Searching for G: A New Evaluation of SPM-LS Dimensionality
Abstract
1. Introduction
1.1. On the Progressive Matrices Dimensionality
1.2. Modern Approaches Towards Dimensionality Assessment
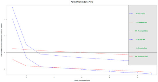
1.2.1. Parallel Analysis
1.2.2. Exploratory Graph Analysis
1.2.3. Exploratory Bi-factor Modelling
1.3. SPM-LS Dimensionality
2. Materials and Methods
2.1. Instrument and Data
2.2. Statistical Analysis Plan
3. Results
3.1. Descriptive Analysis
3.2. Dimensionality Assessment.
3.3. Factor Modelling
3.3.1. Unidimensional Model
3.3.2. Bi-Dimensional Model
3.3.3. Bi-Factor Model
4. Discussion
5. Conclusions
Supplementary Materials
Author Contributions
Funding
Conflicts of Interest
Appendix A
| 1 | 2 | 3 | 4–5 | 6 | 7 | 8 | 9 | 10 | 11 | 12 | |
|---|---|---|---|---|---|---|---|---|---|---|---|
| SPM1 | 1 | ||||||||||
| SPM2 | 0.59 | 1 | |||||||||
| SPM3 | 0.47 | 0.69 | 1 | ||||||||
| SPM4-5 | 0.40 | 0.67 | 0.54 | 1 | |||||||
| SPM6 | 0.44 | 0.62 | 0.73 | 0.72 | 1 | ||||||
| SPM7 | 0.23 | 0.48 | 0.38 | 0.62 | 0.48 | 1 | |||||
| SPM8 | 0.32 | 0.40 | 0.41 | 0.60 | 0.51 | 0.53 | 1 | ||||
| SPM9 | 0.13 | 0.36 | 0.48 | 0.41 | 0.47 | 0.49 | 0.55 | 1 | |||
| SPM10 | 0.28 | 0.46 | 0.63 | 0.77 | 0.61 | 0.48 | 0.49 | 0.46 | 1 | ||
| SPM11 | 0.25 | 0.25 | 0.31 | 0.42 | 0.42 | 0.42 | 0.44 | 0.49 | 0.59 | 1 | |
| SPM12 | 0.13 | 0.06 | 0.04 | 0.43 | 0.29 | 0.41 | 0.52 | 0.37 | 0.45 | 0.61 | 1 |


| Unidim. | BID.EFA | BID.CFA | BEFA | BCFA | |||||
|---|---|---|---|---|---|---|---|---|---|
| Item | G | S1 | S2 | S1 | S2 | G | S1 | G | S |
| SPM1 | 0.47 | 0.58 | −0.04 | 0.50 | 0.00 | 0.55 | −0.10 | 0.51 | 0.00 |
| SPM2 | 0.72 | 0.90 | −0.10 | 0.76 | 0.00 | 0.84 | −0.17 | 0.77 | 0.00 |
| SPM3 | 0.74 | 0.87 | −0.04 | 0.77 | 0.00 | 0.84 | −0.13 | 0.79 | 0.00 |
| SPM4-5 | 0.85 | 0.55 | 0.43 | 0.90 | 0.00 | 0.82 | 0.28 | 0.90 | 0.00 |
| SPM6 | 0.82 | 0.70 | 0.22 | 0.86 | 0.00 | 0.84 | 0.10 | 0.85 | 0.00 |
| SPM7 | 0.67 | 0.26 | 0.51 | 0.00 | 0.70 | 0.57 | 0.36 | 0.60 | 0.31 |
| SPM8 | 0.71 | 0.20 | 0.60 | 0.00 | 0.74 | 0.58 | 0.45 | 0.61 | 0.41 |
| SPM9 | 0.62 | 0.19 | 0.52 | 0.00 | 0.65 | 0.52 | 0.38 | 0.52 | 0.40 |
| SPM10 | 0.80 | 0.40 | 0.51 | 0.00 | 0.84 | 0.72 | 0.35 | 0.75 | 0.29 |
| SPM11 | 0.64 | −0.04 | 0.75 | 0.00 | 0.67 | 0.43 | 0.59 | 0.45 | 0.61 |
| SPM12 | 0.54 | −0.39 | 1.00 | 0.00 | 0.57 | 0.23 | 0.82 | 0.29 | 0.76 |
| φ | - | 0.54 | 0.81 | 0.00 | 0.00 | ||||
| Np | df | p | CFI | TLI | RMSEA | SRMR | ||
|---|---|---|---|---|---|---|---|---|
| Unidim. | 23 | 44 | 192.04 | 0.00 | 0.93 | 0.91 | 0.08 (0.07–0.09) | 0.11 |
| BID.EFA/BEFA. | 33 | 34 | 68.45 | 0.00 | 0.98 | 0.97 | 0.05 (0.03–0.06) | 0.05 |
| BID.CFA | 24 | 43 | 145.71 | 0.00 | 0.95 | 0.94 | 0.07 (0.06–0.08) | 0.09 |
| BCFA | 29 | 38 | 110.79 | 0.00 | 0.97 | 0.96 | 0.06 (0.04–0.07) | 0.07 |
Appendix B
| Unidim. | BID.EFA | BID.CFA | BEFA | BCFA | |||||
|---|---|---|---|---|---|---|---|---|---|
| Item | G | S1 | S2 | S1 | S2 | G | S1 | G | S |
| SPM1 | 0.47 | 0.59 | −0.09 | 0.50 | 0.00 | 0.53 | −0.13 | 0.50 | 0.00 |
| SPM2 | 0.72 | 0.93 | −0.18 | 0.75 | 0.00 | 0.81 | −0.23 | 0.76 | 0.00 |
| SPM3 | 0.72 | 0.87 | −0.10 | 0.75 | 0.00 | 0.80 | −0.16 | 0.76 | 0.00 |
| SPM4 | 0.92 | 0.65 | 0.38 | 0.94 | 0.00 | 0.90 | 0.22 | 0.93 | 0.00 |
| SPM5 | 0.94 | 0.74 | 0.30 | 0.95 | 0.00 | 0.94 | 0.16 | 0.96 | 0.00 |
| SPM6 | 0.81 | 0.73 | 0.15 | 0.84 | 0.00 | 0.83 | 0.04 | 0.84 | 0.00 |
| SPM7 | 0.66 | 0.30 | 0.47 | 0.00 | 0.71 | 0.59 | 0.33 | 0.61 | 0.31 |
| SPM8 | 0.70 | 0.23 | 0.57 | 0.00 | 0.75 | 0.60 | 0.42 | 0.61 | 0.41 |
| SPM9 | 0.60 | 0.20 | 0.50 | 0.00 | 0.64 | 0.52 | 0.36 | 0.51 | 0.40 |
| SPM10 | 0.79 | 0.43 | 0.47 | 0.00 | 0.84 | 0.73 | 0.31 | 0.75 | 0.30 |
| SPM11 | 0.62 | -0.05 | 0.75 | 0.00 | 0.66 | 0.44 | 0.58 | 0.44 | 0.64 |
| SPM12 | 0.53 | −0.36 | 0.99 | 0.00 | 0.57 | 0.28 | 0.80 | 0.31 | 0.72 |
| φ | - | 0.57 | 0.80 | 0.00 | 0.00 | ||||
| Np | df | p | CFI | TLI | RMSEA | SRMR | ||
|---|---|---|---|---|---|---|---|---|
| Unidim. | 24 | 54 | 221.75 | 0.00 | 0.94 | 0.93 | 0.08 (0.08–0.09) | 0.11 |
| BID.EFA/BEFA. | 35 | 43 | 97.21 | 0.00 | 0.98 | 0.97 | 0.05 (0.04–0.06) | 0.06 |
| BID.CFA | 25 | 53 | 163.39 | 0.00 | 0.96 | 0.96 | 0.07 (0.05–0.07) | 0.09 |
| BCFA | 30 | 48 | 117.65 | 0.00 | 0.98 | 0.97 | 0.05 (0.04–0.07) | 0.07 |
References
- Raven, J.C. Standardization of Progressive Matrices. Br. J. Med. Psychol. 1941, 19, 137–150. [Google Scholar] [CrossRef]
- Myszkowski, N.; Storme, M. A snapshot of g? Binary and polytomous item-response theory investigations of the last series of the Standard Progressive Matrices (SPM-LS). Intelligence 2018, 68, 109–116. [Google Scholar] [CrossRef]
- Abad, F.J.; Colom, R.; Rebollo, I.; Escorial, S. Sex differential item functioning in the Raven’s Advanced Progressive Matrices: Evidence for bias. Pers. Indiv. Differ. 2004, 36, 1459–1470. [Google Scholar] [CrossRef]
- Lucio, P.S.; Cogo-Moreira, H.; Puglisi, M.; Polanczyk, G.V.; Little, T.D. Psychometric Investigation of the Raven’s Colored Progressive Matrices Test in a Sample of Preschool Children. Assessment 2017, 1–11. [Google Scholar] [CrossRef] [PubMed]
- Walsch, N.A.; Nettelbeck, S.A.J.; Nicholas, R.B. Dimensionality of the Raven’s Advanced Progressive Matrices: Sex Differences and Visuospatial Ability. Pers. Individ. Differ. 2016, 100, 157–166. [Google Scholar] [CrossRef]
- Lohmann, D.F.; Lakin, J.M. Intelligence and Reasoning. In The Cambridge Handbook of Intelligence; Sternberg, R.J., Kaufman, S.B., Eds.; Cambridge University Press, Ltd.: New York, NY, USA, 2011; pp. 419–441. [Google Scholar]
- Dillon, R.F.; Pohlmann, J.T.; Lohman, D. A Factor Analysis of Raven’s Advanced Progressive Matrices Freed from Difficulty Factors. Educ. Psychol. Meas. 1981, 41, 1295–1302. [Google Scholar] [CrossRef]
- Bors, D.A.; Stokes, T.L. Raven’s Advanced Progressive Matrices: Norms for First-Year University Students and the Development of a Short Form. Educ. Psychol. Meas. 1998, 58, 392–398. [Google Scholar] [CrossRef]
- Holzinger, K.; Swineford, F. The Bi-factor Method. Psychometrika 1937, 2, 41–54. [Google Scholar] [CrossRef]
- Waller, N.G. Direct Schmid-Leiman Transformations and Rank-Deficient Loadings Matrices. Psychometrika 2017, 83, 858–887. [Google Scholar] [CrossRef] [PubMed]
- Johnson, W.; Bouchard, T.J. The MISTRA data: Forty-two mental ability tests in three batteries. Intelligence 2011, 39, 82–88. [Google Scholar] [CrossRef]
- Gignac, G.E. Raven’s is not a pure measure of general intelligence: Implications for g factor theory and the brief measurement of g. Intelligence 2015, 52, 71–79. [Google Scholar] [CrossRef]
- Muniz, M.; Gomez, C.; Pasian, S. Factor Structure of Raven’s Coloured Progressive Matrices. Psico-USF 2016, 21, 259–272. [Google Scholar] [CrossRef][Green Version]
- Zeller, F.; Reiß, S.; Schweizer, K. Is the Item-Position Effect in Achievement Measures Induced by Increasing Item Difficulty. Struct. Equ. Model. 2019, 24, 745–754. [Google Scholar] [CrossRef]
- Ren, X.; Wang, T.; Sun, S.; Deng, M.; Scheizer, K. Speeded testing in the assessment of intelligence gives rise to speed factor. Intelligence 2018, 66, 64–71. [Google Scholar] [CrossRef]
- Sun, S.; Scheizer, K.; Ren, X. Item-Position Effect in Raven’s Matrices: A Developmental Perspective. J. Cogn. Dev. 2019, 1–10. [Google Scholar] [CrossRef]
- Golino, H.F.; Shi, D.; Garrido, L.E.; Christensen, A.; Nieto, M.D.; Sadana, P.; Thiyagarajan, J.A. Investigating the performance of exploratory graph analysis and traditional techniques to identify the number of latent factors: A simulation and tutorial. Psychol. Methods 2019, 1–20. [Google Scholar] [CrossRef]
- Lubbe, D. Parallel Analysis with Categorical Variables: Impact of Category Probability Proportions on Dimensionality Assessment Accuracy. Psychol. Methods 2018, 24, 339–351. [Google Scholar] [CrossRef] [PubMed]
- Marsh, H.; Morin, A.; Parker, P.; Kaur, G. Exploratory structural equation modeling: An integration of the best features of exploratory and confirmatory factor analysis. Annu. Rev. Clin. Psychol. 2014, 10, 85–110. [Google Scholar] [CrossRef] [PubMed]
- Marsh, H.; Muthen, B.; Asparouhov, T.; Lüdke, O.; Robitzsch, A.; Morin, A.; Trautwein, U. Exploratory structural equation modelling, integrating CFA and EFA: Application to student’s evaluations of university teaching. Struct. Equ. Model. 2009, 16, 439–476. [Google Scholar] [CrossRef]
- Revelle, W.; Wilt, J. The general factor of personality: A general critique. J. Res. Pers. 2013, 47, 493–504. [Google Scholar] [CrossRef] [PubMed]
- Timmerman, M.E.; Lorenzo-Seva, U. Dimensionality Assessment of Ordered Polytomous Items with Parallel Analysis. Psychol. Methods 2016, 16, 209–222. [Google Scholar] [CrossRef] [PubMed]
- Garrido, L.E.; Abad, F.J.; Ponsoda, V. Are fit indices really fit to estimate the number of factors with categorical variables? Some cautionary findings via Monte Carlo simulation. Psychol. Methods 2016, 21, 93–111. [Google Scholar] [CrossRef] [PubMed]
- Garrido, L.E.; Abad, F.J.; Ponsoda, V. A new look at Horn’s parallel analysis with ordinal variables. Psychol. Methods 2013, 18, 454–474. [Google Scholar] [CrossRef] [PubMed]
- Raiche, G.; Walls, T.; Magis, D.; Riopel, M.; Blais, J.G. Non-graphical Solutions for Cattell’s Scree Test. Methodology 2013, 9, 23–29. [Google Scholar] [CrossRef]
- Crawford, A.V.; Green, S.B.; Levy, R.; Lo, W.J.; Scott, L.; Svetina, D.; Thompson, M.S. Evaluation of parallel analysis methods for determining the number of factors. Educ. Psychol. Meas. 2010, 70, 885–901. [Google Scholar] [CrossRef]
- Parry, D.H.; McArdle, J.J. An Applied Comparison of Methods for Least-Squares Factor Analysis of Dichotomous Variables. Appl. Psychol. Meas. 1991, 15, 35–46. [Google Scholar] [CrossRef]
- Weng, L.J.; Cheng, C.P. Parallel Analysis with Unidimensional Binary Data. Educ. Psychol. Meas. 2005, 65, 697–716. [Google Scholar] [CrossRef]
- Mulaik, S. Foundations of Factor Analysis, 2nd ed.; Chapman & Hall/CRC: Boca Raton, FL, USA, 2010. [Google Scholar]
- Golino, H.F.; Epskamp, S. Exploratory Graph Analysis: A New Approach for Estimating the Number of Dimensions in Psychological Research. PLoS ONE 2017, 12, e0174035. [Google Scholar] [CrossRef] [PubMed]
- Golino, H.F.; Demetriou, A. Estimating the Dimensionality of Intelligence like Data using Exploratory Graph Analysis. Intelligence 2017, 62, 54–57. [Google Scholar] [CrossRef]
- Rodriguez, A.; Reise, S.P.; Haviland, M.G. Applying Bifactor Statistical Indices in the Evaluation of Psychological Measures. J. Pers. Assess. 2016, 98, 223–237. [Google Scholar] [CrossRef]
- Rodriguez, A.; Reise, S.P.; Haviland, M.G. Evaluating bifactor models: Calculating and interpreting statistical indices. Psychol. Methods 2016, 21, 137–150. [Google Scholar] [CrossRef] [PubMed]
- Reise, S.P.; Scheines, R.; Widaman, K.; Haviland, M. Multidimensionality and Structural Coefficient Bias in Structural Equation Modelling: A Bifactor Perspective. Educ. Psychol. Meas. 2013, 73, 5–26. [Google Scholar] [CrossRef]
- Reise, S.P.; Bonifay, W.; Haviland, M.G. Bifactor modelling and the evaluation of scale scores. In The Wiley Handbook of Psychometric Testing: A Multidisciplinary Reference on Survey, Scale and Test Development, 1st ed.; Irwing, P., Booth, T., Hughes, D.J., Eds.; John Wiley & Sons Ltd.: Hoboken, NJ, USA, 2018; Volume 2, pp. 675–707. [Google Scholar]
- Garcia-Garzon, E.; Abad, F.J.; Garrido, L.E. Improving Bi-factor Exploratory Modelling: Empirical Target Rotation Based on Loading Differences. Methodology 2019, 15, 45–55. [Google Scholar] [CrossRef]
- Mai, Y.; Zhang, Z.; Wen, Z. Comparing Exploratory Structural Equation Modeling and Existing Approaches for Multiple Regression with Latent Variables. Struct. Equ. Model. 2018, 25, 737–749. [Google Scholar] [CrossRef]
- Abad, F.J.; Garcia-Garzon, E.; Garrido, L.E.; Barrada, J.R. Iteration of Partially Specified Target Matrices: Application to the Bi-Factor Case. Multivar. Behav. Res. 2017, 52, 416–429. [Google Scholar] [CrossRef] [PubMed]
- Asparouhov, T.; Muthen, B. Exploratory Structural Equation Modeling. Struct. Equ. Model. 2009, 16, 397–438. [Google Scholar] [CrossRef]
- Mansolf, M.; Reise, S.P. Exploratory Bifactor Analysis: The Schmid-Leiman Orthogonalization and Jennrich-Bentler Analytic Rotations. Multivar. Behav. Res. 2016, 51, 695–717. [Google Scholar] [CrossRef]
- Lorenzo-Seva, U.; Ferrando, P.J. A General Approach for Fitting Pure Exploratory Bifactor Models. Multivar. Behav. Res. 2019, 54, 15–30. [Google Scholar] [CrossRef] [PubMed]
- Lorenzo-Seva, U. Promin: A Method for Oblique Factor Rotation. Multivar. Behav. Res. 1999, 34, 347–365. [Google Scholar] [CrossRef]
- Jennrich, R.I.; Bentler, P. Exploratory Bi-factor Analysis. Psychometrika 2011, 76, 537–549. [Google Scholar] [CrossRef]
- Jennrich, R.I.; Bentler, P. Exploratory Bi-factor Analysis: The Oblique Case. Psychometrika 2012, 77, 442–454. [Google Scholar] [CrossRef] [PubMed]
- R Core Team. R: A Language and Environment for Statistical Computing; R Foundation for Statistical Computing: Vienna, Austria, 2019; Available online: https: //www.R-project.org/ (accessed on 20 June 2019).
- Allaire, J.J.; Xie, Y.; McPherson, J.; Luraschi, J.; Ushey, K.; Atkins, A.; Wickham, H.; Cheng, J.; Chang; Iannone, R. Rmarkdown: Dynamic Documents for R. R Package Version 1.12. 2019. Available online: https://rmarkdown.rstudio.com (accessed on 20 June 2019).
- Aust, F.; Barth, M. Papaja: Prepare Reproducible APA Journal Articles with R Markdown. R Package Version 0.1.0.9842. 2018. Available online: https://github.com/crsh/papaja (accessed on 20 June 2019).
- Epskamp, S.; Cramer, A.O.J.; Waldorp, L.J.; Schmittmann, V.D.; Borsboom, D. Qgraph: Network Visualizations of Relationships in Psychometric Data. J. Stat. Softw. 2012, 48, 1–19. Available online: http://jstatsoft.org&v48/i04/ (accessed on 20 June 2019).
- Revelle, W. Psych: Procedures for Personality and Psychological Research; Northwestern University: Evanston, IL, USA, 2018; Available online: https://www.scholars.northwestern.edu/en/publications/psych-procedures-for-personality-and-psychological-research (accessed on 20 June 2019).
- Golino, H. EGA: Exploratory Graph Analysis: Estimating the Number of Dimensions in Psychological Data. 2019. Available online: http://github.com/hfgolino/EGA (accessed on 20 June 2019).
- Rosseel, Y. lavaan: An R Package for Structural Equation Modeling. J. Stat. Softw. 2012, 48, 1–36. Available online: http://www.jstatsoft.org/v48/i02 (accessed on 20 June 2019). [CrossRef]
- Jorgensen, T.D.; Pornprasertmanit, S.; Schoemann, A.M.; Rosseel, Y. SemTools: Useful Tools for Structural Equation Modeling. R Package Version 0.5-1. 2018. Available online: https://CRAN.R-project.org/package=semTools (accessed on 20 June 2019).
- Viladrich, C.; Angulo-Brunet, A.; Doval, E. A Journey Around Alpha and Omega to Estimate Internal Consistency Reliability. Ann. Psychol. 2017, 33, 755–782. [Google Scholar] [CrossRef]
- Bernaards, C.A.; Jennrich, R.I. Gradient Projection Algorithms and Software for Arbitrary Rotation Criteria in Factor Analysis. Educ. Psychol. Meas. 2005, 65, 676–696. [Google Scholar] [CrossRef]
- Little, T.D.; Rhemtulla, M.; Gibson, K.; Schoemann, A.M. Why the Items versus Parcels Controversy Needn’t Be one. Psychol. Methods 2013, 18, 285–300. [Google Scholar] [CrossRef] [PubMed]
- Estrada, E.; Román, F.J.; Abad, F.J.; Colom, R. Separating power and speed components of standardized intelligence measures. Intelligence 2017, 61, 159–168. [Google Scholar] [CrossRef]
- Carroll, J.B. The effect of difficulty and chance success on correlations between items or between tests. Psychometrika 1945, 10, 1–19. [Google Scholar] [CrossRef]
- DeMars, C.E. Revised Parallel Analysis with Nonnormal Ability and a Guessing Parameter. Educ. Psychol. Meas. 2019, 79, 151–169. [Google Scholar] [CrossRef] [PubMed]
- Abad, F.J.; Sorrel, M.A.; Garcia, L.F.; Aluja, A. Modeling General, Specific, and Method Variance in Personality Measures: Results for ZKA-PQ and NEO-PI-R. Assessment 2018, 25, 959–977. [Google Scholar] [CrossRef]
| 1 | Specific factor omega hierarchical and PUC are only computable for confirmatory solutions. Estimating such statistics in exploratory models would require researchers to decide which items or correlations are being considered by the specific factors. |
| 2 | Using other extraction methods (i.e., ordinary least squares) led to similar conclusions regarding the underlying dimensionality, but for weighted and generalized least squares, which suggested to retain three factors and two components. |
| 3 | Using alternative oblique rotations (i.e., oblimin, promax, geomin) resulted in factor structures with a similar distribution of loadings and size. Main differences were small in magnitude, and mostly affected the inter-factor correlation size. |





| Unidim. | Unidim.M. | BID.EFA | BID.CFA | BEFA | BCFA | |||||
|---|---|---|---|---|---|---|---|---|---|---|
| Item | G | G | S1 | S2 | S1 | S2 | G | S1 | G | S |
| SPM1 | 0.47 | 0.48 | 0.59 | −0.08 | 0.50 | 0.00 | 0.54 | −0.12 | 0.50 | 0.00 |
| SPM2 | 0.72 | 0.74 | 0.93 | −0.15 | 0.76 | 0.00 | 0.82 | −0.22 | 0.77 | 0.00 |
| SPM3 | 0.72 | 0.73 | 0.88 | −0.09 | 0.76 | 0.00 | 0.81 | −0.16 | 0.76 | 0.00 |
| SPM4 | 0.92 | 0.84 | 0.55 | 0.41 | 0.89 | 0.00 | 0.81 | 0.25 | 0.88 | 0.00 |
| SPM5 | 0.94 | 0.87 | 0.67 | 0.30 | 0.91 | 0.00 | 0.86 | 0.15 | 0.91 | 0.00 |
| SPM6 | 0.81 | 0.83 | 0.75 | 0.17 | 0.85 | 0.00 | 0.85 | 0.05 | 0.85 | 0.00 |
| SPM7 | 0.66 | 0.67 | 0.30 | 0.47 | 0.00 | 0.71 | 0.60 | 0.33 | 0.62 | 0.30 |
| SPM8 | 0.70 | 0.71 | 0.23 | 0.58 | 0.00 | 0.75 | 0.61 | 0.42 | 0.62 | 0.40 |
| SPM9 | 0.61 | 0.61 | 0.20 | 0.50 | 0.00 | 0.65 | 0.53 | 0.36 | 0.52 | 0.39 |
| SPM10 | 0.79 | 0.80 | 0.43 | 0.48 | 0.00 | 0.85 | 0.74 | 0.32 | 0.76 | 0.27 |
| SPM11 | 0.62 | 0.63 | −0.04 | 0.75 | 0.00 | 0.66 | 0.44 | 0.58 | 0.44 | 0.63 |
| SPM12 | 0.53 | 0.54 | −0.38 | 1.00 | 0.00 | 0.57 | 0.28 | 0.80 | 0.31 | 0.73 |
| φ | - | - | 0.56 | 0.82 | 0.00 | 0.00 | ||||
| SPM4-SPM5 | - | 0.69 | 0.70 | 0.56 | 0.70 | 0.57 | ||||
| Np | df | p | CFI | TLI | RMSEA | SRMR | ||
|---|---|---|---|---|---|---|---|---|
| Unidim. | 24 | 54 | 221.75 | 0.00 | 0.95 | 0.93 | 0.08 (0.07–0.09) | 0.11 |
| Unidim.M. | 25 | 53 | 205.88 | 0.00 | 0.95 | 0.94 | 0.08 (0.07–0.08) | 0.11 |
| BID.EFA/BEFA. | 36 | 42 | 80.50 | 0.00 | 0.99 | 0.98 | 0.04 (0.03–0.06) | 0.06 |
| BID.CFA | 26 | 52 | 160.69 | 0.00 | 0.96 | 0.96 | 0.07 (0.05–0.08) | 0.09 |
| BCFA | 31 | 47 | 113.72 | 0.00 | 0.98 | 0.97 | 0.05 (0.04, 0.07) | 0.07 |
© 2019 by the authors. Licensee MDPI, Basel, Switzerland. This article is an open access article distributed under the terms and conditions of the Creative Commons Attribution (CC BY) license (http://creativecommons.org/licenses/by/4.0/).
Share and Cite
Garcia-Garzon, E.; Abad, F.J.; Garrido, L.E. Searching for G: A New Evaluation of SPM-LS Dimensionality. J. Intell. 2019, 7, 14. https://doi.org/10.3390/jintelligence7030014
Garcia-Garzon E, Abad FJ, Garrido LE. Searching for G: A New Evaluation of SPM-LS Dimensionality. Journal of Intelligence. 2019; 7(3):14. https://doi.org/10.3390/jintelligence7030014
Chicago/Turabian StyleGarcia-Garzon, Eduardo, Francisco J. Abad, and Luis E. Garrido. 2019. "Searching for G: A New Evaluation of SPM-LS Dimensionality" Journal of Intelligence 7, no. 3: 14. https://doi.org/10.3390/jintelligence7030014
APA StyleGarcia-Garzon, E., Abad, F. J., & Garrido, L. E. (2019). Searching for G: A New Evaluation of SPM-LS Dimensionality. Journal of Intelligence, 7(3), 14. https://doi.org/10.3390/jintelligence7030014
