Temperature Changes (ΔT) in Correlation with Number of Implant Osteotomy Preparations in Human Cadaver Tibiae, Comparing Osseodensification (OD) Burs in Clockwise (CW) versus Counterclockwise (CCW) Mode
Abstract
1. Introduction
2. Materials and Methods
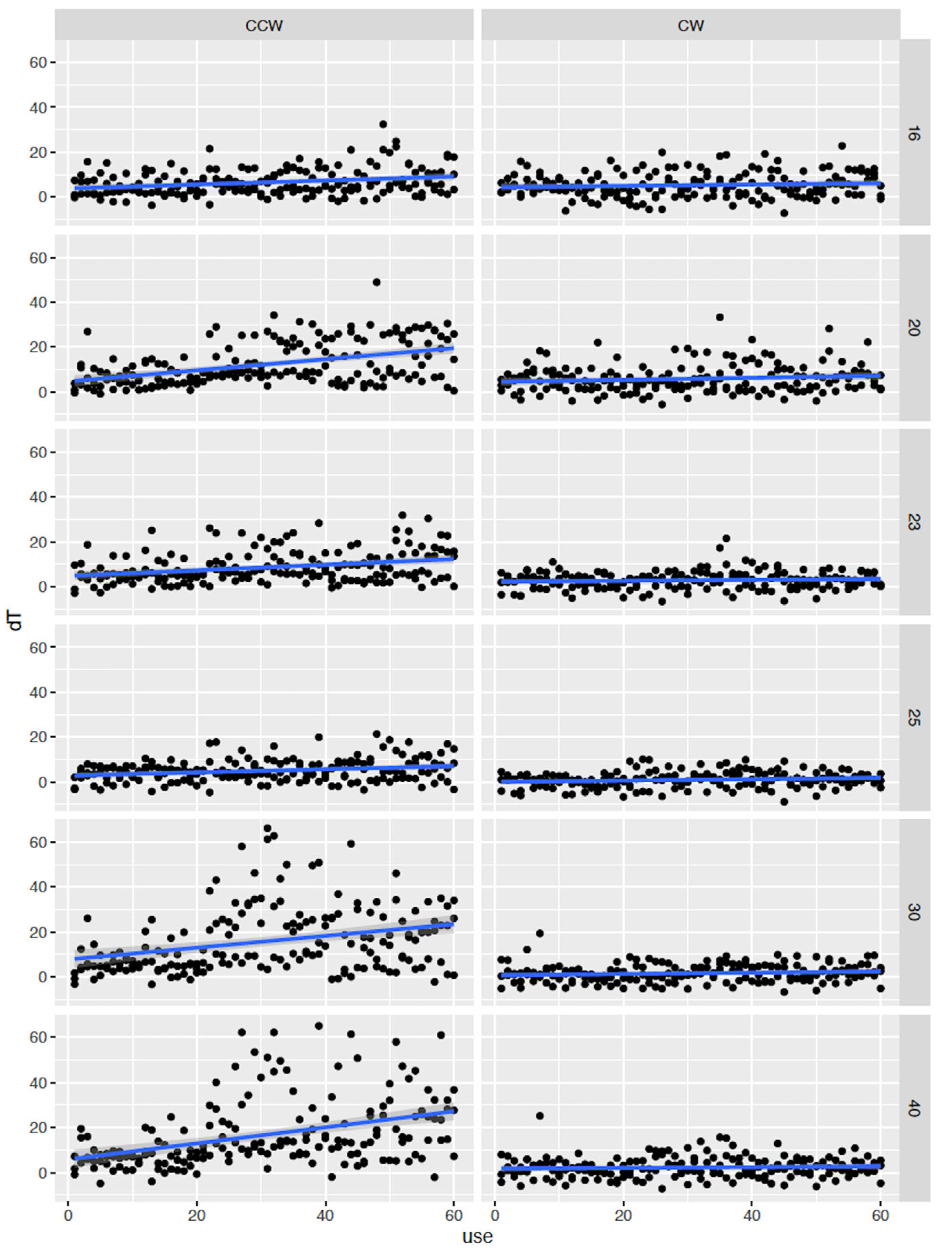
3. Results
4. Discussion
5. Conclusions
Author Contributions
Funding
Institutional Review Board Statement
Informed Consent Statement
Data Availability Statement
Acknowledgments
Conflicts of Interest
References
- Albrektsson, T.; Brånemark, P.-I.; Hansson, H.-A.; Lindström, J. Osseointegrated titanium implants. Requirements for ensuring a long-lasting, direct bone-to-implant anchorage in man. Acta Orthop. Scand. 1981, 52, 155–170. [Google Scholar] [CrossRef] [PubMed]
- Marquezan, M.; Osório, A.; Sant’Anna, E.; Souza, M.M.; Maia, L. Does bone mineral density influence the primary stability of dental implants? A systematic review. Clin. Oral Implant. Res. 2012, 23, 767–774. [Google Scholar] [CrossRef] [PubMed]
- Trisi, P.; De Benedittis, S.; Perfetti, G.; Berardi, D. Primary stability, insertion torque and bone density of cylindrical implant ad modum Brånemark: Is there a relationship? An in vitro study. Clin. Oral Implant. Res. 2011, 22, 567–570. [Google Scholar] [CrossRef] [PubMed]
- Turkyilmaz, I.; Aksoy, U.; McGlumphy, E.A. Two alternative surgical techniques for enhancing primary implant stability in the posterior maxilla: A clinical study including bone density, insertion torque, and resonance frequency analysis data. Clin. Implant. Dent. Relat. Res. 2008, 10, 231–237. [Google Scholar] [CrossRef]
- Yoon, H.G.; Heo, S.J.; Koak, J.Y.; Kim, S.K.; Lee, S.Y. Effect of bone quality and implant surgical technique on implant stability quotient (ISQ) value. J. Adv. Prosthodont. 2011, 3, 10–15. [Google Scholar] [CrossRef] [PubMed]
- Ottoni, J.M.; Oliveira, Z.F.; Mansini, R.; Cabral, A.M. Correlation between placement torque and survival of single-tooth implants. Int. J. Oral Maxillofac. Implant. 2005, 20, 769–776. [Google Scholar]
- Capparé, P.; Vinci, R.; Di Stefano, D.A.; Traini, T.; Pantaleo, G.; Gherlone, E.F.; Gastaldi, G. Correlation between initial BIC and the Insertion Torque/Depth Integral Recorded with an Instantaneous Torque- Measuring Implant Motor: An in vivo Study. Clin. Implant Dent. Relat. Res. 2015, 17, 613–620. [Google Scholar] [CrossRef] [PubMed]
- Huwais, S.; Meyer, E.G. A novel osseous densification approach in implant osteotomy preparation to increase biomechanical primary stability, bone mineral density, and bone-to-implant contact. Int. J. Oral Maxillofac. Implant. 2017, 1, 27–36. [Google Scholar] [CrossRef]
- Lahens, B.; Neiva, R.; Tovar, N.; Alifarag, A.M.; Jimbo, R.; Bonfante, E.A.; Bowers, M.M.; Cuppini, M.; Freitas, H.; Witek, L.; et al. Biomechanical and histologic basis of osseodensification drilling for endosteal implant placement in low density bone. An experimental study in sheep. J. Mech. Behav. Biomed. Mater. 2016, 83, 56–65. [Google Scholar] [CrossRef]
- Yeh, Y.-T.; Chu, T.-M.G.; Blanchard, S.B.; Hamada, Y. Effects on ridge dimensions, bone density, and implant primary stability with osseodensification approach in implant osteotomy preparation. Int. J. Oral Maxillofac. Implant. 2021, 36, 474–484. [Google Scholar] [CrossRef] [PubMed]
- Romeo, D.; Chochlidakis, K.; Barmak, A.B.; Afliardi, E.; Russo, L.L.; Ercoli, C. Insertion and removal torque of dental implants placed using different drilling protocols: An experimental study on artificial bone substitutes. J. Prosthodont. 2023, 32, 633–638. [Google Scholar] [CrossRef]
- Ericsson, I.; Nilner, K.; Klinge, B.; Glantz, P.O. Radiographical and histological characteristics of submerged and non-submerged titanium implants. An experimental study in the Labrador dog. Clin. Oral Implant. Res. 1996, 7, 20–26. [Google Scholar] [CrossRef]
- Oh, T.J.; Yoon, J.; Misch, C.; Wang, H.L. The causes of early implant bone loss: Myth or science? J. Periodontol. 2002, 73, 322–333. [Google Scholar] [CrossRef] [PubMed]
- Cardemil, C.; Ristevski, Z.; Alsén, B.; Dahlin, C. Influence of Different Operatory Setups on Implant Survival Rate: A Retrospective Clinical Study. Clin. Implant. Dent. Relat. Res. 2009, 11, 288–291. [Google Scholar] [CrossRef]
- Chacon, G.E.; Bower, D.L.; Larsen, P.E.; McGlumphy, E.A.; Beck, F.M. Heat Production by 3 Implant Drill Systems after Repeated Drilling and Sterilization. J. Oral Maxillofac. Surg. 2006, 64, 265–269. [Google Scholar] [CrossRef] [PubMed]
- Gehrke, S.A.; Neto, H.L.; Mardegan, F.E. Investigation of the effect of movement and irrigation systems on temperature in the conventional drilling of cortical bone. Br. J. Oral Maxillofac. Surg. 2013, 51, 953–957. [Google Scholar] [CrossRef]
- Gehrke, S.A.; Pazetto, M.K.; de Oliveira, S.; Corbella, S.; Taschieri, S.; Mardegan, F.E.C. Study of temperature variation in cortical bone during osteotomies with trephine drills. Clin. Oral Investig. 2014, 18, 1749–1755. [Google Scholar] [CrossRef] [PubMed]
- Ercoli, C.; Funkenbusch, P.D.; Lee, H.J.; Moss, M.E.; Graser, G.N. The influence of drill wear on cutting efficiency and heat production during osteotomy preparation for dental implants: A study of drill durability. Int. J. Oral Maxillofac. Implant. 2004, 19, 335–349. [Google Scholar]
- Tuijthof, G.; Frühwirt, C.; Kment, C. Influence of tool geometry on drilling performance of cortical and trabecular bone. Med. Eng. Phys. 2013, 35, 1165–1172. [Google Scholar] [CrossRef] [PubMed]
- Eriksson, A.R.; Albrektsson, T.; Albrektsson, B. Heat caused by drilling cortical bone. Temperature measured in vivo in patients and animals. Acta Orthop. Scand. 1984, 55, 629–631. [Google Scholar] [CrossRef] [PubMed]
- Yacker, M.J.; Klein, M. The effect of irrigation on osteotomy depth and bur diameter. Int. J. Oral Maxillofac. Implant. 1996, 11, 634–638. [Google Scholar]
- Stelzle, F.; Frenkel, C.; Riemann, M.; Knipfer, C.; Stockmann, P.; Nkenke, E. The effect of load on heat production, thermal effects, and expenditure of time during implant site preparation—An experimental ex vivo comparison between piezosurgery and conventional drilling. Clin. Oral Implant. Res. 2014, 25, 140–148. [Google Scholar] [CrossRef] [PubMed]
- Albrektsson, T.; Albrektsson, B. Microcirculation in grafted bone. A chamber technique for vital microscopy of rabbit bone transplants. Acta Orthop. Scand. 1978, 49, 1–7. [Google Scholar] [PubMed]
- Jochum, R.M.; Reichart, P.A. Influence of multiple use of Timedur-titanium cannon drills: Thermal response and scanning electron microscopic findings. Clin. Oral Implant. Res. 2000, 11, 139–144. [Google Scholar]
- Strbac, G.D.; Unger, E.; Donner, R.; Bijak, M.; Watzek, G.; Zechner, W. Thermal effects of a combined irrigation method during implant site drilling. A standardized in vitro study using a bovine rib model. Clin. Oral Implant. Res. 2012, 25, 665–674. [Google Scholar] [CrossRef]
- Soldatos, N.; Pham, H.; Fakhouri, W.D.; Ngo, B.; Lampropoulos, P.; Tran, T.; Weltman, R. Temperature changes during implant osteotomy preparations in human cadaver tibiae comparing MIS® straight drills with Densah® burs. Genes 2022, 13, 1716. [Google Scholar] [CrossRef]
- Bhargava, N.; Perrotti, V.; Caponio, V.C.A.; Matsubara, V.H.; Patalwala, D.; Quaranta, A. Comparison of heat production and bone architecture changes in the implant site preparation with compressive osteotomes, osseodensification technique, piezoelectric devices, and standard drills: An ex vivo study on porcine ribs. Odontology 2023, 111, 142–153. [Google Scholar] [CrossRef] [PubMed]
- Misch, C.; Qu, Z.; Bidez, W. Mechanical properties of trabecular bone in the human mandible: Implications for dental implant treatment planning and surgical placement. J. Oral Maxillofac. Surg. 1999, 57, 700–706. [Google Scholar] [CrossRef]
- Soldatos, N.; Nelson-Rabe, L.; Palanker, N.; Angelov, N.; Romanos, G.; Weltman, R. Temperature changes during implant osteotomy preparations in fresh human cadaver tibiae, comparing straight with tapered drills. Materials 2022, 15, 2369. [Google Scholar] [CrossRef]
- R Core Team. R: A Language and Environment for Statistical Computing; R Foundation for Statistical Computing: Vienna, Austria, 2021; Available online: https://www.R-project.org/ (accessed on 15 March 2023).
- Eriksson, A.R.; Adell, R. Temperatures during drilling for the placement of implants using the osseointegration technique. J. Oral Maxillofac. Surg. 1986, 44, 4–7. [Google Scholar] [CrossRef]
- Eriksson, A.R.; Albrektsson, T. The effect of heat on bone regeneration: An experimental study in the rabbit using the bone growth chamber. J. Oral Maxillofac. Surg. 1984, 42, 705–711. [Google Scholar] [CrossRef]
- Misic, T.; Markovic, A.; Todorovic, A.; Colic, S.; Miodrag, S.; Milicic, B. An in vitro study of temperature changes in type 4 bone during implant placement: Bone condensing versus bone drilling. Oral Surg. Oral Med. Oral Pathol. Oral Radiol. Endodontol. 2011, 112, 28–33. [Google Scholar] [CrossRef] [PubMed]
- Rashad, A.; Kaiser, A.; Prochnow, N.; Schmitz, I.; Hoffmann, E.; Maurer, P. Heat production during different ultrasonic and conventional osteotomy preparations for dental implants. Clin. Oral Implant. Res. 2011, 22, 1361–1365. [Google Scholar] [CrossRef] [PubMed]
- Bulloch, S.E.; Olsen, R.G.; Bulloch, B. Comparison of heat generation between internally guided (cannulated) single drill and traditional sequential drilling with and without a drill guide for dental implants. Int. J. Oral Maxillofac. Implant. 2012, 27, 1456–1460. [Google Scholar]
- Trisi, P.; Berardini, M.; Falco, A.; Vulpiani, M.P. Effect of temperature on the dental implant osseointegration development in low-density bone: An in vivo histological evaluation. Implant. Dent. 2015, 24, 96–100. [Google Scholar] [CrossRef] [PubMed]
- Renders, G.A.P.; Mulder, L.; Van Ruijven, L.J.; Van Eijden, T.M.G.J. Porosity of human mandibular condylar bone. J. Anat. 2007, 210, 239–248. [Google Scholar] [CrossRef] [PubMed]
- Soldatos, N.; Gozalo, D.; Moreno, D.; Powell, C. Temperature Changes during Implant Osteotomies Utilizing three different implant systems: A pilot study. JIACD 2016, 8, 34–43. [Google Scholar]
- Kold, S.; Bechtold, J.E.; Ding, M.; Chareancholvanich, K.; Rahbek, O.; Søballe, K. Compacted cancellous bone has a spring-back effect. Acta Orthop. Scand. 2003, 74, 591–595. [Google Scholar] [CrossRef]
- Dos Santos, P.L.; Pereira Queiroz, T.; Margonar, R.; de Souza Carvalho, A.C.G.; Betoni, W., Jr.; Rodrigues Rezende, R.R.; dos Santos, P.H.; Garcia, R., Jr. Evaluation of bone heating, drill deformation, and drill roughness after implant osteotomy: Guided surgery and classic drilling procedure. Int. J. Oral Maxillofac. Implant. 2014, 29, 51–58. [Google Scholar] [CrossRef]
- Barrak, I.; Joób-Fancsaly, Á.; Braunitzer, G.; Varga, E., Jr.; Boa, K.; Piffkó, J. Intraosseous heat generation during osteotomy performed freehand and through template with an integrated metal guide sleeve: An in vitro study. Implant. Dent. 2018, 27, 342–350. [Google Scholar] [CrossRef]
- Matthews, L.S.; Hirsch, C. Temperatures measured in human cortical bone when drilling. J. Bone Jt. Surg. Am. 1972, 54, 297–308. [Google Scholar] [CrossRef]
- Benington, I.C.; Biagioni, P.A.; Crossey, P.J.; Hussey, D.L.; Sheridan, S.; Lamey, P.J. Temperature changes in bovine mandibular bone during implant site preparation: An assessment using infra-red thermography. J. Dent. 1996, 24, 263–267. [Google Scholar] [CrossRef] [PubMed]
- Misir, A.F.; Sumer, M.; Yenisey, M.; Ergioglu, E. Effect of surgical drill guide on heat generated from implant drilling. J. Oral Maxillofac. Surg. 2009, 67, 2663–2668. [Google Scholar] [CrossRef] [PubMed]
- Oliveira, N.; Alaejos-Algarra, F.; Mareque-Bueno, J.; Ferrés-Padró, E.; Hernández-Alfaro, F. Thermal changes and drill wear in bovine bone during implant site preparation. A comparative in vitro study: Twisted stainless steel and ceramic drills. Clin. Oral Implant. Res. 2012, 23, 963–969. [Google Scholar] [CrossRef] [PubMed]
- Allsobrook, O.F.; Leichter, J.; Holborrow, D.; Swain, M. Descriptive study of the longevity of dental implant surgery drills. Clin. Implant. Dent. Relat. Res. 2011, 13, 244–254. [Google Scholar] [CrossRef]
- Scarano, A.; Piattelli, A.; Assenza, B.; Carinci, F.; Di Donato, L.; Romani, G.L.; Merla, A. Infrared Thermographic Evaluation of Temperature Modifications Induced during Implant Site Preparation with Cylindrical versus Conical Drills. Clin. Implant. Dent. Relat. Res. 2009, 13, 319–323. [Google Scholar] [CrossRef]
- Yu, K.; Iwata, S.; Ohnishi, K.; Usuda, S.; Nakagawa, T.; Kawana, H. Modeling and experimentation of drilling vibration for implant cutting force presenting system. In Proceedings of the 2014 IEEE 13th International Workshop on Advanced Motion Control (AMC), Yokohama, Japan, 14–16 March 2014; pp. 711–716. [Google Scholar] [CrossRef]






| DF | Sum Sq | Mean Sq | F Value | Pr (>F) | |
|---|---|---|---|---|---|
| U | 1 | 7808 | 7808 | 209.270 | <2 × 10−16 *** |
| M | 1 | 31757 | 31757 | 851.198 | <2 × 10−16 *** |
| DW | 5 | 11741 | 2348 | 62.942 | <2 × 10−16 *** |
| RPM | 2 | 24320 | 12160 | 325.923 | <2 × 10−16 *** |
| U:M | 1 | 4321 | 4321 | 115.826 | <2 × 10−16 *** |
| U:DW | 5 | 1732 | 346 | 9.285 | 9.30 × 10−9 *** |
| M:DW | 5 | 13320 | 2664 | 71.404 | <2 × 10−16 *** |
| U:RPM | 2 | 3889 | 1944 | 52.119 | <2 × 10−16 *** |
| M:RPM | 2 | 3650 | 1825 | 48.921 | <2 × 10−16 *** |
| DW:RPM | 10 | 4670 | 467 | 12.518 | <2 × 10−16 *** |
| U:M:DW | 5 | 1819 | 364 | 9.750 | 3.20 × 10−9 *** |
| U:M:RPM | 2 | 1614 | 807 | 21.631 | 5.03 × 10−10 *** |
| U:DW:RPM | 10 | 1943 | 194 | 5.208 | 1.39 × 10−7 *** |
| M:DW:RPM | 10 | 3720 | 372 | 9.970 | <2 × 10−16 *** |
| U:M:DW:RPM | 10 | 2083 | 208 | 5.584 | 2.89 × 10−8 *** |
Disclaimer/Publisher’s Note: The statements, opinions and data contained in all publications are solely those of the individual author(s) and contributor(s) and not of MDPI and/or the editor(s). MDPI and/or the editor(s) disclaim responsibility for any injury to people or property resulting from any ideas, methods, instructions or products referred to in the content. |
© 2024 by the authors. Licensee MDPI, Basel, Switzerland. This article is an open access article distributed under the terms and conditions of the Creative Commons Attribution (CC BY) license (https://creativecommons.org/licenses/by/4.0/).
Share and Cite
Soldatos, N.; Heydari, A.; Horton, L.; Sarrami, S.; Nordlie, L.; Choi, D.; Weltman, R. Temperature Changes (ΔT) in Correlation with Number of Implant Osteotomy Preparations in Human Cadaver Tibiae, Comparing Osseodensification (OD) Burs in Clockwise (CW) versus Counterclockwise (CCW) Mode. J. Funct. Biomater. 2024, 15, 237. https://doi.org/10.3390/jfb15080237
Soldatos N, Heydari A, Horton L, Sarrami S, Nordlie L, Choi D, Weltman R. Temperature Changes (ΔT) in Correlation with Number of Implant Osteotomy Preparations in Human Cadaver Tibiae, Comparing Osseodensification (OD) Burs in Clockwise (CW) versus Counterclockwise (CCW) Mode. Journal of Functional Biomaterials. 2024; 15(8):237. https://doi.org/10.3390/jfb15080237
Chicago/Turabian StyleSoldatos, Nikolaos, Amanda Heydari, LeRoy Horton, Shayda Sarrami, Luke Nordlie, Dongseok Choi, and Robin Weltman. 2024. "Temperature Changes (ΔT) in Correlation with Number of Implant Osteotomy Preparations in Human Cadaver Tibiae, Comparing Osseodensification (OD) Burs in Clockwise (CW) versus Counterclockwise (CCW) Mode" Journal of Functional Biomaterials 15, no. 8: 237. https://doi.org/10.3390/jfb15080237
APA StyleSoldatos, N., Heydari, A., Horton, L., Sarrami, S., Nordlie, L., Choi, D., & Weltman, R. (2024). Temperature Changes (ΔT) in Correlation with Number of Implant Osteotomy Preparations in Human Cadaver Tibiae, Comparing Osseodensification (OD) Burs in Clockwise (CW) versus Counterclockwise (CCW) Mode. Journal of Functional Biomaterials, 15(8), 237. https://doi.org/10.3390/jfb15080237

