Mg Alloys Reduce Gastric Cancer and Mediate Therapeutic Management of Antibacterial Function
Abstract
1. Introduction
2. Materials and Methods
2.1. Sample Preparation and Sterilization
2.2. Cell Culture
2.3. Cell Viability
2.4. Gene Expression Data
2.5. RNA Extraction and Quantitative Real-Time PCR
2.6. Protein Network Construction
2.7. Animals and the Tumor Xenograft Growth In Vivo
2.8. Histopathological Analyses
2.9. Antibacterial Test
2.10. Statistics
3. Results
3.1. Degradation Performance of Mg Alloys
3.2. Effects of Mg Alloys Exposure on the Proliferation of MGC-803
3.3. Differential mRNA Expression Profiling Following Mg Alloy Exposure on MGC-803 Cells
3.4. GO and Pathway Analysis
3.5. Network Analysis of Genes Affected by Mg Alloy-Exposed MGC-803 Cells
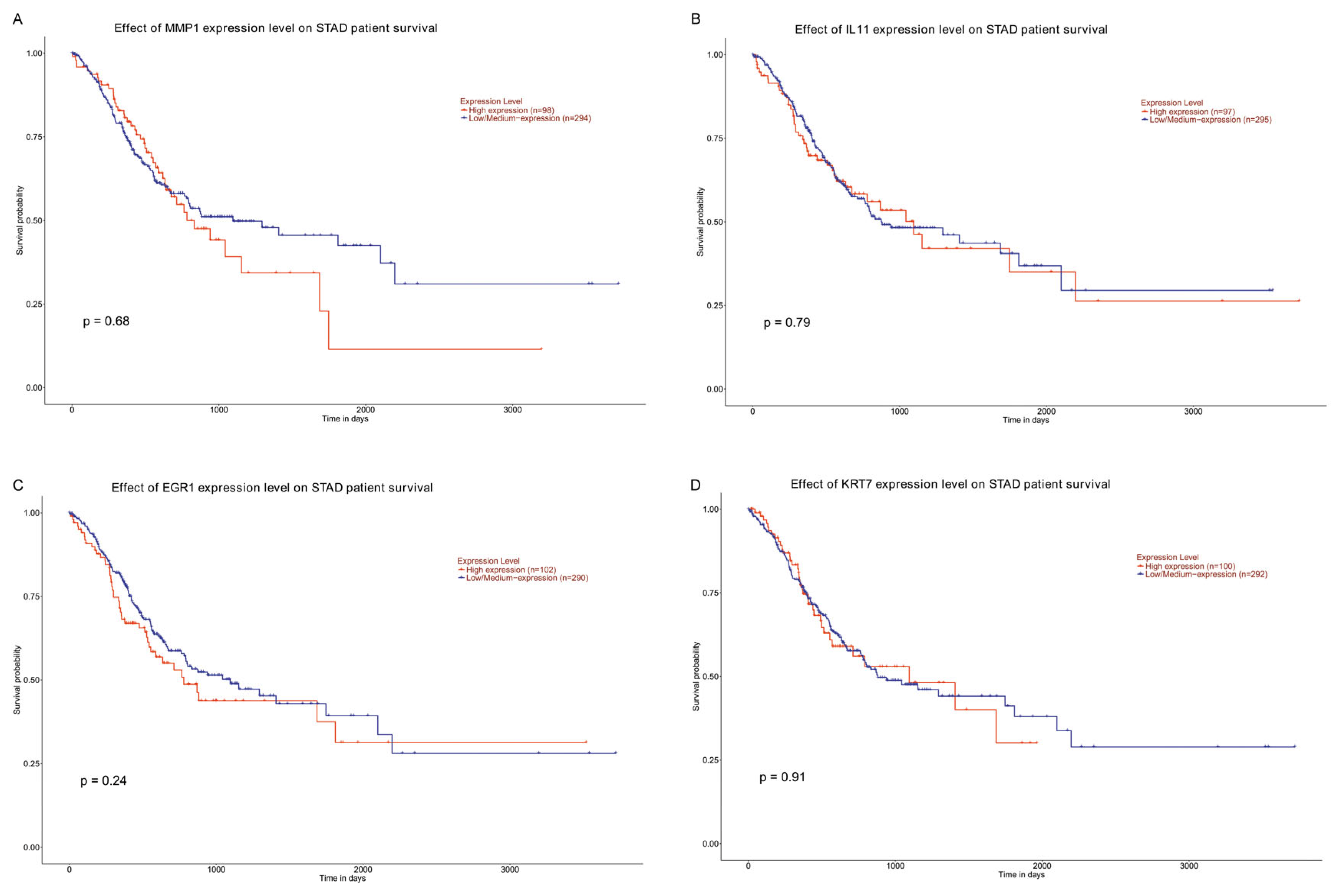
3.6. MMP1, IL11, EGR1, and KRT7 Expression Correlates with GC Prognosis
3.7. Effect of Mg Alloy Implantation on Subcutaneous Gastric Tumors
3.8. Mg Alloys Inhibited Growth in Three Types of Pathogenic Bacteria
4. Discussion
5. Conclusions
Author Contributions
Funding
Institutional Review Board Statement
Informed Consent Statement
Data Availability Statement
Conflicts of Interest
Abbreviations
Appendix A

References
- Sundar, R.; Nakayama, I.; Markar, S.R.; Shitara, K.; van Laarhoven, H.W.M.; Janjigian, Y.Y.; Smyth, E.C. Gastric cancer. Lancet 2025, 405, 2087–2102. [Google Scholar] [CrossRef] [PubMed]
- López, M.J.; Carbajal, J.; Alfaro, A.L.; Saravia, L.G.; Zanabria, D.; Araujo, J.M.; Quispe, L.; Zevallos, A.; Buleje, J.L.; Cho, C.E.; et al. Characteristics of gastric cancer around the world. Crit. Rev. Oncol. 2023, 181, 103841. [Google Scholar] [CrossRef] [PubMed]
- Liu, G.W.; Pickett, M.J.; Kuosmanen, J.L.P.; Ishida, K.; Madani, W.A.M.; White, G.N.; Jenkins, J.; Park, S.; Feig, V.R.; Jimenez, M.; et al. Drinkable in situ-forming tough hydrogels for gastrointestinal therapeutics. Nat. Mater. 2024, 23, 1292–1299. [Google Scholar] [CrossRef] [PubMed]
- Yang, T.; Guo, L. Advancing gastric cancer treatment: Nanotechnology innovations and future prospects. Cell Biol. Toxicol. 2024, 40, 101. [Google Scholar] [CrossRef]
- Liu, X.; Mu, X.; Wang, Y.; Liu, Z.; Li, Y.; Lan, J.; Feng, S.; Wang, S.; Zhao, Q. Metal-based mesoporous polydopamine with dual enzyme-like activity as biomimetic nanodrug for alleviating liver fibrosis. J. Colloid Interface Sci. 2025, 684, 586–599. [Google Scholar] [CrossRef]
- Muro, K.; Shitara, K.; Yamaguchi, K.; Yoshikawa, T.; Satake, H.; Hara, H.; Sugimoto, N.; Machida, N.; Goto, M.; Kawakami, H.; et al. Efficacy of Pembrolizumab Monotherapy in Japanese Patients with Advanced Gastric or Gastroesophageal Junction Cancer. J. Gastrointest. Cancer 2023, 54, 951–961. [Google Scholar] [CrossRef]
- Rezaei, N.; Kazem Arki, M.; Miri-Lavasani, Z.; Solhi, R.; Khoramipour, M.; Rashedi, H.; Asadzadeh Aghdaei, H.; Hossein-Khannazer, N.; Mostafavi, E.; Vosough, M. Co-delivery of doxorubicin and paclitaxel via noisome nanocarriers attenuates cancerous phenotypes in gastric cancer cells. Eur. J. Pharm. Biopharm. 2023, 188, 33–47. [Google Scholar] [CrossRef]
- Ge, S.; Wang, Y.; Tian, J.; Lei, D.; Yu, Q.; Wang, G. An in vitro study on the biocompatibility of WE magnesium alloys. J. Biomed. Mater. Res. Part B Appl. Biomater. 2016, 104, 482–487. [Google Scholar] [CrossRef]
- Zhang, D.; Xu, R.; Chen, S.; Du, H.; Qian, S.; Peng, F.; Liu, X. Surface defect engineered-Mg-based implants enable the dual functions of superhydrophobic and synergetic photothermal/chemodynamic therapy. Bioact. Mater. 2023, 30, 15–28. [Google Scholar] [CrossRef]
- Ouyang, Y.; Cao, L.; Zhao, Q.; Yang, W.; Lin, C. Biodegradable Mg-1%Ca alloy inhibits the growth of cervical cancer. Biomed. Mater. 2025, 20, adb2cc. [Google Scholar] [CrossRef]
- Turinsky, A.L.; Razick, S.; Turner, B.; Donaldson, I.M.; Wodak, S.J. Interaction databases on the same page. Nat. Biotechnol. 2011, 29, 391–393. [Google Scholar] [CrossRef] [PubMed]
- Wong, M.C.S.; Huang, J.; Chan, P.S.F.; Choi, P.; Lao, X.Q.; Chan, S.M.; Teoh, A.; Liang, P. Global Incidence and Mortality of Gastric Cancer, 1980–2018. JAMA Netw. Open 2021, 4, e2118457. [Google Scholar] [CrossRef] [PubMed]
- Sun, X.; He, L.; Liu, H.; Thorne, R.F.; Zeng, T.; Liu, L.; Zhang, B.; He, M.; Huang, Y.; Li, M.; et al. The diapause-like colorectal cancer cells induced by SMC4 attenuation are characterized by low proliferation and chemotherapy insensitivity. Cell Metab. 2023, 35, 1563–1579.e8. [Google Scholar] [CrossRef] [PubMed]
- Qiao, L.; Zhu, G.; Jiang, T.; Qian, Y.; Sun, Q.; Zhao, G.; Gao, H.; Li, C. Self-Destructive Copper Carriers Induce Pyroptosis and Cuproptosis for Efficient Tumor Immunotherapy Against Dormant and Recurrent Tumors. Adv. Mater. 2024, 36, e2308241. [Google Scholar] [CrossRef]
- Nakahara, R.; Maeda, K.; Aki, S.; Osawa, T. Metabolic adaptations of cancer in extreme tumor microenvironments. Cancer Sci. 2023, 114, 1200–1207. [Google Scholar] [CrossRef]
- Sagara, A.; Miura, S.; Kobinata, A.; Naganawa, R.; Yaginuma, S.; Saito, S.; Saito, R.; Kominato, H.; Yumoto, T.; Sato, F. COL8A1 enhances the invasion/metastasis in MDA-MB-231 cells via the induction of IL1B and MMP1 expression. Biochem. Biophys. Res. Commun. 2023, 642, 145–153. [Google Scholar] [CrossRef]
- Wang, D.; Wang, D.; Wang, N.; Long, Z.; Ren, X. Long Non-Coding RNA BANCR Promotes Endometrial Cancer Cell Proliferation and Invasion by Regulating MMP2 and MMP1 via ERK/MAPK Signaling Pathway. Cell. Physiol. Biochem. 2016, 40, 644–656. [Google Scholar] [CrossRef]
- Hou, J.; Zhang, H.; Liu, J.; Zhao, Z.; Wang, J.; Lu, Z.; Hu, B.; Zhou, J.; Zhao, Z.; Feng, M.; et al. YTHDF2 reduction fuels inflammation and vascular abnormalization in hepatocellular carcinoma. Mol. Cancer 2019, 18, 163. [Google Scholar] [CrossRef]
- Jaeger, B.; Schupp, J.C.; Plappert, L.; Terwolbeck, O.; Artysh, N.; Kayser, G.; Engelhard, P.; Adams, T.S.; Zweigerdt, R.; Kempf, H.; et al. Airway basal cells show a dedifferentiated KRT17highPhenotype and promote fibrosis in idiopathic pulmonary fibrosis. Nat. Commun. 2022, 13, 5637. [Google Scholar] [CrossRef]
- Tian, X.; Liu, F.; Wang, Z.; Zhang, J.; Liu, Q.; Zhang, Y.; Zhang, D.; Huang, C.; Zhao, J.; Jiang, S. Modified Biejia Jianwan decoction restrains PD-L1-mediated immune evasion through the HIF-1α/STAT3/NF-κB signaling pathway. J. Ethnopharmacol. 2024, 322, 117577. [Google Scholar] [CrossRef]
- Qiu, B.; Yuan, P.; Du, X.; Jin, H.; Du, J.; Huang, Y. Hypoxia inducible factor-1α is an important regulator of macrophage biology. Heliyon 2023, 9, e17167. [Google Scholar] [CrossRef] [PubMed]
- Dong, Q.; Guo, Y.; Lv, C.; Ren, L.; Chen, B.; Wang, Y.; Liu, Y.; Liu, M.; Liu, K.; Zhang, N.; et al. Unveiling a novel cancer hallmark by evaluation of neural infiltration in cancer. Brief. Bioinform. 2025, 26, bbaf082. [Google Scholar] [CrossRef] [PubMed]
- Karras, P.; Bordeu, I.; Pozniak, J.; Nowosad, A.; Pazzi, C.; Van Raemdonck, N.; Landeloos, E.; Van Herck, Y.; Pedri, D.; Bervoets, G.; et al. A cellular hierarchy in melanoma uncouples growth and metastasis. Nature 2022, 610, 190–198. [Google Scholar] [CrossRef] [PubMed]
- Yuan, S.; Norgard, R.J.; Stanger, B.Z. Cellular Plasticity in Cancer. Cancer Discov. 2019, 9, 837–851. [Google Scholar] [CrossRef]
- Marchi, S.; Patergnani, S.; Missiroli, S.; Morciano, G.; Rimessi, A.; Wieckowski, M.R.; Giorgi, C.; Pinton, P. Mitochondrial and endoplasmic reticulum calcium homeostasis and cell death. Cell Calcium 2018, 69, 62–72. [Google Scholar] [CrossRef]
- Pan, M.; Luo, M.; Liu, L.; Chen, Y.; Cheng, Z.; Wang, K.; Huang, L.; Tang, N.; Qiu, J.; Huang, A.; et al. EGR1 suppresses HCC growth and aerobic glycolysis by transcriptionally downregulating PFKL. J. Exp. Clin. Cancer Res. 2024, 43, 35. [Google Scholar] [CrossRef]
- Simeonov, K.P.; Byrns, C.N.; Clark, M.L.; Norgard, R.J.; Martin, B.; Stanger, B.Z.; Shendure, J.; McKenna, A.; Lengner, C.J. Single-cell lineage tracing of metastatic cancer reveals selection of hybrid EMT states. Cancer Cell 2021, 39, 1150–1162.e9. [Google Scholar] [CrossRef]
- Hosseinalizadeh, H.; Hussain, Q.M.; Poshtchaman, Z.; Ahsan, M.; Amin, A.H.; Naghavi, S.; Mahabady, M.K. Emerging insights into keratin 7 roles in tumor progression and metastasis of cancers. Front. Oncol. 2024, 13, 1243871. [Google Scholar] [CrossRef]
- Wu, Y.; Ma, J.; Yang, X.; Nan, F.; Zhang, T.; Ji, S.; Rao, D.; Feng, H.; Gao, K.; Gu, X.; et al. Neutrophil profiling illuminates anti-tumor antigen-presenting potency. Cell 2024, 187, 1422–1439.e24. [Google Scholar] [CrossRef]
- Nagata, T.; Adachi, Y.; Taniguchi, A.; Kimura, Y.; Iitaka, D.; Iwata, G.; Yamaoka, N. Prognostic impacts of categorized postoperative complications in surgery for gastric cancer. Asian J. Surg. 2023, 46, 451–457. [Google Scholar] [CrossRef]
- Zhang, C.; Lin, J.; Nguyen, N.T.; Guo, Y.; Xu, C.; Seo, C.; Villafana, E.; Jimenez, H.; Chai, Y.; Guan, R.; et al. Antimicrobial Bioresorbable Mg-Zn-Ca Alloy for Bone Repair in a Comparison Study with Mg-Zn-Sr Alloy and Pure Mg. ACS Biomater. Sci. Eng. 2020, 6, 517–538. [Google Scholar] [CrossRef]
- Sun, H.; Wang, Y.; Sun, C.; Yu, H.; Xi, Z.; Liu, N.; Zhang, N. In vivo comparison of the degradation and osteointegration properties of micro-arc oxidation-coated Mg-Sr and Mg-Ca alloy scaffolds. Bio-Med. Mater. Eng. 2022, 33, 209–219. [Google Scholar] [CrossRef]










| Gene | Forward | Reverse |
|---|---|---|
| MMP1 | AAAATTACACGCCAGATTTGCC | AAAATTACACGCCAGATTTGCC |
| IL11 | GACCTACTGTCCTACCTGCG | AGTCTTCAGCAGCAGCAGTC |
| COL5A3 | AACAAGGAAATTTGGACCTCAA | GAGTCCGAGATGGATATTCTGC |
| SLC6A12 | CCTGGCCACTTTCCTCTTCTC | CAGGAACCAGCCAATGGAGTA |
| EGR1 | GGTCAGTGGCCTAGTGAGC | GTGCCGCTGAGTAAATGGGA |
| CAV1 | AGCAAAAGTTGTAGCGCCAG | GACCACGTCGTCGTTGAGAT |
| CFLAR | GGACTTGGCTGAACTGCTCTAC | TCCAAATCCTCACCAATCTCTG |
| IFRD1 | TGCAGTGGTTATAGCGATCCT | CCTTGTCTTCGCACTCTTATCC |
| CASC19 | CTCAGCATTTGCCATACTACAT | TTCTAAC-CCAGGCACTCCAA |
| KRT7 | TCCGCGAGGTCACCATTAAC | GCTCTGTCAACTCCGTCTCAT |
| GAPDH | GAAGGTGAAGGTCGGAGTC | GAAGATGGTGATGGGATTTC |
| Terms | No Immersion | Hank’s Liquid Immersion | |||||
|---|---|---|---|---|---|---|---|
| Element | Magnesium | Zirconium | Magnesium | Zirconium | Calcium | Aluminium | Oxygen |
| AN | 12 | 40 | 12 | 40 | 20 | 13 | 8 |
| norm. C [wt.%] | 86.94 | 13.06 | 18.20 | 26.74 | 7.03 | 1.98 | 46.05 |
| Atom. C [at.%] | 96.15 | 3.85 | 17.96 | 7.03 | 4.21 | 1.76 | 69.04 |
Disclaimer/Publisher’s Note: The statements, opinions and data contained in all publications are solely those of the individual author(s) and contributor(s) and not of MDPI and/or the editor(s). MDPI and/or the editor(s) disclaim responsibility for any injury to people or property resulting from any ideas, methods, instructions or products referred to in the content. |
© 2025 by the authors. Licensee MDPI, Basel, Switzerland. This article is an open access article distributed under the terms and conditions of the Creative Commons Attribution (CC BY) license.
Share and Cite
Wu, Y.; Lu, X.; Wang, Y.; Liu, G.; Yang, B. Mg Alloys Reduce Gastric Cancer and Mediate Therapeutic Management of Antibacterial Function. J. Funct. Biomater. 2026, 17, 21. https://doi.org/10.3390/jfb17010021
Wu Y, Lu X, Wang Y, Liu G, Yang B. Mg Alloys Reduce Gastric Cancer and Mediate Therapeutic Management of Antibacterial Function. Journal of Functional Biomaterials. 2026; 17(1):21. https://doi.org/10.3390/jfb17010021
Chicago/Turabian StyleWu, Yonghong, Xiaoyun Lu, Yiwei Wang, Guangyan Liu, and Biao Yang. 2026. "Mg Alloys Reduce Gastric Cancer and Mediate Therapeutic Management of Antibacterial Function" Journal of Functional Biomaterials 17, no. 1: 21. https://doi.org/10.3390/jfb17010021
APA StyleWu, Y., Lu, X., Wang, Y., Liu, G., & Yang, B. (2026). Mg Alloys Reduce Gastric Cancer and Mediate Therapeutic Management of Antibacterial Function. Journal of Functional Biomaterials, 17(1), 21. https://doi.org/10.3390/jfb17010021

