Effect of Storage Temperature on Selected Strength Parameters of Dual-Cured Composite Cements
Abstract
:1. Introduction
2. Materials and Methods
3. Results
4. Discussion
5. Conclusions
- Strength properties (DTS, FS) were not dependent on storage temperature in the range of 8–35 °C.
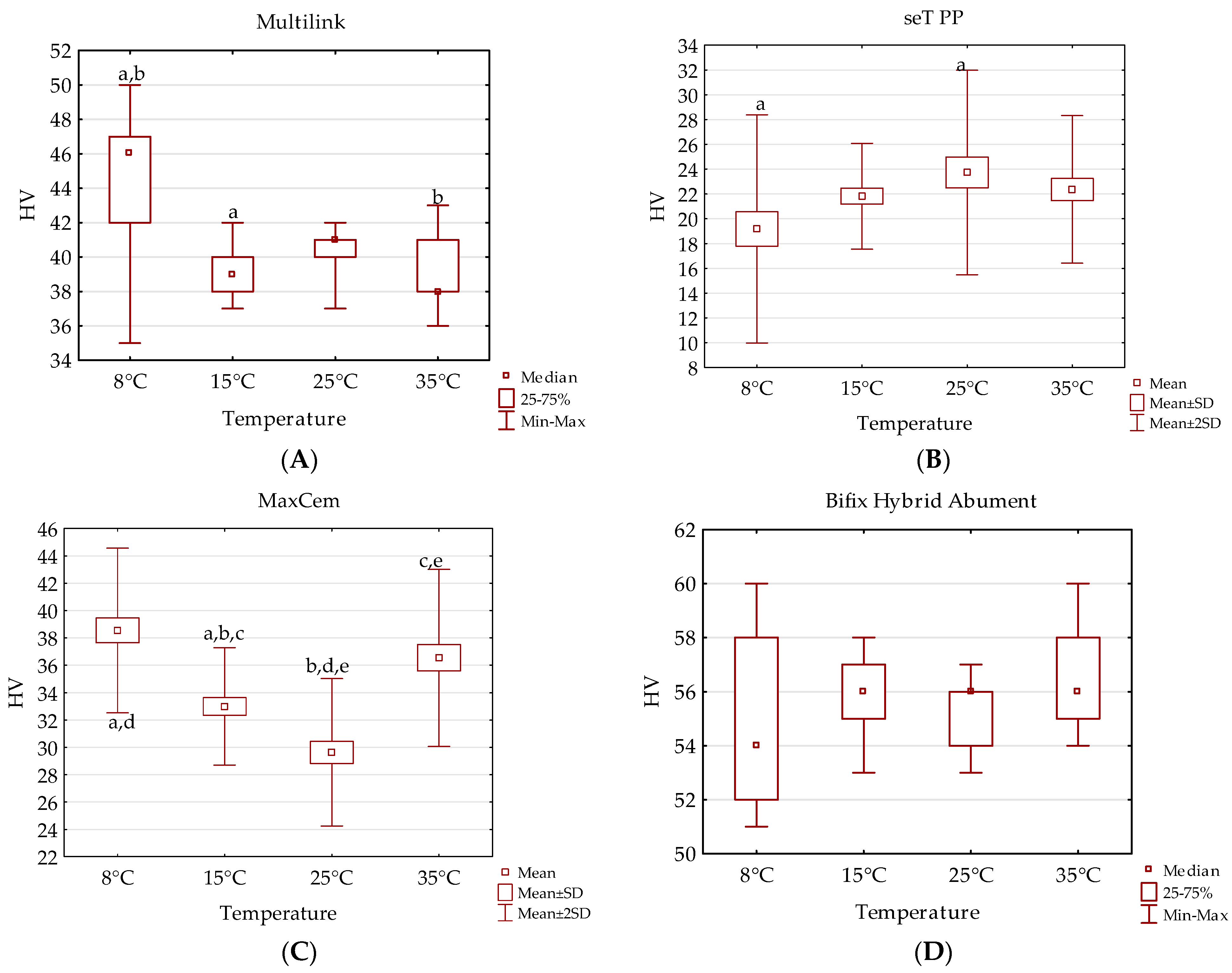
- There were some fluctuations in the hardness of MaxCem and Multilink Automix during storage at different temperatures; however, more extensive analysis is needed to determine if these observations were not coincidental.
- The cement with the highest filler content (70% by weight) showed the highest values for three-point flexural strength (FS) and the highest values for hardness (HV).
- Further studies should be carried out to verify whether materials are influenced by storage temperature when light curing is limited.
Author Contributions
Funding
Data Availability Statement
Conflicts of Interest
References
- Øllo, G.; Ørstavik, D. The temperature of cement specimens and its influence on measured strength. Dent. Mater. 1985, 1, 71–73. [Google Scholar] [CrossRef] [PubMed]
- Morais, A.; Santos, A.; Giannini, M.; Reis, A.F.; Rodrigues, J.A.; Arrais, C.A. Effect of pre-heated dual-cured resin cements on the bond strength of indirect restorations to dentin. Bras. Oral Res. 2012, 26, 170–176. [Google Scholar] [CrossRef]
- Gavic, L.; Gorseta, K.; Glavina, D.; Czrnecka, B.; Nicholson, J.W. Heat transfer properties and thermal cure glass-ionomer dental cements. J. Mater. Sci. Mater. Med. 2015, 26, 249. [Google Scholar] [CrossRef]
- Staansbury, J.W. Curing dental resin and composites by photopolymerization. J. Esthet. Dent. 2020, 12, 300–308. [Google Scholar] [CrossRef] [PubMed]
- Prasanna, N.; Pallavi, R.Y.; Kavitha, S.; Lakshmi Narayanan, L. Degree of conversion and residual stress of preheated and room-temperature composites. Indian J. Dent. Res. 2007, 18, 173–176. [Google Scholar] [CrossRef]
- Taubock, T.T.; Tarle, Z.; Marovic, D.; Attin, T. Pre-heating of high-viscosity bulk-fill resin composites: Effects on shrinkage force and monomer conversion. J. Dent. 2015, 43, 1358–1364. [Google Scholar] [CrossRef] [PubMed]
- da Costa, J.; Mcpharlin, R.; Hilton, T.; Ferracane, J. Effect of heat on the flow of commercial composites. Am. J. Dent. 2009, 22, 92–96. [Google Scholar]
- Choudhary, N.; Kamat, S.; Mangala, T.M.; Thomas, M. Effect of pre-heating composite resin on gap formation at three different temperatures. J. Conserv. Dent. 2011, 14, 191–195. [Google Scholar] [CrossRef]
- Theobaldo, J.D.; Aguiar, F.H.B.; Pini, N.I.P.; Lima, D.A.N.L.; Liporoni, P.C.S.; Catelan, A. Effect of preheating and light-curing unit on physicochemical properties of a bulk-fill composite. Clin. Cosmet. Investig. Dent. 2017, 16, 39–43. [Google Scholar] [CrossRef]
- El-Korashy, D.I. Post-gel shrinkage strain and degree oh conversion of preheated resin composite cured using different regimens. Oper. Dent. 2010, 35, 172–179. [Google Scholar] [CrossRef]
- Ahn, K.H.; Lim, S.; Kum, K.Y.; Chang, S.W. Effect of preheating on the viscoelastic properties of dental composite under different deformation conditions. Dent. Mater. J. 2015, 34, 702–706. [Google Scholar] [CrossRef]
- Ozer, F.; Ovecoglu, H.S.; Deneshmehr, L.; Sinmazisik, G.; Kashyap, K.; Iriboz, E.; Blatz, M.B. Effect of storage temperature on the shelf life of self-adhesive resin cements. J. Adhes. Dent. 2015, 17, 545–550. [Google Scholar] [CrossRef]
- Skąpska, A.; Sochacka, A.; Ziopaja, A.; Komorek, Z.; Cierech, M. Comparative analysis of selected mechanical properties of preheated composite material and self-adhesive composite cement—Pilot study. Prosthodontics 2020, 70, 281–288. [Google Scholar] [CrossRef]
- Skąpska, A.; Komorek, Z.; Cierech, M.; Mierzwińska-Nastalska, E. Comparison of mechanical properties of self-adhesive composite cement and heated composite material. Polymers 2022, 14, 2686. [Google Scholar] [CrossRef] [PubMed]
- Tian, K.V.; Yang, B.; Yue, Y.; Bowron, D.T.; Mayers, J.; Donnan, R.S.; Dobó-Nagy, C.; Nicholson, J.W.; Fang, D.C.; Greer, A.L.; et al. Atomic vibrational origins of mechanical toughness in bioactive cement during settin. Nat. Commun. 2015, 6, 8631. [Google Scholar] [CrossRef] [PubMed]
- Kuhn, H.J.; Braslovsky, S.E.; Schmidt, R. Chemical actinometry (IUPAC Technical Report). Pure Appl. Chem. 2004, 76, 2105–2146. [Google Scholar] [CrossRef]
- Karjalainen, S. Gender differences in thermal comfort and use of thermostats in everyday thermal environments. Build. Environ. 2007, 4, 1594–1603. [Google Scholar] [CrossRef]
- Kumar, S.; Kumar, S. Absolute Temperature Thresholds for Detection of Skin Wetness and Dampness on the Hand and their Variation with Sex and Age. Perception 2021, 10, 890–930. [Google Scholar] [CrossRef]
- Xiang, J.; Carter, S.; Jay, O.; Arens, E.; Zhang, H.; Deuble, M.; de Dear, R. A sex/age anomaly in thermal comfort observed in an office worker field study: A menopausal effect? Indoor Air 2022, 32, e12926. [Google Scholar] [CrossRef]
- Franca, F.A.; de Oliveira, M.; Rodriges, J.A.; Arrals, C.A. Pre-heated dual-cured resin cements: Analysis of the degree of conversion and ultimate tensile strength. Braz. Oral Res. 2011, 25, 174–179. [Google Scholar] [CrossRef]
- Nakamura, T.; Wakabayashi, K.; Kinuta, S.; Nishida, H.; Miyamae, M.; Yatani, H. Machanical properties of new self-adhesive resin-based cement. J. Prosthodont. Res. 2010, 54, 59–64. [Google Scholar] [CrossRef]
- Jefferies, S.; Loof, J.; Pameijer, C.H.; Boston, D.; Galbraith, C.; Hermansson, L. Physical Properties and Comperative Strength of a Bioactive Luting Cement. Compend. Contin. Educ. Dent. 2013, 34, 8–14. [Google Scholar]
- Daronch, M.; Rueggeberg, F.A.; Moss, L.; de Goes, M.F. Clinically relevant issues related to preheating composites. J. Esthet. Restor. Dent. 2006, 18, 340–350. [Google Scholar] [CrossRef] [PubMed]
- Sharafeddin, F.; Motamedi, M.; Fattah, Z. Effect of preheating and precooling on the flexural strength and modulus of elasticity of nanohybrid and silorane-based composite. J. Dent. 2015, 16, 224–229. [Google Scholar]
- Sokolowski, G.; Szczesio-Włodarczyk, A.; Konieczny, B.; Bociong, K.; Sokolowski, J. Comperative evaluation of mechanical properties of resin, self-adhesive and adhesive cements. Prosthet. Dent. 2018, 68, 415–424. [Google Scholar] [CrossRef]
- Kim, A.-R.; Jeon, Y.-C.; Jeong, C.-M.; Yun, M.-J.; Choi, J.W.; Kwon, Y.H.; Huh, J.-B. Effect of activation modes in the compressive strength, diametral tensile strength and microhardness od dual-cured self-adhesive resin cements. Dent. Mater. J. 2016, 35, 298–308. [Google Scholar] [CrossRef] [PubMed]
- Katayama, Y.; Ohashi, K.; Iwasaki, T.; Kameyama, Y.; Wada, Y.; Miyake, K.; Tanimoto, Y.; Nihei, T. A study on the characteristics of resin composites for provisional restorations. Dent. Mater. 2022, 41, 256–265. [Google Scholar] [CrossRef]
- Kumbuloglu, O.; Lasilla, L.; Valittu, P. A study of the physical and chemical properties of four resin composite luting cements. Int. J. Prosthodont. 2004, 3, 357–363. [Google Scholar]
- Deb, S.; Di Silvio, L.; Mackler, H.E.; Millar, B.J. Pre-warming of dental composites. Dent. Mater. 2011, 27, 51–59. [Google Scholar] [CrossRef] [PubMed]
- D’Amario, M.; Pacioni, S.; Capogreco, M.; Gatto, R.; Baldi, M. Effect of repeated preheating cycles on flexural strength of resin composites. Oper. Dent. 2013, 38, 33–38. [Google Scholar] [CrossRef] [PubMed]
- Hashemikamangar, S.; Meymand, M.; Kharazifard, M.; Valizadeh, S. Surface microhardness of a self-adhesive composite in comparison with conventional composite resins. Dent. Med. Probl. 2020, 57, 247–253. [Google Scholar] [CrossRef] [PubMed]
- Tzanakakis, E.G.; Dimitriadi, M.; Tzoutzas, I.; Koidis, S.; Zinelis, S.; Eliades, G. Effect of water storage on hardness and interfacial strength of resin composite luting agents bonded to surface—Treated monolithic zirconia. Dent. J. 2021, 7, 78. [Google Scholar] [CrossRef] [PubMed]
- Pawłowska, E.; Loba, K.; Błasiak, J.; Szczepańska, J. Properties and risk of the use of Bisphenol A-Glycidyl Methacrylate and Urethane Dimethacrylate—Basic monomers of dental restorative materials. Dent. Med. Probl. 2009, 46, 477–485. [Google Scholar]
- Spahl, W.; Budzikiewicz, H. Qualitative analysis of dental resin composites by gas and liquid chromatography/mass spectrometry. Fresenius J. Anal. Chem. 1994, 350, 684–691. [Google Scholar] [CrossRef]
- Michelsen, V.B.; Lygre, H.; Skalevik, R.; Tveit, A.B.; Solheim, E. Identification of organic eluates from four polymerbased dental filling materials. Eur. J. Oral Sci. 2003, 111, 263–271. [Google Scholar] [CrossRef]
- Geurtsen, W. Biocompatibility of resin–modified filling materials. Crit. Rev. Oral Biol. Med. 2000, 11, 333–355. [Google Scholar] [CrossRef]
- Geurtsen, W. Substances released from dental resin composites and glass ionomer cements. Eur. J. Oral Sci. 1998, 106, 687–695. [Google Scholar] [CrossRef]
- Szczesio-Wlodarczyk, A.; Polikowski, A.; Krasowski, M.; Fronczek, M.; Sokolowski, J.; Bociong, K. The Influence of Low-Molecular-Weight Monomers (TEGDMA, HDDMA, HEMA) on the Properties of Selected Matrices and Composites Based on Bis-GMA and UDMA. Materials 2022, 15, 2649. [Google Scholar] [CrossRef]
- Manso, A.P.; Silva, N.; Bonfante, A.E.; Pegoraro, T.A.; Dias, R.A.; Carvolho, R.M. Cements and Adhesives for All-Ceramic Restorations. Dent. Clin. N. Am. 2011, 4, 311–332. [Google Scholar] [CrossRef]
- Pearson, G.J.; Atkinson, A.S. Effects of temperature change on the working and and setting characteristics of water-based dental cements. Dent. Mater. 1987, 3, 275–279. [Google Scholar] [CrossRef]
- Pegoraro, T.A.; Fulgencio, R.; Butignon, L.E.; Manso, A.P.; Carvalho, R.M. Effects of temperature and aging on working/setting time of dual-resin cements. Oper. Dent. 2015, 40, E222–E229. [Google Scholar] [CrossRef] [PubMed]
- Berzins, D.W.; Abey, S.; Costache, M.C.; Wilkie, C.A.; Roberts, H.W. Resin-modified glass-ionomer setting reaction competition. J. Dent. Res. 2010, 89, 82–86. [Google Scholar] [CrossRef] [PubMed]
- Lee, I.; Um, C.M. Thermal analysis on the cure speed of dual cured resin cements under porcelain inlays. J. Oral Rehabil. 2001, 28, 186–197. [Google Scholar] [CrossRef] [PubMed]

| Cement | Polymer Matrix | Fillers | Filler Content |
|---|---|---|---|
| Multilink Automix (Ivoclare Vivadent) | Dimethacylate, 2-hydroxyethylomethacrylate (HEMA) | Inorganic fillers, barium glass, ytterbium trifluoride, sferoid mixed oxide. | The total inorganic filler is approximately 40% by volume/69% by weight. |
| seT PP (SDI) | Urethane dimethacrylate > 20% (UDMA), camphorouinone > 1%, acid monomer > 20%, | Fluoroaluminosilicate glass (60%). | The total inorganic filler is approximately 65% by weight. |
| MaxCem (Kerr) | 1,6—heksanediyl bismethcrylete, 2-hydroxy—1,3—propanediyl bismethacrylate, 7,7,9 (or 7,9,9)—trimethyl—4,13—dioxo—3,14—dioxa—5,12—diazeheksadecane—1,16—diylbismethacrylate, 3—trimethoxysilylpropyl methacrylates (Bis-GMA) | Barium aluminoborosilicate glass, ytterbium fluoride, fumed silica. | The total inorganic filler is approximately 46% by volume/65% by weight. |
| Bifix Hybrid Abutment (Voco) | Urethane dimetacrylate (UDMA), glycerin dimethacrylaate, catalyst, Initiator, alkohol silan methacrylates, phosphoric acid methacrylates and sulphide methacrylates | Fumed silica. | The total inorganic filler is approximately 71% by weight. |
| Temperature [°C] | FS [MPa] | SD | FM [MPa] | SD | DTS [MPa] | IQR | HV [-] | IQR | |
|---|---|---|---|---|---|---|---|---|---|
| Multilink Automix | 8 | 98.1 | 15.8 | 5603 a,b | 535 | 44.1 | 3.9 | 46 a,b | 5 |
| 15 | 105.2 | 13.9 | 6720 a,c | 313 | 45.2 | 2.8 | 39 a | 2 | |
| 25 | 91.8 | 14.8 | 5273 c,d | 520 | 46.2 | 2.9 | 41 | 1 | |
| 35 | 93.8 | 17.5 | 6534 b,d | 296 | 46.2 | 3.6 | 38 b | 3 |
| Temperature [°C] | FS [MPa] | SD | FM [MPa] | IQR | DTS [MPa] | IQR | HV [-] | SD | |
|---|---|---|---|---|---|---|---|---|---|
| seT PP | 8 | 46.5 | 14.7 | 2300 | 860 | 44.3 | 4.0 | 19 a | 5 |
| 15 | 60.3 | 12.0 | 2850 | 1070 | 44.8 | 4.3 | 22 | 2 | |
| 25 | 56.2 | 21.0 | 2570 | 1060 | 45.5 | 10.3 | 24 a | 4 | |
| 35 | 63.4 | 14.0 | 3070 | 1350 | 40.9 | 7.6 | 22 | 3 |
| Temperature [°C] | FS [MPa] | IQR | FM [MPa] | IQR | DTS [MPa] | SD | HV [-] | SD | |
|---|---|---|---|---|---|---|---|---|---|
| MaxCem | 8 | 73.8 | 23.2 | 5110 | 1580 | 52.8 | 4.5 | 39 a,d | 3 |
| 15 | 80.4 | 10.8 | 5950 | 570 | 56.3 a,b | 4.3 | 33 a,b,c | 2 | |
| 25 | 73.1 | 14.6 | 5032 | 390 | 49.7 a | 5.2 | 30 b,d,e | 3 | |
| 35 | 85.8 | 33.1 | 6110 | 550 | 49.0 b | 7.4 | 37 c,e | 3 |
| Temperature [°C] | FS [MPa] | SD | FM [MPa] | IQR | DTS [MPa] | IQR | HV [-] | IQR | |
|---|---|---|---|---|---|---|---|---|---|
| Bifix Hybrid Abutment | 8 | 109 | 11 | 8450 | 1010 | 43.9 | 20.51 | 54 | 6 |
| 15 | 113 a | 9 | 8760 a | 765 | 48.4 | 10.49 | 56 | 2 | |
| 25 | 94 a,b | 13 | 6050 a,b | 1845 | 54.8 | 9.63 | 56 | 2 | |
| 35 | 120 b | 12 | 8640 b | 260 | 46.7 | 9.85 | 56 | 3 |
Disclaimer/Publisher’s Note: The statements, opinions and data contained in all publications are solely those of the individual author(s) and contributor(s) and not of MDPI and/or the editor(s). MDPI and/or the editor(s) disclaim responsibility for any injury to people or property resulting from any ideas, methods, instructions or products referred to in the content. |
© 2023 by the authors. Licensee MDPI, Basel, Switzerland. This article is an open access article distributed under the terms and conditions of the Creative Commons Attribution (CC BY) license (https://creativecommons.org/licenses/by/4.0/).
Share and Cite
Giełzak, J.; Szczesio-Wlodarczyk, A.; Bociong, K. Effect of Storage Temperature on Selected Strength Parameters of Dual-Cured Composite Cements. J. Funct. Biomater. 2023, 14, 487. https://doi.org/10.3390/jfb14100487
Giełzak J, Szczesio-Wlodarczyk A, Bociong K. Effect of Storage Temperature on Selected Strength Parameters of Dual-Cured Composite Cements. Journal of Functional Biomaterials. 2023; 14(10):487. https://doi.org/10.3390/jfb14100487
Chicago/Turabian StyleGiełzak, Joanna, Agata Szczesio-Wlodarczyk, and Kinga Bociong. 2023. "Effect of Storage Temperature on Selected Strength Parameters of Dual-Cured Composite Cements" Journal of Functional Biomaterials 14, no. 10: 487. https://doi.org/10.3390/jfb14100487
APA StyleGiełzak, J., Szczesio-Wlodarczyk, A., & Bociong, K. (2023). Effect of Storage Temperature on Selected Strength Parameters of Dual-Cured Composite Cements. Journal of Functional Biomaterials, 14(10), 487. https://doi.org/10.3390/jfb14100487

