The Influence of Synthesis Parameters on Structural and Magnetic Properties of Iron Oxide Nanomaterials
Abstract
1. Introduction
2. Materials and Methods
2.1. Hydrothermal Synthesis of Hematite
2.2. Characterization Methods
3. Results and Discussion
3.1. X-Ray Diffraction (XRD) Characterization
3.2. FT-IR Analysis
3.3. Optical Microscopy Characterization (OM)
3.4. SEM-EDS Characterization
3.5. DSC Analysis
3.6. Complex Thermal Analysis Characterization (DSC-TG)
3.7. Morpho-Structural Characterization of Thermally Treated Samples
3.7.1. XRD Characterization
3.7.2. Optical Microscopy Characterization
3.7.3. SEM-EDS Characterization
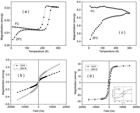
3.8. Magnetic Characterization
4. Conclusions
Author Contributions
Funding
Conflicts of Interest
References
- Magro, M.; Vianello, F. Bare iron oxide nanoparticles: Surface tunability for biomedical, sensing and environmental applications. Nanomaterials 2019, 9, 1608. [Google Scholar] [CrossRef] [PubMed]
- Mai, T.; Hilt, J.Z. Functionalization of iron oxide nanoparticles with small molecules and the impact on reactive oxygen species generation for potential cancer therapy. Colloid Surf. A 2019, 576, 9–14. [Google Scholar] [CrossRef]
- Morel, M.J.; Mosquera, E.; Sáez, P. Surface modification and polymerization on iron oxide nanoparticles obtained from mineral magnetite. Surf. Interfaces 2019, 17, 100349. [Google Scholar] [CrossRef]
- Gupta, A.K.; Gupta, M. Synthesis and surface engineering of iron oxide nanoparticles for biomedical applications. Biomaterials 2005, 26, 3995–4021. [Google Scholar] [CrossRef]
- Rabinca, A.; Buleandra, M.; Tache, F.; Mihailciuc, C.; Ciobanu, A.; Stefanescu, D.; Ciucu, A. Voltammetric method for simultaneous determination of L-dopa and benserazide. Curr. Anal. Chem. 2017, 13, 218–224. [Google Scholar] [CrossRef]
- Ciobanu, A.M.; Popa, C.; Marcu, M.; Ciobanu, C.F. Psychotic depression due to giant condyloma Buschke-Löwenstein tumors. Rom. J. Morphol. Embryol. 2014, 55, 189–195. [Google Scholar]
- González-Gómez, M.A.; Belderbos, S.; Yañez-Vilar, S.; Piñeiro, Y.; Cleeren, F.; Bormans, G.; Deroose, C.M.; Gsell, W.; Himmelreich, U.; Rivas, J. Development of superparamagnetic nanoparticles coated with polyacrylic acid and aluminum hydroxide as an efficient contrast agent for multimodal imaging. Nanomaterials 2019, 9, 1626. [Google Scholar] [CrossRef]
- Kirubha, S.P.A.; Rajput, A. Enhancement of thermal imaging by iron oxide nanoparticle—Preliminary study. Biocatal. Agric. Biotechnol. 2019, 17, 352–360. [Google Scholar] [CrossRef]
- Abd Elrahman, A.A.; Mansour, F.R. Targeted magnetic iron oxide nanoparticles: Preparation, functionalization and biomedical application. J. Drug Deliv. Sci. Technol. 2019, 52, 702–712. [Google Scholar] [CrossRef]
- Roca, A.G.; Gutiérrez, L.; Gavilán, H.; Brollo, M.E.F.; Veintemillas-Verdaguer, S.; Morales, M.D. Design strategies for shape-controlled magnetic iron oxide nanoparticles. Adv. Drug Deliv. Rev. 2019, 138, 68–104. [Google Scholar] [CrossRef]
- Liyanage, P.Y.; Hettiarachchi, S.D.; Zhou, Y.Q.; Ouhtit, A.; Seven, E.S.; Oztan, C.Y.; Celik, E.; Leblanc, R.M. Nanoparticle-mediated targeted drug delivery for breast cancer treatment. BBA Rev. Cancer 2019, 1871, 419–433. [Google Scholar] [CrossRef] [PubMed]
- Hola, K.; Markova, Z.; Zoppellaro, G.; Tucek, J.; Zboril, R. Tailored functionalization of iron oxide nanoparticles for MRI, drug delivery, magnetic separation and immobilization of biosubstances. Biotechnol. Adv. 2015, 33, 1162–1176. [Google Scholar] [CrossRef] [PubMed]
- Mahmoudi, M.; Sant, S.; Wang, B.; Laurent, S.; Sen, T. Superparamagnetic iron oxide nanoparticles (SPIONs): Development, surface modification and applications in chemotherapy. Adv. Drug Deliv. Rev. 2011, 63, 24–46. [Google Scholar] [CrossRef] [PubMed]
- Hu, H.; Yuan, Y.; Lim, S.; Wang, C.H. Phase structure dependence of magnetic behaviour in iron oxide nanorods. Mater. Des. 2020, 185, 108241. [Google Scholar] [CrossRef]
- Nikitin, A.; Khramtsov, M.; Garanina, A.; Mogilnikov, P.; Sviridenkova, N.; Shchetinin, I.; Savchenko, A.; Abakumov, M.; Majouga, A. Synthesis of iron oxide nanorods for enhanced magnetic hyperthermia. J. Magn. Magn. Mater. 2019, 469, 443–449. [Google Scholar] [CrossRef]
- Rybka, J.D. Radiosensitizing properties of magnetic hyperthermia mediated by superparamagnetic iron oxide nanoparticles (SPIONs) on human cutaneous melanoma cell lines. Rep. Pract. Oncol. Radiother. 2019, 24, 152–157. [Google Scholar] [CrossRef]
- Oliveira, A.; Hneda, M.L.; Fernandez-Outon, L.E.; De Sousa, E.M.B.; Ardisson, J.D. Synthesis and characterization of nanocomposites based on rare-earth orthoferrites and iron oxides for magnetic hyperthermia applications. Ceram. Int. 2019, 45, 17920–17929. [Google Scholar] [CrossRef]
- Yasemian, A.R.; Kashi, M.A.; Ramazani, A. Surfactant-free synthesis and magnetic hyperthermia investigation of iron oxide (Fe3O4) nanoparticles at different reaction temperatures. Mater. Chem. Phys. 2019, 230, 9–16. [Google Scholar] [CrossRef]
- Abenojar, E.C.; Wickramasinghe, S.; Bas-Concepcion, J.; Samia, A.C.S. Structural effects on the magnetic hyperthermia properties of iron oxide nanoparticles. Prog. Nat. Sci. Mater. 2016, 26, 440–448. [Google Scholar] [CrossRef]
- Soares, P.I.P.; Laia, C.A.T.; Carvalho, A.; Pereira, L.C.J.; Coutinho, J.T.; Ferreira, I.M.M.; Novo, C.M.M.; Borges, J.P. Iron oxide nanoparticles stabilized with a bilayer of oleic acid for magnetic hyperthermia and MRI applications. Appl. Surf. Sci. 2016, 383, 240–247. [Google Scholar] [CrossRef]
- Ebrahimisadr, S.; Aslibeiki, B.; Asadi, R. Magnetic hyperthermia properties of iron oxide nanoparticles: The effect of concentration. Phys. C 2018, 549, 119–121. [Google Scholar] [CrossRef]
- Elsayed, W.E.M.; Al-Hazmi, F.S.; Memesh, L.S.; Bronstein, L.M. A novel approach for rapid green synthesis of nearly mono-disperse iron oxide magnetic nanocubes with remarkable surface magnetic anisotropy density for enhancing hyperthermia performance. Colloid Surf. A 2017, 529, 239–245. [Google Scholar] [CrossRef]
- Gyergyek, S.; Makovec, D.; Jagodič, M.; Drofenik, M.; Schenk, K.; Jordan, O.; Kovac, J.; Drazic, G.; Hofmann, H. Hydrothermal growth of iron oxide NPs with a uniform size distribution for magnetically induced hyperthermia: Structural, colloidal and magnetic properties. J. Alloy. Compd. 2017, 694, 261–271. [Google Scholar] [CrossRef]
- Wu, W.; He, Q.; Jiang, C. Magnetic iron oxide nanoparticles: Synthesis and surface functionalization strategies. Nanoscale Res. Lett. 2008, 3, 397–415. [Google Scholar] [CrossRef] [PubMed]
- Miola, M.; Ferraris, S.; Pirani, F.; Multari, C.; Bertone, E.; Žužek Rožman, K.; Kostevšek, N.; Verné, E. Reductant-free synthesis of magnetoplasmonic iron oxide-gold nanoparticles. Ceram. Int. 2017, 43, 15258–15265. [Google Scholar] [CrossRef]
- Gholamia, L.; Kazemi Oskueeb, R.; Tafaghodic, M.; Ramezani Farkhanic, A.; Darroudid, M. Green facile synthesis of low-toxic superparamagnetic iron oxide nanoparticles (SPIONs) and their cytotoxicity effects toward Neuro2A and HUVEC cell lines. Ceram. Int. 2018, 44, 9263–9268. [Google Scholar] [CrossRef]
- Buchman, J.T.; Pho, T.; Rodriguez, R.S.; Feng, Z.V.; Haynes, C.L. Coating iron oxide nanoparticles with mesoporous silica reduces their interaction and impact on S. oneidensis MR-1. Chemosphere 2019, 237, 124511. [Google Scholar] [CrossRef]
- Tadic, M.; Kralj, S.; Kopanja, L. Synthesis, particle shape characterization, magnetic properties and surface modification of superparamagnetic iron oxide nanochains. Mater. Charact. 2019, 148, 123–133. [Google Scholar] [CrossRef]
- Ghasemi, A.; Jafari, S.; Saeidi, J.; Mohtashami, M.; Salehi, I. Synthesis and characterization of polyglycerol coated superparamagnetic iron oxide nanoparticles and cytotoxicity evaluation on normal human cell lines. Colloid Surf. A 2018, 551, 128–136. [Google Scholar] [CrossRef]
- Medeiros, S.F.; Filizzola, J.O.C.; Fonseca, V.F.M.; Oliveira, P.F.M.; Silva, T.M.; Elaissari, A.; Santos, A.M. Synthesis and characterization of stable aqueous dispersion of functionalized double-coated iron oxide nanoparticles. Mater. Lett. 2015, 160, 522–525. [Google Scholar] [CrossRef]
- Ruan, C.; Wang, J.; Gao, M.; Zhao, G. The influence of structural size on thermal stability in single crystalline hematite uniform nano/micro-cubes. Mater. Chem. Phys. 2016, 183, 158–164. [Google Scholar] [CrossRef]
- Lee, J.; Kwon, S.G.; Park, J.G.; Hyeon, T. Size dependence of metal–insulator transition in stoichiometric Fe3O4 nanocrystals. Nano Lett. 2015, 15, 4337–4342. [Google Scholar] [CrossRef] [PubMed]
- Li, M.; Altman, E.I. Cluster-size dependent phase transition of Co oxides on Au(111). Surf. Sci. 2014, 619, L6–L10. [Google Scholar] [CrossRef]
- Mondal, R.A.; Murty, B.S.; Murthy, V.R.K. Grain size dependent phase transition and superparaelectric behavior of ferroelectric BST. Phys. B 2015, 461, 10–16. [Google Scholar] [CrossRef]
- Zhu, C.B.; Gu, L.; Suo, L.; Popovic, J.; Li, H.; Ikuhara, Y.; Maier, J. Size-dependent staging and phase transition in LiFePO4/FePO4. Adv. Funct. Mater. 2014, 24, 312–318. [Google Scholar] [CrossRef]
- Yan, X.Z.; Ren, X.T.; He, D.; Chen, B.; Yang, W. Mechanical behaviors and phase transition of Ho2O3 nanocrystals under high pressure. J. Appl. Phys. 2014, 116, 033507. [Google Scholar] [CrossRef]
- Zhang, S.X.; Kim, I.S.; Lauhon, L.J. Stoichiometry engineering of monoclinic to rutile phase transition in suspended single crystalline vanadium dioxide nanobeams. Nano Lett. 2011, 11, 1443–1447. [Google Scholar] [CrossRef]
- Spencer, E.C.; Ross, N.L.; Olsen, R.E.; Huang, B.; Kolesnikov, A.I.; Woodfield, B.F. Thermodynamic properties of α-Fe2O3 and Fe3O4 nanoparticles. J. Phys. Chem. C 2015, 119, 9609–9616. [Google Scholar] [CrossRef]
- Paolone, A.; Angelucci, M.; Panero, S.; Betti, M.G.; Mariani, C. Thermal stability and reduction of iron oxide nanowires at moderate temperatures. Beilstein J. Nanotechnol. 2014, 5, 323–328. [Google Scholar] [CrossRef]
- Cendrowski, K.; Sikora, P.; Zielinska, B.; Horszczaruk, E.; Mijowska, E. Chemical and thermal stability of core-shelled magnetite nanoparticles and solid silica. Appl. Surf. Sci. 2017, 407, 391–397. [Google Scholar] [CrossRef]
- Barnakov, Y.A.; Yu, M.H.; Rosenzweig, Z. Manipulation of the magnetic properties of magnetite silica nanocomposite materials by controlled stober synthesis. Langmuir 2005, 21, 7524–7527. [Google Scholar] [CrossRef] [PubMed]
- Kalska-Szostko, B.; Wykowska, U.; Satula, D.; Nordblad, P. Thermal treatment of magnetite nanoparticles. Beilstein J. Nanotechnol. 2015, 6, 1385–1396. [Google Scholar] [CrossRef] [PubMed]
- Popescu, M.; Piticescu, R.M.; Vasile, E.; Taloi, D.; Petriceanu, M.; Stoiciu, M.; Badilita, V. The influence of synthesis parameters on FeO(OH)/Fe2O3 formation by hydrothermal techniques. Z. Nat. B 2010, 65, 1024–1032. [Google Scholar] [CrossRef]
- Buchner, M.; Höfler, K.; Henne, B.; Ney, V.; Ney, A. Tutorial: Basic principles, limits of detection, and pitfalls of highly sensitive SQUID magnetometry for nanomagnetism and spintronics. J. Appl. Phys. 2018, 124, 161101. [Google Scholar] [CrossRef]
- Kuncser, V.; Palade, P.; Kuncser, A.; Greculeasa, S.; Schinteie, G. Size Effects in Nanostructures Basics and Applications; Springer: Berlin/Heidelberg, Germany, 2014; pp. 169–237. [Google Scholar]
- Water Structure and Science. Available online: http://www1.lsbu.ac.uk/water/physical_anomalies.html (accessed on 16 November 2019).
- Cornell, R.M.; Schwertmann, U. The Iron Oxides: Structure, Properties, Reactions, Occurences and Uses; Wiley-VCH Verlag GmbH & Co. KGaA: Weinheim, Germany, 2003; pp. 365–382. [Google Scholar]
- Betancur, A.F.; Pérez, F.R.; Del Mar Correa, M.; Barrero, C.A. Quantitative approach in iron oxides and oxihydroxides by vibrational analysis. Opt. Pura Apl. 2012, 45, 269–275. [Google Scholar] [CrossRef]
- Lu, B. Surface Reactivity of Hematite Nanoparticles. Master’s Thesis, Umeå University, Umeå, Sweden, 2014. [Google Scholar]
- Ramdohr, P. The Ore Minerals and Their Intergrowths, 1st ed.; Pergamon Press: Braunschweig, Germany, 1969; pp. 878–1074. [Google Scholar]
- Winchell, A.N. Elements of Optical Microscopy: An Introduction to Microscopic Petrography; John Wiley & Sons: New York, NY, USA, 1965; pp. 62–136. [Google Scholar]
- Petruk, W. Applied Mineralogy in the Mining Industry; Elsevier: Ottawa, ON, Canada, 2000; pp. 149–183. [Google Scholar]
- Ianovici, V.; Stiopol, V.; Constantinescu, E. Mineralogie; Editura Didactica si Pedagogica: Bucuresti, Romania, 1979. [Google Scholar]
- Fouad, D.E.; Zhang, C.; El-Didamony, H.; Yingnan, L.; Mekuria, T.D.; Shah, A.H. Improved size, morphology and crystallinity of hematite (α-Fe2O3) nanoparticles synthesized via the precipitation route using ferric sulfate precursor. Results Phys. 2019, 12, 1253–1261. [Google Scholar] [CrossRef]
- Smykatz-Kloss, W. Differential Thermal Analysis: Application and Results in Mineralogy; Springer Science & Business Media: Berlin, Germany, 2012. [Google Scholar]
- Greenwood, N.N.; Gibb, T.G. Mössbauer Spectroscopy; Chapman and Hall Ltd.: London, UK, 1971. [Google Scholar]
- Sandu, V.; Nicolescu, M.S.; Kuncser, V.; Popa, S.; Pasuk, I.; Ghica, G.; Sandu, E. Structure and magnetic properties of nanosized magnetite obtianed by glass recrystallization. J. Nanosci. Nanotechnol. 2012, 12, 1–8. [Google Scholar] [CrossRef]













| Sample Name | Synthesis Conditions | Material Structure | Fe, wt% |
|---|---|---|---|
| NV4 | 200 °C/3 h/20 bar | hematite | 68.87 |
| NV5 | 200 °C/3 h/60 bar | hematite | 68.41 |
| NV6 | 200 °C/3 h/100 bar | hematite | 68.32 |
| NV7 | 100 °C/3 h/1000 bar | hematite/goethite | 61.74 |
| Sample | Crystallite Size (Scherrer), nm | The Crystalline Phase Identified by XRD; Phase Content * | Formula | PDF References |
|---|---|---|---|---|
| NV4 | 36 | 100% Hematite | Fe2O3 | 01-089-0599 |
| NV5 | 32 | 100% Hematite | Fe2O3 | 01-089-0599 |
| NV6 | 37 22 | 96.7% Hematite 3.3% Goethite | Fe2O3 FeO(OH) | 01-089-0599 01-081-0464 (I) |
| NV7 | 33 25 | ~66% Hematite ~34% Goethite | Fe2O3 FeO(OH) | 01-077-9924 (*) 00-029-0713 (I) |
| Sample | Peak 1 | Peak 2 | Peak 3 | Peak 4 | Peak 5 | |||||
|---|---|---|---|---|---|---|---|---|---|---|
| T, °C | ΔH, J/g | T, °C | ΔH, J/g | T, °C | ΔH, J/g | T, °C | ΔH, J/g | T, °C | ΔH, J/g | |
| NV4 | 39.7 | 2.4 | 148.6 | 0.97 | 308.7 | −10.7 | 478.9 | −4.56 | ||
| NV5 | 40.7 | 2.05 | 67.1 | 1.6 | 292.4 | −0.88 | 366.2 | −1.13 | 441.8 | −1.33 |
| NV6 | 84.5 | 1.65 | 231.2 | −0.64 | 338.9 | −3.32 | ||||
| NV7 | 100.6 | 82.86 | 241.1 | 9.06 | 296 | 5.21 | 413.1 | −21.47 | ||
| Sample | Speed | Peak 1 | Peak 2 | Peak 3 | Peak 4 | Peak 5 | |||||
|---|---|---|---|---|---|---|---|---|---|---|---|
| °/min | T, °C | ΔH, J/g | T, °C | ΔH, J/g | T, °C | ΔH, J/g | T, °C | ΔH, J/g | T, °C | ΔH, J/g | |
| NV4 5 cycles with 20°/min up to 800°C | 10 | 57.04 | 5.96 | 291.44 | −9.19 exo | 676.29 | 0.30 | ||||
| Δm, % | −0.476 | −0.222 | −0.041 | −1.578 | |||||||
| 20 | 258.56 | −1.63 exo | 516.69 | −2.07 exo | 678.41 | 0.33 | |||||
| Δm, % | −0.131 | −0.027 | −0.044 | −1.794 | |||||||
| 30 | 91.38 | 5.86 | 320.72 | −2.73 exo | 389.34 | −0.13 exo | 449.94 | 0.39 | 677.92 | 0.30 | |
| Δm, % | −0.59 | −0.168 | −0.035 | -0.053 | −0.036 | −1.686 | |||||
| 50 | 84.29 | 0.27 | 339.48 | 0.28 | 679.23 | 0.38 | |||||
| Δm, % | −0.167 | −0.101 | −0.018 | −1.737 | |||||||
| NV5 5 cycles with 30°/min up to 800 °C | 10 | 70.79 | 7.10 | 257.45 | 0.72 | 680.94 | 0.26 | ||||
| Δm, % | −0.395 | −0.152 | −6.25 × 10−3 | −1.556 | |||||||
| 20 | 92.83 | 5.56 | 299.67 | −5.22 exo | 380.17 | −0.55 exo | 466.56 | −0.56 exo | 678.68 | 0.39 | |
| Δm, % | −0.537 | −0.255 | −0.057 | −0.041 | −0.043 | −1.546 | |||||
| 30 | 106.47 | 21.87 | 273.97 | −1.08 exo | 370.96 | −8.15 exo | 512.55 | −1.51 exo | 679.26 | 0.36 | |
| Δm, % | −0.803 | −0.095 | −0.32 | −0.126 | −0.039 | −1.751 | |||||
| 50 | 121.51 | 17.05 | 680.32 | 0.58 | |||||||
| Δm, % | −0.686 | −0.018 | −1.501 | ||||||||
| NV6 5 cycles with 20°/min up to 800 °C | 10 | 67.72 | 4.35 | 278.29 | −7.76 exo | 479.11 | −6.27 exo | 679.00 | 0.38 | ||
| Δm, % | −0.368 | −0.49 | −0.121 | −0.028 | −1.513 | ||||||
| 20 | 94.50 | 4.73 | 375.16 | −14.00 exo | 499.98 | −2.13 exo | 679.23 | 0.74 | |||
| Δm, % | −0.402 | -0.573 | −0.1 | −0.04 | −1.963 | ||||||
| 30 | 104.36 | 6.26 | 247.83 | −0.93 exo | 390.41 | −5.13 exo | 679.83 | 0.82 | |||
| Δm, % | −0.439 | −0.156 | −0.629 | −0.012 | −1.518 | ||||||
| 50 | 122.74 | 19.63 | 411.07 | −3.92 exo | 557.59 | −2.26 exo | 678.89 | 1.93 | |||
| Δm, % | −0.678 | −0.559 | −0.032 | -0.072 | −1.562 | ||||||
| NV7 5 cycles with 30°/min up to 800 °C | 10 | 89.29 | 84.66 | 269.75 | −6.93 exo | 680.95 | 0.26 | ||||
| Δm, % | −5.821 | −1.604 | −7.88 × 10−3 | −9.425 | |||||||
| 20 | 120.50 184.86 | 91.87 6.46 | 297.43 | −5.83 exo | 469.56 | −1.19 exo | 679.09 | 0.43 | |||
| Δm, % | −5.865 −0.718 | −1.462 | −0.178 | -0.065 | −10.27 | ||||||
| 30 | 118.62 | 96.00 | 290.07 | −4.79 exo | 680.49 | 0.51 | |||||
| Δm, % | −6.911 | −1.591 | -0.018 | −10.39 | |||||||
| 50 | 137.24 | 100.21 | 302.59 | −4.44 exo | 679.99 | 0.61 | |||||
| Δm, % | −7.424 | −1.744 | −8.76 × 10−3 | −10.88 | |||||||
| Sample Name | Pressure, Bar | Crystallite Size (Scherrer), nm | The Crystalline Phase Identified by XRD; Phase Content * | Formula | PDF References |
|---|---|---|---|---|---|
| NV4-TT | 20 | 81.6 | 77% Hematite 23% Magnetite | Fe2O3 Fe3O4 | PDF 04-003-5818 (P) PDF 04-007-2718 (*) |
| NV5-TT | 60 | 93 | 86% Hematite 14% Magnetite | Fe2O3 Fe3O4 | PDF 04-003-5818 (P) PDF 04-007-2718 (*) |
| NV6-TT | 100 | 82.6 | 89% Hematite 11% Magnetite | Fe2O3 Fe3O4 | PDF 04-003-5818 (P) PDF 04-007-2718 (*) |
| NV7-TT | 1000 | 86.4 | 72% Magnetite 28% Hematite | Fe3O4 Fe2O3 | PDF 04-007-2718 (*) PDF 04-003-5818 (P) |
| Sample Name | Phase Type |
|---|---|
| NV4 | hematite |
| NV4-TT | Hematite + magnetite |
| NV5 | hematite |
| NV5-TT | Hematite + magnetite |
| NV6 | Hematite + goethite |
| NV6-TT | Hematite + magnetite |
| NV7 | Hematite + goethite |
| NV7-TT | Hematite + magnetite |
© 2020 by the authors. Licensee MDPI, Basel, Switzerland. This article is an open access article distributed under the terms and conditions of the Creative Commons Attribution (CC BY) license (http://creativecommons.org/licenses/by/4.0/).
Share and Cite
Cursaru, L.M.; Piticescu, R.M.; Dragut, D.V.; Tudor, I.A.; Kuncser, V.; Iacob, N.; Stoiciu, F. The Influence of Synthesis Parameters on Structural and Magnetic Properties of Iron Oxide Nanomaterials. Nanomaterials 2020, 10, 85. https://doi.org/10.3390/nano10010085
Cursaru LM, Piticescu RM, Dragut DV, Tudor IA, Kuncser V, Iacob N, Stoiciu F. The Influence of Synthesis Parameters on Structural and Magnetic Properties of Iron Oxide Nanomaterials. Nanomaterials. 2020; 10(1):85. https://doi.org/10.3390/nano10010085
Chicago/Turabian StyleCursaru, Laura Madalina, Roxana Mioara Piticescu, Dumitru Valentin Dragut, Ioan Albert Tudor, Victor Kuncser, Nicusor Iacob, and Florentin Stoiciu. 2020. "The Influence of Synthesis Parameters on Structural and Magnetic Properties of Iron Oxide Nanomaterials" Nanomaterials 10, no. 1: 85. https://doi.org/10.3390/nano10010085
APA StyleCursaru, L. M., Piticescu, R. M., Dragut, D. V., Tudor, I. A., Kuncser, V., Iacob, N., & Stoiciu, F. (2020). The Influence of Synthesis Parameters on Structural and Magnetic Properties of Iron Oxide Nanomaterials. Nanomaterials, 10(1), 85. https://doi.org/10.3390/nano10010085

