acta (BBA)-Gen. Subj. 2009, 1790, 1149–1160. [Google Scholar] [CrossRef] [PubMed]
- Namazi, N.; Larijani, B.; Azadbakht, L. Alpha-lipoic acid supplement in obesity treatment: A systematic review and meta-analysis of clinical trials. Clin. Nutr. 2018, 37, 419–428. [Google Scholar] [CrossRef]
- Packer, L.; Witt, E.H.; Tritschler, H.J. Alpha-lipoic acid as a biological antioxidant. Free Radical Bio. Med. 1995, 19, 227–250. [Google Scholar] [CrossRef]
- Ikuta, N.; Tanaka, A.; Otsubo, A.; Ogawa, N.; Yamamoto, H.; Mizukami, T.; Arai, S.; Okuno, M.; Terao, K.; Matsugo, S. Spectroscopic studies of R (+)-α-lipoic acid-cyclodextrin complex. Int. J. Mol. Sci. 2014, 15, 20469–20485. [Google Scholar] [CrossRef]
- Busby, R.W.; Schelvis, J.P.M.; Yu, D.S.; Babcock, G.T.; Marletta, M.A. Lipoic acid biosynthesis: Lip A is an iron-sulfur protein. J. Am. Chem. Soc. 1999, 121, 4706–4707. [Google Scholar] [CrossRef]
- Miranda, M.P.; de Rio, R.; del Valle, M.A.; Faundez, M.; Armijo, F. Use of fluorine-doped tin oxide electrodes for lipoic acid determination in dietary supplements. J. Electroanaly. Chem. 2012, 668, 1–6. [Google Scholar] [CrossRef]
- Charoenkitamorn, K.; Chaiyo, S.; Chailapakul, W.; Siangproh, W. Low-cost and disposable sensors for the simultaneous determination of coenzyme Q10 and α-lipoic acid using manganese (IV) oxide – modified screen-printed graphene electrodes. Anal. Chem. Acta 2018, 104, 22–31. [Google Scholar] [CrossRef]
- Inoue, T.; Sudo, M.; Yoshida, H.; Todoroki, K.; Nohta, H.; Yamaguchi, M. Liquid chromatographic determination of polythiols based on pre-colum excimer fluorescence derivatization and its application to α-lipoic acid analysis. J. Chromatogr. A 2009, 1216, 7564–7569. [Google Scholar] [CrossRef]
- Ruiz-Jimez, J.; Friego-capote, F.; Mata-Granados, J.M.; Quesda, J.M.; Luque de Castro, M.D. Determination of the ubiquinol-10 and ubiquinone-10 (coenzyme A10) in human serum by liquid chromatography tandem mass spectrometry to evaluate the oxidative stress. J. Chromatogr. A 2007, 1175, 242–248. [Google Scholar] [CrossRef] [PubMed]
- Vaishnav, S.K.; Patel, K.; Chandraker, K.; Korram, J.; Nagwanshi, R.; Ghosh, K.K.; Satnami, M.L. Surface plasmons resonance based spectrophotometric determination of medicinally important thiol compounds using unmodified silver nanoparticles. Spectroc. Acta Pt. A Molec. Biomolec. Spectr. 2017, 179, 155–164. [Google Scholar] [CrossRef] [PubMed]
- Sun, J.; Guo, L.; Bao, J.; Xie, J. A simple, label-free AuNPs—Based colorimetric ultrasensitive detection of nerve agents and highly toxic organophosphate pesticide. Biosens. Bioelectron. 2011, 28, 152–157. [Google Scholar] [CrossRef] [PubMed]
- Raether, H. Surface Plasmons on Smooth and Rough Surfaces and Gratings; Springer Tracts in Modern Physics: Spinger, Berlin, 1988. [Google Scholar]
- Lefrant, S.; Baltog, I.; Lamy de la Chapelle, M.; Baibarac, M.; Louarn, G.; Journet, C.; Bernier, P. Structural properties of some conducting polymers and carbon nanotubes investigated by SERS spectroscopy. Synth. Met. 1999, 100, 13–27. [Google Scholar] [CrossRef]
- Agnihotri, S.; Mukherje, S.; Mukherji, S. Size-controlled silver nanoparticles synthesized over the range 5-100 nm using the same protocol and their antibacterial efficacy. RSC Adv. 2014, 4, 3974–3983. [Google Scholar] [CrossRef]
- Piella, J.; Bastus, N.G.; Puntes, V. Size-controlled synthesis of sub-10-nanometer citrate-stabilized gold nanoparticles and related optical properties. Chem. Mater. 2016, 28, 1066–1075. [Google Scholar] [CrossRef]
- Li, M.; Guo, X.; Wang, H.; Wen, Y.; Yang, H. Rapid and label-free Raman detection of azadicarbonamide with asthma risk. Sens. Actuator B-Chem. 2015, 216, 535–541. [Google Scholar] [CrossRef]
- Perrault, S.D.; Chan, W.C.W. Synthesis and surface modified of highly monodispersed spherical gold nanoparticles of 50-200 nm. J. Am. Chem. Soc. 2009, 131, 17042–17043. [Google Scholar] [CrossRef]
- Baibarac, M.; Lapkowski, M.; Pron, A.; Lefrant, S.; Baltog, I. SERS spectra of poly(3-hexylthiophene) in oxidized and unoxidized states. J. Raman Spectrosc. 1998, 29, 825–832. [Google Scholar] [CrossRef]
- Sadovnikov, S.I.; Gusev, A.I. Recent progress in nanostructured silver sulfide: from synthesis and nonstoichiometry to properties. J. Mater. Chem. A 2017, 5, 17676–17704. [Google Scholar] [CrossRef]
- Potter, P.M.; Navratilova, J.; Rogers, K.R.; Al-Abed, S.R. Transofrmation of silver nanoparticle consumer products during simulated usage and disposal. Environ. Sci. Nano 2019, 6, 592–598. [Google Scholar] [CrossRef] [PubMed]
- Walter, M.; Akola, J.; Lopez-Acevedo, O.; Jadzinsky, P.D.; Calero, G.; Ackerson, C.J.; Whetten, R.L.; Grönbeck, H.; Häkkinen, H. A unified view of ligand-protected gold clusters as superatom complexes. Proc. Natl. Acad. Sci. USA 2008, 105, 9157–9162. [Google Scholar] [CrossRef] [PubMed]
- Cheng, L.; Ren, C.; Zhang, X.; Yang, J. New insight into the electronic shell of Au38(SR)24: A superatomic molecule. Nanoscale 2013, 5, 1475–1478. [Google Scholar] [CrossRef] [PubMed]
- Bryant, M.A.; Pemberton, J.E. Surface Raman scattering of self-assembled monolayers formed from 1-alkanethiols: behavior of films at Au and comparison to films at Ag. J. Am. Chem. Soc. 1991, 113, 8284–8293. [Google Scholar] [CrossRef]
- Laurent, G.; Felidj, N.; Aubard, J.; Levi, G. Evidence of multipolar excitations in surface enhanced Raman scattering. Phys. Rev. B 2005, 71, 045430. [Google Scholar] [CrossRef]


















Publisher’s Note: MDPI stays neutral with regard to jurisdictional claims in published maps and institutional affiliations. |
© 2020 by the authors. Licensee MDPI, Basel, Switzerland. This article is an open access article distributed under the terms and conditions of the Creative Commons Attribution (CC BY) license (http://creativecommons.org/licenses/by/4.0/).
Share and Cite
Toulbe, N.; Stroe, M.S.; Daescu, M.; Cercel, R.; Mogos, A.; Dragoman, D.; Socol, M.; Mercioniu, I.; Baibarac, M. Reduced Graphene Oxide Sheets as Inhibitors of the Photochemical Reactions of α-Lipoic Acid in the Presence of Ag and Au Nanoparticles. Nanomaterials 2020, 10, 2238. https://doi.org/10.3390/nano10112238
Toulbe N, Stroe MS, Daescu M, Cercel R, Mogos A, Dragoman D, Socol M, Mercioniu I, Baibarac M. Reduced Graphene Oxide Sheets as Inhibitors of the Photochemical Reactions of α-Lipoic Acid in the Presence of Ag and Au Nanoparticles. Nanomaterials. 2020; 10(11):2238. https://doi.org/10.3390/nano10112238
Chicago/Turabian StyleToulbe, N’ghaya, Malvina S. Stroe, Monica Daescu, Radu Cercel, Alin Mogos, Daniela Dragoman, Marcela Socol, Ionel Mercioniu, and Mihaela Baibarac. 2020. "Reduced Graphene Oxide Sheets as Inhibitors of the Photochemical Reactions of α-Lipoic Acid in the Presence of Ag and Au Nanoparticles" Nanomaterials 10, no. 11: 2238. https://doi.org/10.3390/nano10112238
APA StyleToulbe, N., Stroe, M. S., Daescu, M., Cercel, R., Mogos, A., Dragoman, D., Socol, M., Mercioniu, I., & Baibarac, M. (2020). Reduced Graphene Oxide Sheets as Inhibitors of the Photochemical Reactions of α-Lipoic Acid in the Presence of Ag and Au Nanoparticles. Nanomaterials, 10(11), 2238. https://doi.org/10.3390/nano10112238

