Reading and Writing Abilities in Students with Mild Nonspecific Intellectual Disability: A Multivariate Examination of Literacy and Cognitive Processing Abilities
Abstract
1. Introduction
Aims of the Present Study
2. Materials and Methods
2.1. Participants
2.2. Measures
2.3. Procedure
2.4. Analytical Strategy
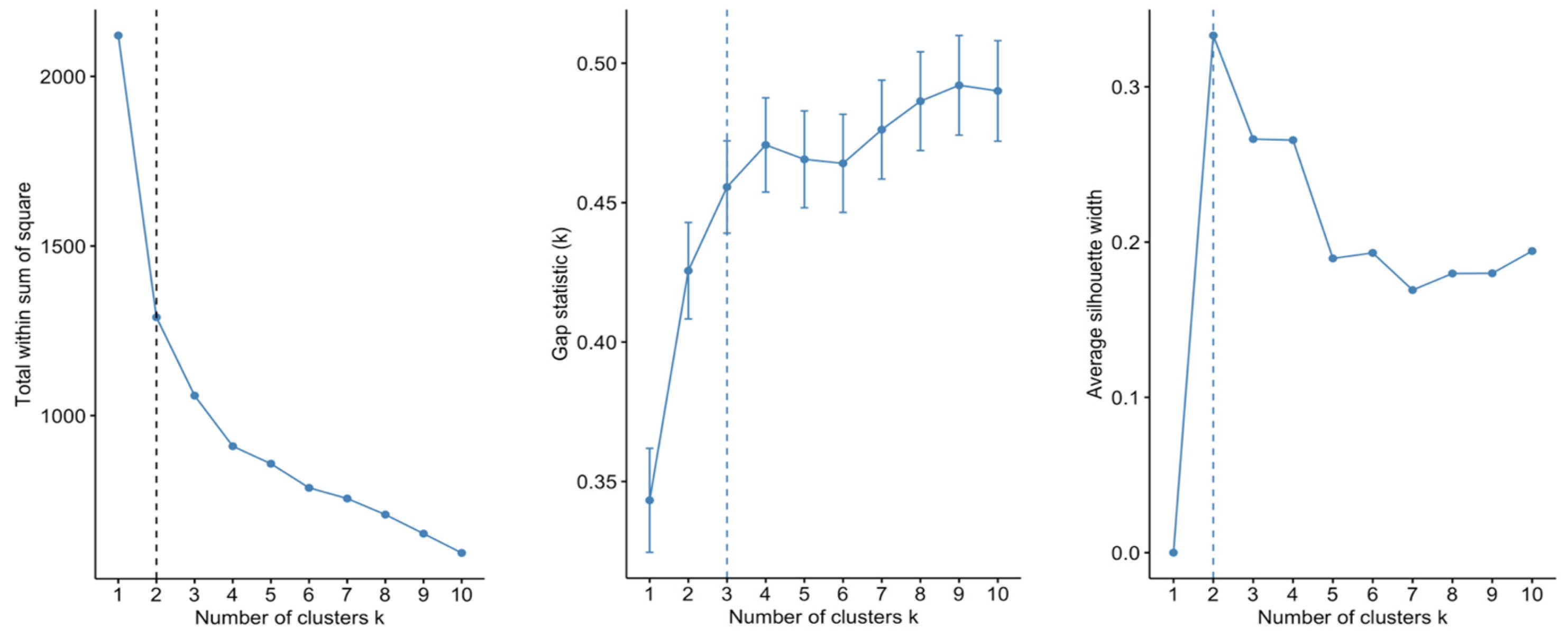
2.4.1. Identification of Cognitive–Linguistic Processing Profiles Using Fuzzy Clustering
2.4.2. Comparative Analyses Using Matched Demographic Samples
2.4.3. Estimating Developmental Age Equivalents for Reading and Writing Skills
2.5. Data Preparation and Software
3. Results
3.1. Cognitive–Linguistic Processing Profiles
3.2. Group Comparisons of Cognitive–Linguistic Processing Skills
3.3. Developmental Age Equivalents in Literacy-Related Skills
4. Discussion
4.1. Cognitive Underpinnings: CHC Model Perspective
4.2. Implications for Practice
4.3. Limitations and Future Directions
- Employing longitudinal designs to investigate developmental literacy trajectories and potential late-adolescent declines.
- Examining the interplay between students’ cognitive profiles and educational context (e.g., school type, instructional methods).
- Assessing comorbid reading disabilities in individuals with weaker cognitive–linguistic profiles to refine intervention strategies.
- Expanding samples of students with mild NSID across diverse cultural and educational contexts to enhance the generalisability of findings.
5. Conclusions
Author Contributions
Funding
Institutional Review Board Statement
Informed Consent Statement
Data Availability Statement
Conflicts of Interest
Abbreviations
| CHC | Carroll–Horn–Cattell |
| DLD | developmental learning disorder |
| FCM | fuzzy C-means clustering |
| Ga | auditory processing |
| Grw | reading and writing skills |
| Gs | processing speed |
| ICD-11 | International Classification of Diseases 11th Revision |
| ID | intellectual disability |
| IQ | intelligence quotient |
| LOESS | local regression methods |
| NSID | nonspecific intellectual disability |
| PCA | principal component analysis |
| RAN | rapid automatised naming |
| SB6/18 | Specialist Battery for the Diagnosis of Cognitive Abilities and School Skills |
Appendix A
- (1)
- Structure of the Specialist Battery for the Diagnosis of Cognitive Abilities and School Skills (SB6/18) Diagnostic Tool
| Scale | Subscale | Test/Indicator |
|---|---|---|
| I. Visual–spatial processing | Visualisation | Visual analysis and synthesis |
| Rotation speed | Figure rotation | |
| Perceptual organisation | Gdańsk figure—copy | |
| Visual memory | Gdańsk figure—memory | |
| Visual–motor coordination | Gdańsk figure—coordination indicators | |
| II. Auditory–linguistic processing | Phonetic coding–linguistic aspect | Syllabic and phonemic analysis and synthesis |
| Paronym analysis | ||
| Phonetic coding–cognitive complexity | Syllabic inversion and spoonerisms | |
| Resistance to auditory distractors | Auditory distractors | |
| III. Processing speed | Perceptual speed | Symbols, pair crossing, rapid naming |
| Verbal processing speed | True/false sentences—time | |
| IV. Long-term memory | Associative memory | Associations |
| Semantic memory | Recall | |
| V. Knowledge | General knowledge | Where? What? |
| Lexical knowledge | Synonyms, antonyms | |
| VI. Reading and writing | Decoding | Pseudowords |
| Reading comprehension | Letter recognition, reading aloud, true/false sentences, gap sentences, new planet | |
| Writing | Words, sentences, and written statement | |
| Orthography | Dictation |
| Scale | Assessed Function or Skill |
|---|---|
| Visual–spatial processing | Cognitive abilities related to processing and interpreting visual–spatial information, including shapes, sizes, orientation, and spatial relationships. |
| Auditory–linguistic processing | Abilities to differentiate, memorise, and process auditory stimuli such as phonemes and syllables and to comprehend and interpret verbal information. |
| Processing speed | Speed and automaticity in executing repetitive, simple tasks under attentional control. |
| Long-term memory | Ability to acquire, store, and consolidate new information over time. |
| Knowledge | Scope of general and lexical knowledge acquired through experience and education. |
| Reading and writing | Basic school skills required for continued education and independent functioning in the world. |
| Test/Indicator | Assessed Function or Skill |
|---|---|
| Rapid naming | Speed of visual information processing and lexical access. |
| True/false sentences—time | Verbal information processing speed. |
| Associations | Ability to memorise and link information through associations. |
| Recall | Ability to retrieve information from memory after a single hearing. |
| Where?/what? | Scope of general knowledge. |
| Synonyms/antonyms | Lexical knowledge. |
| Pseudowords | Phonological decoding. |
| Letter recognition | Letter recognition skills. |
| Reading aloud | Effectiveness of reading aloud with comprehension. |
| True/false sentences | Reading comprehension and logical reasoning. |
| Gaps in sentences/new planet | Semantic comprehension and silent reading comprehension. |
| Written words, sentences | Writing competence. |
| Dictation | Spelling and short-term memory. |
| Test/Indicator | Description |
|---|---|
| Pseudowords | Participants read aloud a list of pseudowords with increasing phonological complexity in one minute. The number of accurately read pseudowords served as a measure of phonological decoding efficiency. |
| Letter recognition | Name the letters indicated by the diagnostician. |
| Reading aloud | Children read short sentences aloud and decide whether each sentence is true or false, providing a measure of oral reading with basic sentence-level comprehension rather than isolated word reading. |
| True/false sentences | Read the sentences silently and simultaneously assess their meaning (true or false). |
| Sentences with gaps | Silently read the sentences containing gaps and mark the words that best complete them (to choose from 3). |
| New planet | Silently read a short text of the story and then answer specific questions about its content. |
| Dictation | Write down the text dictated to them correctly in terms of spelling and punctuation. |
| Syllable and phoneme analysis and synthesis | Segment words into individual syllables or phonemes (analysis) and combine individual sounds or syllables to form complete words (synthesis). |
| Analysis of paronyms | Determine whether two presented words are identical or different. If the words are different, the participants must specify which phonemes differentiate them. |
| Syllable inversion and spoonerisms | Swap the positions of syllables in two-syllable words, while the “spoonerisms” part requires them to exchange the initial syllables of two-word phrases. |
| Auditory distractors | Answer questions presented through headphones, which are obscured by white noise and randomly spoken syllables. |
| Symbols | Fill in designated symbols in blank spaces beneath illustrations, with each drawing corresponding to a specific symbol. |
| Crossing out pairs | Identify and cross out each instance of the specified pair “cat–clock” from a series of stimuli presented in a specific order. |
| Quick naming | Quickly name represented objects. |
| True/false sentences—time | The time taken by the participant to complete the “true/false sentences” task. |
| Visual analysis and synthesis | Analyse and synthesise visual stimuli, reconstructing shapes and visual information. |
| Figure rotation | Mentally rotate geometric figures to determine matching shapes. |
| Gdańsk figure—copy | Copy a complex figure by analysing its visual structure. |
| Gdańsk figure—memory | Recall and reproduce a previously shown visual figure. |
| Gdańsk figure—coordination | Perform tasks requiring visual–motor coordination, combining hand movements with visual input. |
| Associations | Memorise pairs of items and later recall the associated element when prompted. |
| Recall | Hear short narratives and recall them from memory. |
| Where? | Answer general knowledge questions about spatial or factual concepts. |
| What? | Answer questions probing common knowledge and vocabulary. |
| Synonyms | Identify words with similar meanings from a list of options. |
| Antonyms | Identify words with opposite meanings from a list of options. |
| Words, sentences, and written statement | Write the given words and sentences and create a short written statement. |
- (2)
- Psychometric Properties of Specialist Battery for the Diagnosis of Cognitive Abilities and School Skills (SB6/18)
| Scale | Subscale | Test/Indicator | Reliability (Cronbach’s α/Test–Retest) | Validity |
|---|---|---|---|---|
| Visual–spatial processing | Visualisation | Visual analysis and synthesis | α = 0.91 | Strong structural agreement, correlations with TONI-4 * |
| Visual–spatial processing | Rotation speed | Figure rotations | α = 0.88 | Correlations with fluid intelligence tests |
| Visual–spatial processing | Perceptual organisation, visual memory | Gdańsk figure—copy, memory | α = 0.89 | Confirmed validity based on structural model |
| Visual–spatial processing | Visuomotor coordination | Gdańsk figure—coordination indicators | α = 0.86 | Correlations with psychomotor coordination tests |
| Auditory–linguistic processing | Phonetic coding–linguistic aspect | Syllabic and phonemic analysis, paronyms | α = 0.92 | Strong relations with speech and reading comprehension |
| Auditory–linguistic processing | Phonetic coding–cognitive complexity | Syllable inversion and spoonerisms | α = 0.89 | Associations with decoding skills |
| Auditory–linguistic processing | Resistance to auditory distractors | Auditory distractors | α = 0.86 | Confirmed construct validity |
| Processing speed | Perceptual speed | Symbols, pair cancellation | α = 0.90 | Strong correlations with information processing speed |
| Processing speed | Verbal information processing speed | True/false sentences—time | α = 0.85 | Consistency with SB5 ** outcomes |
| Long-term memory | Associative memory | Associations | α = 0.88 | Strong relations with TOMAL-2 *** |
| Long-term memory | Semantic memory | Recall | α = 0.89 | Consistency with semantic memory performance |
| Knowledge | General knowledge | Where? What? | α = 0.87 | Correlations with crystallised knowledge |
| Knowledge | Lexical knowledge | Synonyms, antonyms | α = 0.88 | Links with vocabulary breadth |
| Reading and writing | Decoding | Pseudowords | α = 0.90 | Validity regarding reading difficulties |
| Reading and writing | Comprehension | Letter recognition, oral reading, true/false sentences, Cloze sentences, new planet | α = 0.91 | Correlations with text comprehension and phonology |
| Reading and writing | Writing | Words, sentences, and written expression | α = 0.87 | Validity regarding writing ability |
| Reading and writing | Orthography | Dictation | α = 0.88 | Strong links with dysorthographia diagnosis |
Appendix B

References
- Abbeduto, Leonard, Steven F. Warren, and Frances A. Conners. 2007. Language development in Down syndrome: From the prelinguistic period to the acquisition of literacy. Mental Retardation and Developmental Disabilities Research Reviews 13: 247–61. [Google Scholar] [CrossRef]
- Allor, Jill H., Patricia G. Mathes, J. Kyle Roberts, Jennifer P. Cheatham, and Stephanie Al Otaiba. 2014. Is scientifically based reading instruction effective for students with below–average IQs? Exceptional Children 80: 287–306. [Google Scholar] [CrossRef]
- Araújo, Susana, Alexandra Reis, Karl Magnus Petersson, and Luis Faísca. 2015. Rapid automatized naming and reading performance: A meta–analysis. Journal of Educational Psychology 107: 868–83. [Google Scholar] [CrossRef]
- Babuska, Robert. 2001. Fuzzy and Neural Control. Delft: Delft University of Technology. Available online: https://tr.scribd.com/document/209211977/Fuzzy–and–Neural–Control (accessed on 17 September 2025).
- Barker, R. Michael, Rose A. Sevcik, Robin D. Morris, and Mary Ann Romski. 2013. A Model of Phonological Processing, Language, and Reading for Students with Mild Intellectual Disability. American Journal on Intellectual and Developmental Disabilities 118: 365–80. [Google Scholar] [CrossRef] [PubMed][Green Version]
- Bezdek, James. 1981. Pattern Recognition with Fuzzy Objective Function Algorithms. Berlin: Springer. Available online: https://link.springer.com/book/10.1007/978-1-4757-0450-1 (accessed on 19 November 2025).
- Castles, Anne, and Max Coltheart. 2004. Is there a causal link from phonological awareness to success in learning to read? Cognition 91: 77–111. [Google Scholar] [CrossRef]
- Channell, Marie Moore, Susan J. Loveall, and Frances A. Conners. 2013. Strengths and weaknesses in reading skills of youth with intellectual disabilities. Research in Developmental Disabilities 34: 776–87. [Google Scholar] [CrossRef]
- Charrad, Malika, Nadia Ghazzali, Veronique Boiteau, and Azam Niknafs. 2014. NbClust: An R package for determining the relevant number of clusters in a data set. Journal of Statistical Software 61: 1–36. [Google Scholar] [CrossRef]
- Cleveland, William S., and Catherine Loader. 1996. Smoothing by local regression: Principles and methods. In Statistical Theory and Computational Aspects of Smoothing. Edited by Wolfgang Härdle and Michael G. Schimek. Heidelberg: Contributions to Statistics. [Google Scholar]
- Di Blasi, Francesco Domenico, Serafino Buono, Santina Città, Angela Antonia Costanzo, and Pierluigi Zoccolotti. 2018. Reading deficits in intellectual disability are still an open question: A narrative review. Brain Sciences 8: 146. [Google Scholar] [CrossRef]
- Dunn, Joseph C. 1973. A fuzzy relative of the ISODATA process and Its use in detecting compact well–separated clusters. Journal of Cybernetics 3: 32–57. [Google Scholar] [CrossRef]
- Henry, Lucy, and Jill Winfield. 2010. Working memory and educational achievement in children with intellectual disabilities. Journal of Intellectual Disability Research 54: 354–65. [Google Scholar] [CrossRef]
- Holm, S. 1979. A simple sequentially rejective multiple test procedure. Scandinavian Journal of Statistics 6: 65–70. Available online: http://www.jstor.org/stable/4615733 (accessed on 17 September 2025).
- Jurek, Paweł, Michał Olech, Bartosz Mikołaj Radtke, and Urszula Sajewicz-Radtke. 2024. Specjalistyczna Bateria Diagnozy Zdolności Poznawczych i Umiejętności Szkolnych SB6/18. Podręcznik Techniczny. [Specialist Battery for the Diagnosis of Cognitive Abilities and School Skills (SB6/18). Technical Manual]. Pracownia Testów Psychologicznych i Pedagogicznych [Laboratory of Psychological and Educational Tests]. Available online: https://repozytorium.bg.ug.edu.pl/info/book/UOGc5536095de2346c18da13109d5f6563d/ (accessed on 17 September 2025).
- Kassambara, Alboukadel. 2023. Rstatix: Pipe–Friendly Framework for Basic Statistical Tests (Version 0.7.2) [Computer Software]. Available online: https://cran.r-project.org/package=rstatix (accessed on 17 September 2025).
- Kassambara, Alboukadel, and Fabian Mundt. 2020. Factoextra: Extract and Visualize the Results of Multivariate Data Analyses. In (Version 1.0.7). Available online: https://cran.r-project.org/package=factoextra (accessed on 17 September 2025).
- Kirby, John, Rauno Parrila, and Shannon L. Pfeiffer. 2003. Naming Speed and Phonological Awareness as Predictors of Reading Development. Journal of Educational Psychology 95: 453–464. [Google Scholar] [CrossRef]
- Koritsas, Stella, and Teresa Iacono. 2011. Secondary conditions in people with developmental disability. American Journal on Intellectual Developmental Disabilities 116: 36–47. [Google Scholar] [CrossRef] [PubMed]
- Laing, Emma, Charles Hulme, Julia Grant, and Annette Karmiloff Smith. 2001. Learning to read in Williams syndrome: Looking beneath the surface of atypical reading development. Journal of Child Psychology and Psychiatry 42: 729–39. [Google Scholar] [CrossRef] [PubMed]
- Lemons, Christopher J., and Douglas Fuchs. 2010. Phonological awareness of children with Down syndrome: Its role in learning to read and the effectiveness of related interventions. Research in Developmental Disabilities 31: 316–30. [Google Scholar] [CrossRef]
- Lettington, J., and Jo Van Herwegen. 2024. Home literacy environment and literacy outcomes in individuals with Williams syndrome and Down syndrome. Journal of Intellectual & Developmental Disability 49: 67–83. [Google Scholar] [CrossRef]
- Lifshitz, Hefziba, Jay Verkuilen, Shlomit Shnitzer-Meirovich, and Carmit Altman. 2018. Crystallized and fluid intelligence of university students with intellectual disability who are fully integrated versus those who studied in adapted enrichment courses. PLoS ONE 13: e0193351. [Google Scholar] [CrossRef]
- McGrew, Kevin S. 2009. CHC theory and the human cognitive abilities project: Standing on the shoulders of the giants of psychometric intelligence research. Intelligence 37: 1–10. [Google Scholar] [CrossRef]
- McGrew, Kevin S., and Jeffrey Evans. 2023. Internal and External Factorial Extensions to the Cattell–Horn–Carroll (CHC) Theory of Cognitive Abilities: A Review of Factor Analytic Research Since Carroll’s Seminal 1993 Treatise. Institute for Applied Psychometrics. Available online: https://www.researchgate.net/profile/Kevin-Mcgrew/publication/268205730_Internal_and_External_Factorial_Extensions_to_the_Cattell-Horn-Carroll_CHC_Theory_of_Cognitive_Abilities_A_Review_of_Factor_Analytic_Research_Since_Carroll's_Seminal_1993_Treatise/links/54b1723e0cf28ebe92e08c60/Internal-and-External-Factorial-Extensions-to-the-Cattell-Horn-Carroll-CHC-Theory-of-Cognitive-Abilities-A-Review-of-Factor-Analytic-Research-Since-Carrolls-Seminal-1993-Treatise.pdf (accessed on 17 September 2025).
- Melby-Lervåg, Monica, Solveig-Alma Halaas Lyster, and Charles Hulme. 2012. Phonological skills and their role in learning to read: A meta–analytic review. Psychological Bulletin 138: 322–52. [Google Scholar] [CrossRef]
- Næss, Kari Anne, Monica Melby– Lervåg, Charles Hulme, and Solveig Alma Halaas Lyster. 2012. Reading skills in children with Down syndrome: A meta–analytic review. Research in Developmental Disabilities 33: 737–47. [Google Scholar] [CrossRef]
- Nilsson, Karin, Åsa Elwér, David Messer, and Henrik Danielsson. 2025. Cognitive and language abilities associated with reading in intellectual disability: A systematic review and meta–analysis. Remedial and Special Education, 07419325251328644. [Google Scholar] [CrossRef]
- Parrila, Rauno, John R. Kirby, and Lynn McQuarrie. 2004. Articulation rate, naming speed, verbal short–term memory, and phonological awareness: Longitudinal predictors of early reading development? Scientific Studies of Reading 8: 3–26. [Google Scholar] [CrossRef]
- Radtke, Bartosz Mikołaj, and Urszula Sajewicz-Radtke. 2024. Specjalistyczna bateria diagnozy zdolności poznawczych i umiejętności szkolnych SB6/18 [Specialist Battery for the Diagnosis of Cognitive Abilities and School Skills (SB6/18). Diagnostic Tool]. Gdańsk: Pracownia Testów Psychologicznych i Pedagogicznych [Laboratory of Psychological and Educational Tests]. [Google Scholar]
- Ratz, Christoph, and Wolfgang Lenhard. 2013. Reading skills among students with intellectual disabilities. Research in Developmental Disabilities 34: 1740–48. [Google Scholar] [CrossRef] [PubMed]
- R Core Team. 2025. R: A Language and Environment for Statistical Computing. R Foundation for Statistical Computing. Available online: https://www.r-project.org/ (accessed on 17 September 2025).
- Roch, Maja, and Christopher Jarrold. 2008. A comparison between word and nonword reading in Down syndrome: The role of phonological awareness. Journal of Communication Disorders 41: 305–18. [Google Scholar] [CrossRef] [PubMed]
- Sajewicz-Radtke, Urszula, Ariadna Łada- Maśko, Michał Olech, Krzysztof J. Leoniak, and Bartosz Mikołaj Radtke. 2025. Declarative memory profiles in children with non-specific intellectual disability: A cluster analysis approach. Frontiers in Psychiatry 16: 1581144. [Google Scholar] [CrossRef]
- Schneider, W. Joel, and Kevin S. McGrew. 2018. The Cattell–Horn–Carroll theory of cognitive abilities. In Contemporary Intellectual Assessment: Theories, Tests, and Issues. Edited by Dawn P. Flanagan and Erin M. McDonough. New York: The Guilford Press, pp. 73–163. [Google Scholar]
- Sermier Dessemontet, Rachel, and Anne-Francoise de Chambrier. 2015. The role of phonological awareness and letter—Sound knowledge in the reading development of children with intellectual disabilities. Research in Developmental Disabilities 41–42: 1–12. [Google Scholar] [CrossRef]
- Sermier Dessemontet, Rachel, de Anne Francoise Chambrier, Catherine Martinet, Urs Moser, and N. Bayer. 2017. Exploring phonological awareness skills in children with intellectual disability. American Journal on Intellectual Developmental Disabilities 122: 476–91. [Google Scholar] [CrossRef]
- Share, David L., Rob. McGee, and Phila. A. Silva. 1989. IQ and reading progress: A test of the capacity notion of IQ. Journal of the American Academy of Child & Adolescent Psychiatry 28: 97–100. [Google Scholar] [CrossRef]
- Siegel, Linda S. 1989. IQ Is Irrelevant to the Definition of Learning Disabilities. Journal of Learning Disabilities 22: 469–78. [Google Scholar] [CrossRef]
- Soltani, Amanallah, and Samsilah Roslan. 2013. Contributions of phonological awareness, phonological short-term memory, and rapid automated naming, toward decoding ability in students with mild intellectual disability. Research in Developmental Disabilities 34: 1090–99. [Google Scholar] [CrossRef]
- van Tilborg, Arjan, Eliane Segers, van Hans Balkom, and Ludo Verhoeven. 2014. Predictors of early literacy skills in children with intellectual disabilities: A clinical perspective. Research in Developmental Disabilities 35: 1674–85. [Google Scholar] [CrossRef]
- van Wingerden, Evelien, Eliane Segers, van Hans Balkom, and Ludo Verhoeven. 2017. Foundations of reading comprehension in children with intellectual disabilities. Research in Developmental Disabilities 60: 211–22. [Google Scholar] [CrossRef]
- Verucci, Lorena, Deny Menghini, and Stefano Vicari. 2006. Reading skills and phonological awareness acquisition in Down syndrome. Journal of Intellectual Disabilities Research 50: 477–91. [Google Scholar] [CrossRef]
- Wei, Xin, Jose Blackorby, and Ellen Schiller. 2011. Growth in reading achievement of students with disabilities, ages 7 to 17. Exceptional Children 78: 89–106. [Google Scholar] [CrossRef]
- Wickham, Hadley, Mara Averick, Jennifer Bryan, Winston Chang, Lucy McGowan, Romain François, Garrett Grolemund, Alex Hayes, Lonel Henry, Jim Hester, and et al. 2019. Welcome to the Tidyverse. Journal of Open Source Software 4: 1686. [Google Scholar] [CrossRef]
- World Health Organization. 2022. ICD-11: International Classification of Diseases (11th Revision). Available online: https://icd.who.int/ (accessed on 17 September 2025).
- Ypsilanti, Antonia, George Grouios, Argiro Zikouli, and Konstantinos Hatzinikolaou. 2006. Speed of naming in children with Williams and Down syndromes. Journal of Intellectual Developmental Disabilities 31: 87–94. [Google Scholar] [CrossRef]




| Fit Measure | 2-Cluster Model | 3-Cluster Model |
|---|---|---|
| Fuzzy silhouette index | 0.64 | 0.54 |
| Partition entropy | 0.49 | 0.82 |
| Partition coefficient | 0.68 | 0.52 |
| Modified partition coefficient | 0.36 | 0.28 |
| Davies–Bouldin index | 1.25 | 1.63 |
| Calinski–Harabasz index | 69.00 | 53.43 |
| Cognitive–Linguistic Processing Skills | Individuals with ID Group (M ± SD) | Control Group (M ± SD) | T | Adj. p-Value | Cohen’s d | |
|---|---|---|---|---|---|---|
| Phonetic coding–linguistic aspect | 2.37 ± 1.46 | 5.84 ± 1.92 | 15.05 | <0.01 | 2.03 | Large |
| Phonetic coding–cognitive complexity | 2.73 ± 1.09 | 5.54 ± 1.93 | 13.27 | <0.01 | 1.79 | Large |
| Speed of perception | 2.41 ± 1.30 | 5.51 ± 1.97 | 13.77 | <0.01 | 1.86 | Large |
| Verbal information processing speed | 3.43 ± 2.36 | 5.58 ± 2.28 | 6.89 | <0.01 | 0.93 | Large |
| Decoding | 2.99 ± 2.00 | 5.45 ± 2.14 | 8.82 | <0.01 | 1.19 | Large |
| Reading comprehension | 2.12 ± 1.46 | 4.99 ± 2.16 | 11.54 | <0.01 | 1.56 | Large |
| Writing | 2.99 ± 1.66 | 5.55 ± 2.13 | 9.93 | <0.01 | 1.34 | Large |
Disclaimer/Publisher’s Note: The statements, opinions and data contained in all publications are solely those of the individual author(s) and contributor(s) and not of MDPI and/or the editor(s). MDPI and/or the editor(s) disclaim responsibility for any injury to people or property resulting from any ideas, methods, instructions or products referred to in the content. |
© 2025 by the authors. Licensee MDPI, Basel, Switzerland. This article is an open access article distributed under the terms and conditions of the Creative Commons Attribution (CC BY) license (https://creativecommons.org/licenses/by/4.0/).
Share and Cite
Sajewicz-Radtke, U.; Łada-Maśko, A.B.; Jurek, P.; Olech, M.; Radtke, B.M. Reading and Writing Abilities in Students with Mild Nonspecific Intellectual Disability: A Multivariate Examination of Literacy and Cognitive Processing Abilities. J. Intell. 2025, 13, 161. https://doi.org/10.3390/jintelligence13120161
Sajewicz-Radtke U, Łada-Maśko AB, Jurek P, Olech M, Radtke BM. Reading and Writing Abilities in Students with Mild Nonspecific Intellectual Disability: A Multivariate Examination of Literacy and Cognitive Processing Abilities. Journal of Intelligence. 2025; 13(12):161. https://doi.org/10.3390/jintelligence13120161
Chicago/Turabian StyleSajewicz-Radtke, Urszula, Ariadna Beata Łada-Maśko, Paweł Jurek, Michał Olech, and Bartosz Mikołaj Radtke. 2025. "Reading and Writing Abilities in Students with Mild Nonspecific Intellectual Disability: A Multivariate Examination of Literacy and Cognitive Processing Abilities" Journal of Intelligence 13, no. 12: 161. https://doi.org/10.3390/jintelligence13120161
APA StyleSajewicz-Radtke, U., Łada-Maśko, A. B., Jurek, P., Olech, M., & Radtke, B. M. (2025). Reading and Writing Abilities in Students with Mild Nonspecific Intellectual Disability: A Multivariate Examination of Literacy and Cognitive Processing Abilities. Journal of Intelligence, 13(12), 161. https://doi.org/10.3390/jintelligence13120161

