Stefan Blowing Impacts on Hybrid Nanofluid Flow over a Moving Thin Needle with Thermal Radiation and MHD
Abstract
1. Introduction
2. Mathematical Formulation
3. Entropy Generation
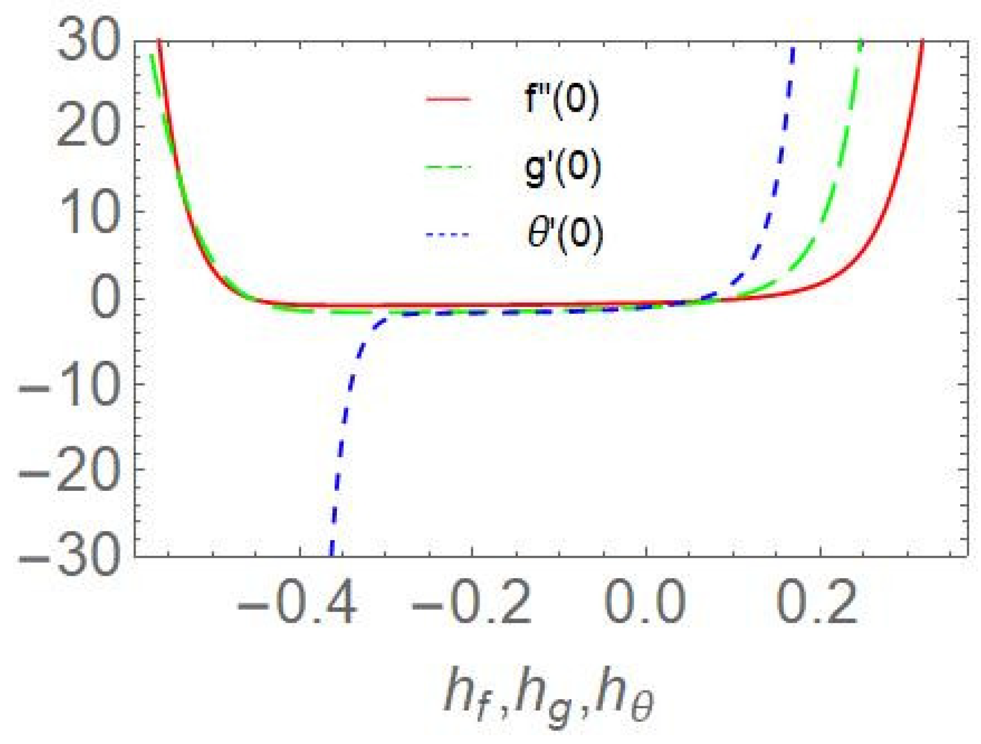
4. Method of Solution
5. Results and Discussion
6. Conclusions
- The range of motion of the velocity profile becomes restricted as the strength of the magnetic field increases.
- As the thermal radiation intensifies, the thermal boundary layer expands.
- Elevating the Stefan blowing parameter results in an increase in the profiles of velocity.
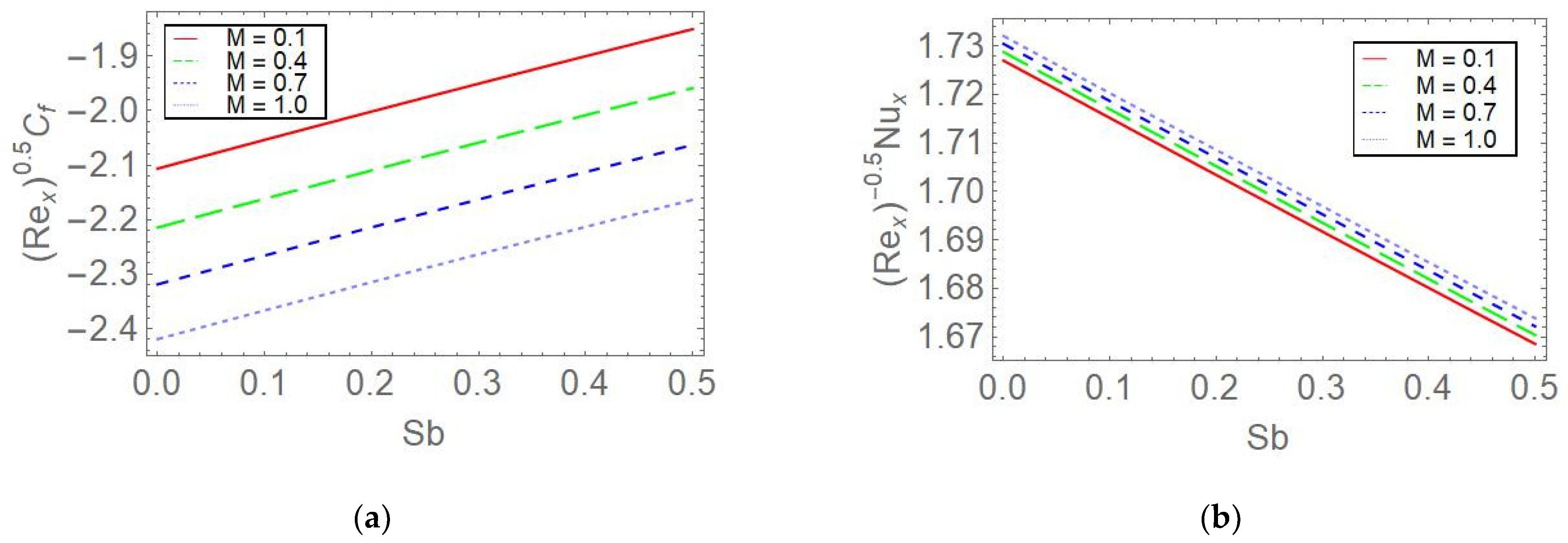
- Raising the magnetic parameter causes a decrease in skin friction but an increase in Nusselt number.
- When Rd varies from 0.1 to 0.4, the heat transfer raises up to 35%.
- As the intensity of thermal radiation rises, the Nusselt number exhibits a corresponding increase.
- Augmenting the Stefan blowing number leads to an increase in skin friction, coupled with a decrease in the Nusselt number and Sherwood number.
- The generation of entropy is enhanced as the Eckert number and diffusion parameter are increased.
Author Contributions
Funding
Data Availability Statement
Conflicts of Interest
Nomenclature
| Stefan blowing parameter | |
| Magnetic field strength | |
| velocity components along x and r directions | |
| c | needle radius (m) |
| ambient temperature (K) | |
| wall concentration | |
| Nusselt number | |
| ambient concentration | |
| velocity at the surface (m s−1) | |
| Stefan-Boltzman Constant | |
| temperature at the surface (K) | |
| specific heat (kg−1 J) | |
| free stream velocity (m s−1) | |
| radiative heat flux (kg m2 s−3) | |
| Skin friction | |
| Sherwood number | |
| mass diffusion coefficient (m2 s −1) | |
| coefficient of mean absorption (c m−1) | |
| C | fluid concentration |
| Local Reynolds number | |
| Greek Symbols | |
| velocity ratio | |
| kinematic viscosity | |
| fluid density | |
| dynamic viscosity of a fluid | |
| Subscripts | |
| nf | nanofluid |
| f | fluid |
| hnf | hybrid nanofluid |
References
- Siti Khuzaimah, S.; Anuar, I.; Ioan, P. Boundary layer flow past a continuously moving thin needle in a nanofluid. Appl. Therm. Eng. 2016, 114, 58–64. [Google Scholar]
- Ghadikolaei, S.S.; Yassari, M.; Sadeghi, H.; Hosseinzadeh, K.; Ganji, D.D. Investigation on thermophysical properties of Tio2-Cu/H2O hybrid nanofluid transport dependent on shape factor in MHD stagnation point flow. Powder Technol. 2017, 322, 425–438. [Google Scholar] [CrossRef]
- Siti Nur, A.S.; Norfifah, B.; Norihan, M.A.; Ioan, P. Stability analysis of mixed convection flow towards a moving thin needle in nanofluid. Appl. Sci. 2018, 8, 842. [Google Scholar]
- Iskandar, W.; Anuar, I.; Ioan, P. Hybrid nanofluid flow past a permeable moving thin needle. Mathematics 2020, 8, 612. [Google Scholar]
- Hassan, W.; Syed Muhammad Raza, S.N.; Alqarni, M.S.; Muhammad, T. Thermal transport in magnetized flow of hybrid nanofluids over a vertical stretching cylinder. Case Stud. Therm. Eng. 2021, 27, 101–219. [Google Scholar]
- Zainal, N.A.; Roslinda, N.; Kohilavani, N.; Ioan, P. Steady analysis of unsteady hybrid nanofluid flow past a permeable stretching/shrinking cylinder. J. Adv. Res. Fluid Mech. Therm. Sci. 2021, 86, 64–75. [Google Scholar] [CrossRef]
- Sivasankaran, S.; Narrein, K. Numerical investigation of two-phase laminar pulsating nanofluid flow in helical microchannel filled with a porous medium. Int. Commun. Heat Mass Transf. 2016, 75, 86–91. [Google Scholar] [CrossRef]
- Sivasankaran, S.; Bhuvaneswari, M. Numerical study on influence of water based hybrid nanofluid and porous media on heat transfer and pressure loss. Case Stud. Therm. Eng. 2022, 34, 102022. [Google Scholar] [CrossRef]
- Sivasankaran, S.; Pan, K.L. Natural convection of nanofluids in a cavity with nonuniform temperature distributions on side walls. Numer. Heat Transf. 2014, 65, 247–268. [Google Scholar] [CrossRef]
- Sivasankaran, S.; Chandrapushpam, T.; Bhuvaneswari, M.; Karthikeyan, S. Effect of chemical reaction on double diffusive MHD squeezing copper water nanofluid flow between parallel plates. J. Mol. Liq. 2022, 368, 120768. [Google Scholar] [CrossRef]
- Sivasankaran, S.; Bhuvaneswari, M.; Alzahrani, A.K. Numerical study on influence of magnetic field and discrete heating on free convection in a porous container. Sci. Iran. Trans. Mech. Eng. B 2022, 29, 3063–3071. [Google Scholar]
- Bhuvaneswari, M.; Sivasankaran, S.; Kim, Y.J. Magnetoconvection in a square enclosure with sinusoidal temperature distributions on both side walls. Numer. Heat Transf. Part A Appl. 2011, 59, 167–184. [Google Scholar] [CrossRef]
- Sivasankaran, S.; Niranjan, H.; Bhuvaneswari, M. Chemical reaction, radiation and slip effects on MHD mixed convection stagnation-point flow in a porous medium with convective boundary condition. Int. J. Numer. Methods Heat Fluid Flow 2017, 27, 454–470. [Google Scholar] [CrossRef]
- Sivanandam, S.; Marimuthu, B. Numerical study on influence of inclination and sinusoidal heating on magneto-convection in an inclined lid-driven cavity. Multidiscip. Model. Mater. Struct. 2023, 19, 361–374. [Google Scholar] [CrossRef]
- Sulochana, C.; Samrat, S.P.; Sandeep, N. Boundary layer analysis of an incessant moving needle in MHD radiative nanofluid with Joule heating. Int. J. Mech. Sci. 2017, 128, 326–331. [Google Scholar] [CrossRef]
- Eswarmoothi, S.; Jagan, K.; Sivasankaran, S. MHD bioconvective flow of a thermally radiative nano liquid in a stratified medium considering gyrotactic microorganisms. J. Phys. 2020, 1597, 012001. [Google Scholar]
- Umair, K.; Zaib, A.; Khan, I.; Dumitru, B.; El-Sayed, M.S. Comparative investigation on MHD nonlinear radiative flow through a moving thin needle comprising two hybridized AA7075 and AA7072 alloys nanomaterials through binary chemical reaction with activation energy. J. Mater. Res. Technol. 2020, 9, 3817–3828. [Google Scholar]
- Iskander, T.; Hossaam, A.; Nabwey, M.; Girinath Reddy, N.; Sandeep; Maddileti, P. Effect of resistive heating on incessant poignant thin needle in magnetohydrodynamics Sakiadis hybrid nanofluid. Ain Shams Eng. J. 2021, 12, 1025–1032. [Google Scholar]
- Reddy, V.S.; Jagan, K.; Sivanandam, S. Impacts of Casson Model on Hybrid Nanofluid Flow over a Moving Thin Needle with Dufour and Soret and Thermal Radiation Effects. Math. Comput. Appl. 2023, 28, 2. [Google Scholar] [CrossRef]
- Sivasankaran, S.; Bhuvaneswari, M.; Amer, A.A. Numerical study on buoyant convection and thermal radiation in a cavity with various thermal sources and Cattaneo-Christov heat flux. Case Stud. Therm. Eng. 2021, 27, 101207. [Google Scholar] [CrossRef]
- Sivasankaran, S.; Bhuvaneswari, M.; Alzahrani, A.K. Numerical simulation on convection of non-Newtonian fluid in a porous enclosure with non-uniform heating and thermal radiation. Alex. Eng. J. 2020, 59, 3315–3323. [Google Scholar] [CrossRef]
- Karthikeyan, S.; Bhuvaneswari, M.; Sivasankaran, S.; Rajan, S. Soret and Dufour effects on MHD mixed convection heat and mass transfer of a stagnation point flow towards a vertical plate in a porous medium with chemical reaction, radiation and heat generation. J. Appl. Fluid Mech. 2016, 9, 1447–1455. [Google Scholar] [CrossRef]
- Niranjan, H.; Sivasankaran, S.; Bhuvaneswari, M. Chemical reaction, Soret and Dufour effects on MHD mixed convection stagnation point flow with radiation and slip condition. Sci. Iran. 2017, 24, 698–706. [Google Scholar] [CrossRef]
- Muhammed, I.A.; Iskander, T.; Muhammed, Q.; Ilyas, K. Nonlinear Roseland thermal radiation and energy dissipation effects on entropy generation in CNTs suspended nanofluids flow over a thin needle. Bound. Value Probl. 2018, 148, 1–14. [Google Scholar]
- Himanshu, U.; Manoj, K. Influence of non-linear radiation, Joule heating and viscous dissipation on the boundary layer flow of MHD nanofluid flow over a thin moving needle. Multidiscip. Model. Mater. Struct. 2020, 16, 208–224. [Google Scholar]
- Sreedevi, P.; Sudarsana, R. Impact of Convective Boundary Condition on Heat and mass transfer of nanofluid flow over a thin needle filled with Carbon nanotubes. J. Nanofluids 2020, 9, 282–292. [Google Scholar] [CrossRef]
- Puneeth, V.; Manjunath, S.; Makinde, O.D.; Gireesha, B.J. Bioconvection of a Radiating Hybrid Nanofluid Past a Thin Needle in the Presence of Heterogeneous–Homogeneous Chemical Reaction. J. Heat Trans. 2021, 143, 042502. [Google Scholar] [CrossRef]
- Haider, S.M.A.; Bagh, A.; Qiuwang, W.; Cunlu, Z. Stefan Blowing Impacts on Unsteady MHD Flow of Nanofluid over a Stretching Sheet with Electric Field, Thermal Radiation and Activation Energy. Coatings 2021, 11, 1048. [Google Scholar] [CrossRef]
- Narayanaswamy, M.K.; Kandasamy, J.; Sivanandam, S. Go-MoS2/Water Flow over a Shrinking Cylinder with Stefan Blowing, Joule Heating, and Thermal Radiation. Math. Comput. Appl. 2022, 27, 110. [Google Scholar] [CrossRef]
- Tiegang, F.; Wei, J. Flow, heat and species transfer over a stretching plate considering coupled Stefan blowing effects from species transfer. Commun. Nonlinear Sci. Numer. Simulat. 2014, 19, 3086–3097. [Google Scholar]
- Shib Sankar, G.; Kalidas, D.; Prabir Kumar, K. Stefan blowing effects on MHD biconvection flow of a nanofluid in the presence of gyrotactic microorganisms with active and passive nanoparticles flux. Eur. Phy. J. Plus 2017, 132, 101. [Google Scholar]
- Amirsom, N.A.; Mohammed, J.U.; Ismail, A.I.M. MHD boundary layer bionanoconvective non-Newtonian flow past a needle with Stefan blowing. Heat Transfer Asian Res. 2018, 48, 727–743. [Google Scholar] [CrossRef]
- Jyothi, A.M.; Naveen Kumar, R.; Punith Gowda, R.J.; Prasannakumara, B.C. Significance of Stefan blowing effect in flow and heat transfer of Casson nanofluid over a moving thin needle. Commun. Theor. Phys. 2021, 8, 8. [Google Scholar] [CrossRef]
- Narayanaswamy, M.N.; Kandasamy, J.; Sivasankaran, S. Impacts of Stefan Blowing on hybrid nanofluid flow over a stretching cylinder with thermal radiation and Dufour and Soret effect. Math. Comput. Appl. 2022, 27, 9. [Google Scholar] [CrossRef]
- Muhammed, I.A.; Tlili, I.; Marjan, G.; Osman, M.; Najeeb, A.M. Irreversibility Analysis of Hybrid nanofluid flow over a thin needle with effects of energy dissipation. Symmetry 2019, 11, 663. [Google Scholar]
- Iskander, T.; Muhammed, R.; Kadry, S.; Hyun-Woo, K.; Yunyoung, N. Radiative Nanofluid flow over a moving thin needle with Entropy generation in a porous medium with Dust particles and Hall current. Entopy 2020, 22, 354. [Google Scholar]
- Gangadhar, K.; Bhanu Lakshmi, K.; Kannan, T.; Ali, J.C. Entropy generation in magnetized Bioconvective nanofluid flow along a vertical cylinder with gyrotatic microorganisms. J. Nanofluids 2020, 9, 302–312. [Google Scholar] [CrossRef]
- Muhammed, R.; Noor Saeed, K.; Poom, K. Mechanical analysis of non-Newtonian nanofluid past a thin needle with dipole effect and entropy characteristics. Sci. Rep. 2021, 11, 19378. [Google Scholar]
- Ogunseye, H.A.; Agbaje, T.M.; Salawu, S.O.; Fatunmbi, E.O. A numerical study of entropy generation in dissipative and radiative Casson hybrid ferrofluid past a thin needle. Res. Sq. 2023, 1–21. [Google Scholar] [CrossRef]
- Jagan, K.; Sivasankaran, S. Three-Dimensional Non-Linearly Thermally Radiated Flow of Jeffrey Nanoliquid towards a Stretchy Surface with Convective Boundary and Cattaneo–Christov Flux. Math. Comput. Appl. 2022, 27, 98. [Google Scholar] [CrossRef]
- Joyce, M.I.; Kandasamy, J.; Sivanandam, S. Entropy Generation of Cu–Al2O3/Water Flow with Convective Boundary Conditions through a Porous Stretching Sheet with Slip Effect, Joule Heating and Chemical Reaction. Math. Comput. Appl. 2023, 28, 18. [Google Scholar] [CrossRef]
- Jagan, K.; Sivasankaran, S. Soret & Dufour and Triple Stratification Effect on MHD Flow with Velocity Slip towards a Stretching Cylinder. Math. Comput. Appl. 2022, 27, 25. [Google Scholar]









| Properties | Hybrid Nanofluid |
|---|---|
| Density | |
| Heat capacity | |
| Dynamic viscosity | |
| Thermal conductivity | |
| Electrical Conductivity |
| Properties | Al2O3 | Cu | Water |
|---|---|---|---|
| 40 | 400 | 0.613 | |
| 765 | 385 | 4179 | |
| 3970 | 8933 | 997.1 |
| Rd | M | Sb | |||
|---|---|---|---|---|---|
| 0.1 | 0.1 | 0.5 | −1.94549 | 1.70681 | 0.74003 |
| 0.4 | −2.08484 | 1.70623 | 0.73979 | ||
| 0.7 | −2.21756 | 1.70568 | 0.73956 | ||
| 1.0 | −2.34425 | 1.70516 | 0.73935 | ||
| 0.1 | 0.1 | 0.1 | −2.05374 | 1.71442 | 0.73540 |
| 0.2 | −2.00182 | 1.70266 | 0.73060 | ||
| 0.3 | −1.9507 | 1.69096 | 0.72583 | ||
| 0.4 | −1.90036 | 1.67933 | 0.72109 | ||
| 0.1 | 0.1 | 0.5 | −1.8508 | 1.66777 | 0.71637 |
| 0.2 | −1.8508 | 1.86173 | 0.71637 | ||
| 0.3 | −1.8508 | 2.05793 | 0.71637 | ||
| 0.4 | −1.8508 | 2.25604 | 0.71637 |
Disclaimer/Publisher’s Note: The statements, opinions and data contained in all publications are solely those of the individual author(s) and contributor(s) and not of MDPI and/or the editor(s). MDPI and/or the editor(s) disclaim responsibility for any injury to people or property resulting from any ideas, methods, instructions or products referred to in the content. |
© 2023 by the authors. Licensee MDPI, Basel, Switzerland. This article is an open access article distributed under the terms and conditions of the Creative Commons Attribution (CC BY) license (https://creativecommons.org/licenses/by/4.0/).
Share and Cite
Reddy, V.S.; Kandasamy, J.; Sivanandam, S. Stefan Blowing Impacts on Hybrid Nanofluid Flow over a Moving Thin Needle with Thermal Radiation and MHD. Computation 2023, 11, 128. https://doi.org/10.3390/computation11070128
Reddy VS, Kandasamy J, Sivanandam S. Stefan Blowing Impacts on Hybrid Nanofluid Flow over a Moving Thin Needle with Thermal Radiation and MHD. Computation. 2023; 11(7):128. https://doi.org/10.3390/computation11070128
Chicago/Turabian StyleReddy, Vinodh Srinivasa, Jagan Kandasamy, and Sivasankaran Sivanandam. 2023. "Stefan Blowing Impacts on Hybrid Nanofluid Flow over a Moving Thin Needle with Thermal Radiation and MHD" Computation 11, no. 7: 128. https://doi.org/10.3390/computation11070128
APA StyleReddy, V. S., Kandasamy, J., & Sivanandam, S. (2023). Stefan Blowing Impacts on Hybrid Nanofluid Flow over a Moving Thin Needle with Thermal Radiation and MHD. Computation, 11(7), 128. https://doi.org/10.3390/computation11070128

