A Semi-Empirical Performance Study of Two-Hop DSRC Message Relaying at Road Intersections
Abstract
:1. Introduction
- We performed experiments to measure the performance of the V2V communication for LOS and NLOS scenarios. We observed that in the case of a NLOS channel for which two vehicles travel in perpendicular directions, the V2V communication link may be highly unreliable.
- We propose two relaying strategies, namely, simple relaying and network-coded relaying, by placing a road-side unit (RSU) at the intersection center to retransmit some safety messages to improve the transmission reliability.
- Using the proposed relaying approaches, it was found that the delivery rate is an integer function of the contention window size, which can be heuristically maximized through numerical optimization. Efficient optimization algorithms were introduced to determine the optimal fraction of messages to be retransmitted from the relay.
- An interesting observation found in this research is that relaying more than the optimal number of safety messages cannot increase the performance but can bring about more collisions.
2. DSRC Point-to-Point Communication Analysis
2.1. Non-Line-of-Sight (NLOS) Environment
2.2. LOS Environment
3. Relaying at Intersection
3.1. Simple Relaying
- denotes the success probability of message delivery for a transmission from vehicle to vehicle , where :
- denotes the failure probability of message delivery, which can be calculated by .
- denotes the success probability of message delivery for a transmission from to the RSU.
- denotes the success probability of message delivery for a retransmission of message (message of ) from the RSU to .
- denotes an array of length N that contains the index of the vehicles when the vehicles are sorted in descending order according to their distances from the intersection center. For example, is the index of the furthest vehicle, is that of the second furthest, and so on.
3.2. Network-Coded Relaying
- represents a message resulting from the X-OR between the message (message of ) and the message (message of ).
- denotes the success probability of message delivery for the transmission of message from the intersection relay to provided that and are in two different streets.
- and are arrays of length M that contain the indexes of the vehicles in streets WE and NS, respectively, when the vehicles are sorted in descending order according to their distances from the intersection center. For example, is the index of the furthest vehicle in street 1, and is the index of the second-furthest vehicle in street 2.
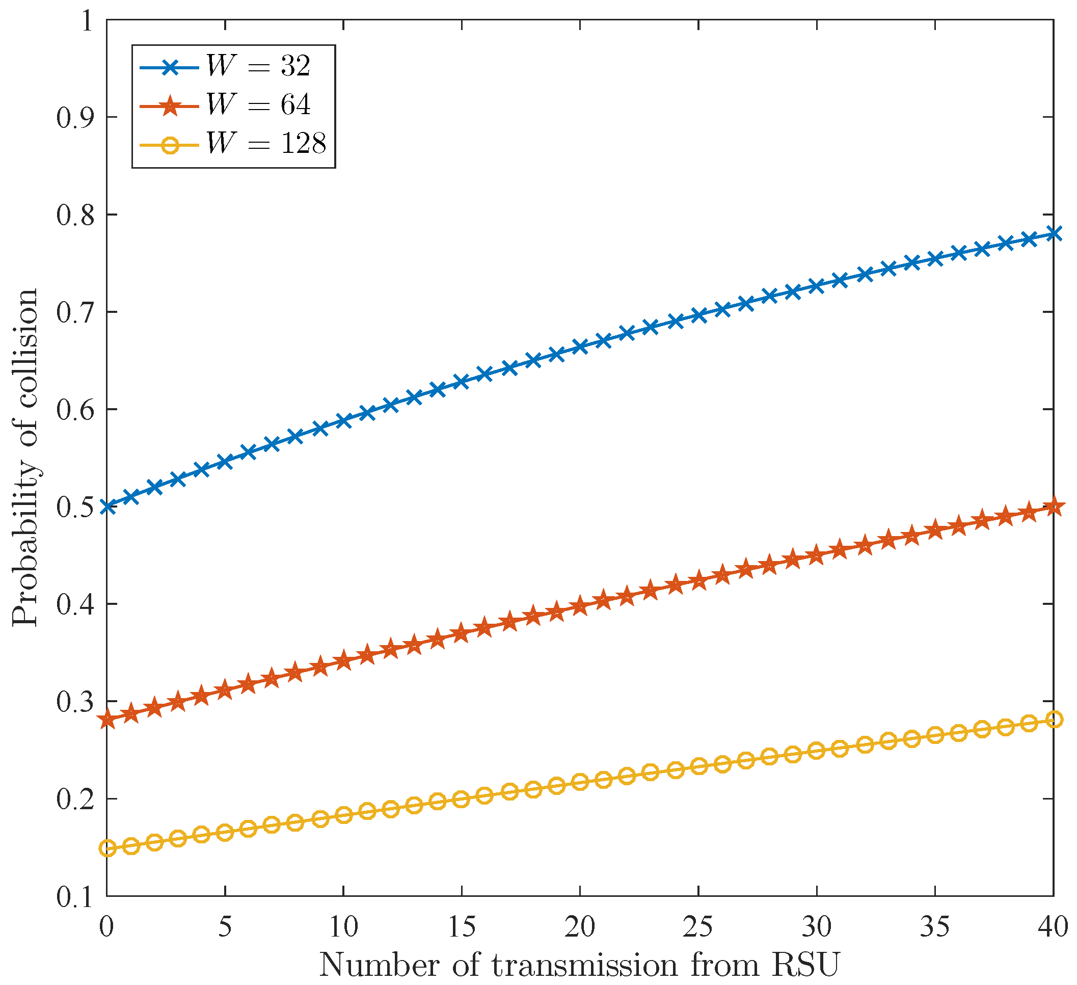
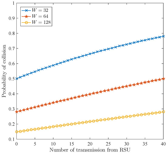
4. Numerical Results and Discussions
4.1. Simulation Parameters
4.2. Simulation Results
5. Conclusions
Author Contributions
Funding
Conflicts of Interest
References
- Seo, H.; Lee, K.D.; Yasukawa, S.; Peng, Y.; Sartori, P. LTE evolution for vehicle-to-everything services. IEEE Commun. Mag. 2016, 54, 22–28. [Google Scholar] [CrossRef]
- Bazzi, A.; Masini, B.M.; Zanella, A.; Thibault, I. On the Performance of IEEE 802.11p and LTE-V2V for the Cooperative Awareness of Connected Vehicles. IEEE Trans. Veh. Technol. 2017, 66, 10419–10432. [Google Scholar] [CrossRef]
- IEEE. IEEE Standard for Information Technology—Local and Metropolitan Area Networks—Specific Requirements—Part 11: Wireless LAN Medium Access Control (MAC) and Physical Layer (PHY) Specifications Amendment 6: Wireless Access in Vehicular Environments; IEEE: New Jersey, NJ, USA, 2010; pp. 1–51. Available online: https://ieeexplore.ieee.org/document/5514475/ (accessed on 15 June 2018).
- European Telecommunications Standards Institute (ETSI). Intelligent Transport Systems (ITS); Vehicular Communications; Basic Set of Applications; Part 2: Specification of Cooperative Awareness Basic Service; Technical Report, EN 302 637-2 V1.3.0 Draft; ETSI: Sophia Antipolis, France, 2013. [Google Scholar]
- DSRC Committee. SAE J2735 Dedicated Short Range Communications (DSRC) Message Set Dictionary; Technical Report; SAE International: Warrendale, PA, USA, 2009; Available online: https://www.sae.org/standards/content/j2735_201603/ (accessed on 15 June 2018).
- Joerer, S.; Segata, M.; Bloessl, B.; Cigno, R.L.; Sommer, C.; Dressler, F. A Vehicular Networking Perspective on Estimating Vehicle Collision Probability at Intersections. IEEE Trans. Veh. Technol. 2014, 63, 1802–1812. [Google Scholar] [CrossRef]
- Ahmed-Zaid, F.; Bai, F.; Bai, S.; Basnayake, C.; Bellur, B.; Brovold, S.; Brown, G.; Caminiti, L.; Cunningham, D.; Elzein, H.; et al. Vehicle Safety Communications Applications (VSC-A) Final Report: Appendix Volume 2 Communications and Positioning; Technical Report, DOT HS 811 492C; U.S. Department of Transportation: Washington, DC, USA, 2011.
- Mangel, T.; Klemp, O.; Hartenstein, H. 5.9 GHz inter-vehicle communication at intersections a validated non-line-of-sight path-loss and fading model. EURASIP J. Wirel. Commun. Netw. 2011, 2011, 182. [Google Scholar] [CrossRef]
- Abbas, T.; Thiel, A.; Zemen, T.; Mecklenbrauker, C.F.; Tufvesson, F. Validation of a non-line-of-sight path-loss model for V2V communications at street intersections. In Proceedings of the 13th International Conference on ITS Telecommunications (ITST), Tampere, Finland, 5–7 November 2013; pp. 198–203. [Google Scholar] [CrossRef]
- Sepulcre, M.; Gozalvez, J.; Hernandez, J. Cooperative vehicle-to-vehicle active safety testing under challenging conditions. Transp. Res. Part C Emerg. Technol. 2013, 26, 233–255. [Google Scholar] [CrossRef]
- Bazzi, A.; Zanella, A.; Masini, B.M. A distributed virtual traffic light algorithm exploiting short range V2V communications. Ad Hoc Netw. 2016, 49, 42–57. [Google Scholar] [CrossRef]
- Ali, G.G.M.N.; Noor-A-Rahim, M.; Chong, P.H.J.; Guan, Y.L. Analysis and improvement of reliability through coding for safety message broadcasting in urban vehicular networks. IEEE Trans. Veh. Technol. 2018. [Google Scholar] [CrossRef]
- Noor-A-Rahim, M.; Ali, G.G.M.N.; Nguyen, H.; Guan, Y.L. Performance Analysis of IEEE 802.11p Safety Message Broadcast With and Without Relaying at Road Intersection. IEEE Access 2018, 6, 23786–23799. [Google Scholar] [CrossRef]
- Fallah, Y.P.; Huang, C.L.; Sengupta, R.; Krishnan, H. Analysis of Information Dissemination in Vehicular Ad-Hoc Networks With Application to Cooperative Vehicle Safety Systems. IEEE Trans. Veh. Technol. 2011, 60, 233–247. [Google Scholar] [CrossRef]
- Trien, L.T.; Yamao, Y. An investigation of network coding relay in ITS V2V communication at intersections. In Proceedings of the IEEE International Conference on Network Infrastructure and Digital Content, Beijing, China, 19–21 September 2014; pp. 297–301. [Google Scholar] [CrossRef]
- Xu, Z.; Bernado, L.; Gan, M.; Hofer, M.; Abbas, T.; Shivaldova, V.; Mahler, K.; Smely, D.; Zemen, T. Relaying for IEEE 802.11p at road intersection using a vehicular non-stationary channel model. In Proceedings of the IEEE 6th International Symposium on Wireless Vehicular Communications (WiVeC), Vancouver, BC, Canada, 14–15 September 2014; pp. 1–6. [Google Scholar] [CrossRef]
- CAMP Vehicle Safety Communications Consortium. Vehicle Safety Communications Project Task 3 Final Report: Identify Intelligent Vehicle Safety Applications Enabled by DSRC; Technical Report, DOT HS 809 859; National Highway Traffic Safety Administration, US Department of Transportation: Washington, DC, USA, 2005.
- CohdaWieless. MK5 V2X on Board Unit. Technical Report. Available online: http://www.cohdawireless.com/solutions/hardware/mk5-obu/ (accessed on 15 June 2018).
- Cheng, L.; Henty, B.E.; Stancil, D.D.; Bai, F.; Mudalige, P. Mobile Vehicle-to-Vehicle Narrow-Band Channel Measurement and Characterization of the 5.9 GHz Dedicated Short Range Communication (DSRC) Frequency Band. IEEE J. Sel. Areas Commun. 2007, 25, 1501–1516. [Google Scholar] [CrossRef]
- Abbas, T.; Sjöberg, K.; Karedal, J.; Tufvesson, F. A measurement based shadow fading model for vehicle-to-vehicle network simulations. Int. J. Antennas Propag. 2015, 2015. [Google Scholar] [CrossRef]
- Eichler, S. Performance Evaluation of the IEEE 802.11p WAVE Communication Standard. In Proceedings of the IEEE Vehicular Technology Conference, Baltimore, MD, USA, 30 September–3 October 2007; pp. 2199–2203. [Google Scholar] [CrossRef]
- Campolo, C.; Molinaro, A.; Vinel, A.; Zhang, Y. Modeling Event-Driven Safety Messages Delivery in IEEE 802.11p/WAVE Vehicular Networks. IEEE Commun. Lett. 2013, 17, 2392–2395. [Google Scholar] [CrossRef]
- Han, C.; Dianati, M.; Tafazolli, R.; Kernchen, R. Throughput Analysis of the IEEE 802.11p Enhanced Distributed Channel Access Function in Vehicular Environment. In Proceedings of the Vehicular Technology Conference Fall (VTC 2010-Fall), Ottawa, ON, Canada, 6–9 September 2010; pp. 1–5. [Google Scholar] [CrossRef]








| Parameter | Value |
|---|---|
| Channel | 178 (5.89 GHz) |
| Transmit power | 23 dBm |
| Antenna gain | 3 dB |
| Number of lanes per street | 6 |
| Lane width | 3 m |
| Rx street width | 12 m |
| Distance of Tx from wall | 5 m |
| Critical distance | 100 m |
© 2018 by the authors. Licensee MDPI, Basel, Switzerland. This article is an open access article distributed under the terms and conditions of the Creative Commons Attribution (CC BY) license (http://creativecommons.org/licenses/by/4.0/).
Share and Cite
Nguyen, H.; Noor-A-Rahim, M.; Liu, Z.; Jamaludin, D.; Guan, Y.L. A Semi-Empirical Performance Study of Two-Hop DSRC Message Relaying at Road Intersections. Information 2018, 9, 147. https://doi.org/10.3390/info9060147
Nguyen H, Noor-A-Rahim M, Liu Z, Jamaludin D, Guan YL. A Semi-Empirical Performance Study of Two-Hop DSRC Message Relaying at Road Intersections. Information. 2018; 9(6):147. https://doi.org/10.3390/info9060147
Chicago/Turabian StyleNguyen, Hieu, Md. Noor-A-Rahim, Zilong Liu, Dayana Jamaludin, and Yong Liang Guan. 2018. "A Semi-Empirical Performance Study of Two-Hop DSRC Message Relaying at Road Intersections" Information 9, no. 6: 147. https://doi.org/10.3390/info9060147
APA StyleNguyen, H., Noor-A-Rahim, M., Liu, Z., Jamaludin, D., & Guan, Y. L. (2018). A Semi-Empirical Performance Study of Two-Hop DSRC Message Relaying at Road Intersections. Information, 9(6), 147. https://doi.org/10.3390/info9060147

