Cloudification of Virtual Reality Gliding Simulation Game
Abstract
1. Introduction
2. Methodology
2.1. Game Story
2.2. Cloud Gaming Model
2.3. Game Virtualization
2.4. Service Resource Queuing
2.5. Game Physics: Gliding Simulation
2.6. Update of Glider Position
2.7. Evaluation of Cloud Game Performance
3. Results
3.1. Implementation and Testing Environment
3.2. Evaluation of Computational Offloading
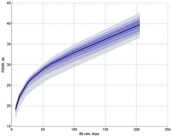
3.3. Evaluation of Network Traffic
3.4. Evaluation of Scheduling
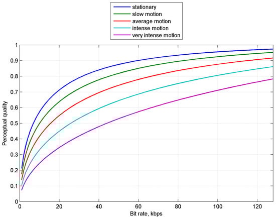
3.5. Evaluation of Playablility
4. Discussion and Conclusions
Author Contributions
Funding
Acknowledgments
Conflicts of Interest
References
- Deng, Y.; Li, Y.; Seet, R.; Tang, X.; Cai, W. The server allocation problem for session-based multiplayer cloud gaming. IEEE Trans. Multimed. 2018, 20, 1233–1245. [Google Scholar] [CrossRef]
- Buyya, R.; Yeo, C.S.; Venugopal, S.; Broberg, J.; Brandic, I. Cloud computing and emerging IT platforms: Vision, hype and reality for delivering computing as the 5th Utility. Future Gener. Comp. Syst. 2009, 25, 599–616. [Google Scholar] [CrossRef]
- Cai, W.; Chi, Y.; Zhou, C.; Zhu, C.; Leung, V.C.M. UBC Gaming: Ubiquitous cloud gaming system. IEEE Syst. J. 2018, 12, 2483–2494. [Google Scholar] [CrossRef]
- Ross, P.E. Cloud computing’s killer app: Gaming. IEEE Spectr. 2009, 46, 14. [Google Scholar] [CrossRef]
- Cai, W.; Shea, R.; Huang, C.-Y.; Chen, K.-T.; Liu, J.; Leung, V.C.M.; Hsu, C.-H. A Survey on Cloud Gaming: Future of Computer Games. IEEE Access 2016, 4, 7605–7620. [Google Scholar] [CrossRef]
- Al-Rousan, N.M.; Cai, W.; Ji, H.; Leung, V.C.M. DCRA: Decentralized Cognitive Resource Allocation Model for Game as a Service. In Proceedings of the IEEE 7th International Conference on Cloud Computing Technology and Science (CloudCom), Vancouver, BC, Canada, 30 November–3 December 2015; pp. 218–225. [Google Scholar]
- Costa, I.; Araujo, J.; Dantas, J.; Campos, E.; Silva, F.A.; Maciel, P.R.M. Availability Evaluation and Sensitivity Analysis of a Mobile Backend-as-a-service Platform. Qual. Reliab. Eng. Int. 2016, 32, 2191–2205. [Google Scholar] [CrossRef]
- Shea, R.; Liu, J.; Ngai, E.; Cui, Y. Cloud gaming: Architecture and performance. Netw. IEEE 2013, 27, 16–21. [Google Scholar] [CrossRef]
- Kim, H.; Kim, K.J. Optimized state update for mobile games in cloud networks. Cluster Comput. 2017, 1–7. [Google Scholar] [CrossRef]
- Li, Y.; Deng, Y.; Tang, X.; Cai, W.; Liu, X.; Wang, G. Cost-efficient server provisioning for cloud gaming. ACM Trans. Multimed. Comput. Commun. Appl. 2018, 14, 55. [Google Scholar] [CrossRef]
- Choy, S.; Wong, B.; Simon, G.; Rosenberg, C. A hybrid edge-cloud architecture for reducing on-demand gaming latency. Multimed. Syst. 2014, 20, 503–519. [Google Scholar] [CrossRef]
- Ahmadi, H.; Zad Tootaghaj, S.; Reza Hashemi, M.; Shirmohammadi, S. A game attention model for efficient bit rate allocation in cloud gaming. Multimed. Syst. 2014, 20, 485–501. [Google Scholar] [CrossRef]
- Wang, H.; Shea, R.; Ma, X.; Wang, F.; Liu, J. On design and performance of cloud-based distributed interactive applications. IEEE Comput. Soc. 2014, 37–46. [Google Scholar] [CrossRef]
- Jiang, M.H.; Visser, O.W.; Prasetya, I.S.W.B.; Iosup, A. A mirroring architecture for sophisticated mobile games using computation-offloading. Concurr. Comput. Pract. Exp. 2018, 30, e4494. [Google Scholar] [CrossRef]
- Mishra, D.; El Zarki, M.; Erbad, A.; Hsu, C.-H.; Venkatasubramanian, N. Clouds+Games: A multifaceted approach. IEEE Int. Comput. 2004, 18, 20–27. [Google Scholar] [CrossRef]
- Lee, J.; Kim, M.; Kim, J. A Study on Immersion and VR Sickness in Walking Interaction for Immersive Virtual Reality Applications. Symmetry 2017, 9, 78. [Google Scholar]
- Hwang, G. Supporting cloud computing in thin-client/server computing model. ISPA 2010, 612–618. [Google Scholar] [CrossRef]
- Cuervo, E.; Wolman, A.; Cox, L.P.; Lebeck, K.; Razeen, A.; Saroiu, S.; Musuvathi, M. Kahawai: High-Quality Mobile Gaming Using GPU Offload. In Proceedings of the 13th Annual International Conference on Mobile Systems, Applications, and Services-MobiSys, Florence, Italy, Octorber–December 2015; pp. 121–135. [Google Scholar]
- Amiri, M.; Al Osman, H.; Shirmohammadi, S.; Abdallah, M. Toward delay-efficient game-aware data centers for cloud gaming. ACM Trans. Multimed. Comput. Commun. Appl. 2016, 9, 12. [Google Scholar] [CrossRef]
- Basiri, M.; Rasoolzadegan, A. Delay-aware resource provisioning for cost-efficient cloud gaming. IEEE Trans. Circuits Syst. Video Technol. 2018, 28, 972–983. [Google Scholar] [CrossRef]
- Jain, R.; Paul, S. Network virtualization and software defined networking for cloud computing: A survey. IEEE Commun. Mag. 2013, 51, 24–31. [Google Scholar] [CrossRef]
- Mondesire, S.C.; Angelopoulou, A.; Sirigampola, S.; Goldiez, B. Combining virtualization and containerization to support interactive games and simulations on the cloud. Simul. Model. Pract. Theory 2018. In press. [Google Scholar] [CrossRef]
- Kempa, W.M.; Woźniak, M.; Nowicki, R.K.; Gabryel, M.; Damaševičius, R. Transient solution for queueing delay distribution in the GI/M/1/K-type mode with “queued” waking up and balking. In Artificial Intelligence and Soft Computing; Rutkowski, L., Korytkowski, M., Scherer, R., Tadeusiewicz, R., Zadeh, L., Zurada, J., Eds.; Springer: Cham, Switzerland, 2016; Volume 9693, pp. 340–351. [Google Scholar] [CrossRef]
- Demircali, A.A.; Uvet, H. Mini Glider Design and Implementation with Wing-Folding Mechanism. Appl. Sci. 2018, 8, 1541. [Google Scholar] [CrossRef]
- de Santana, R.A.S.; Dias-Júnior, C.Q.; do Vale, R.S.; Tóta, J.; Fitzjarrald, D.R. Observing and Modeling the Vertical Wind Profile at Multiple Sites in and above the Amazon Rain Forest Canopy. Adv. Meteorol. 2017, 2017, 1–8. [Google Scholar] [CrossRef]
- Yu, Y.; Li, Z.; Shi, L.; Chen, E.Y.-C.; Xu, H. Cross-Layer Optimization for State Update in Mobile Gaming. IEEE Trans. Multimed. 2008, 10, 701–710. [Google Scholar] [CrossRef]
- Olokunde, T.; Misra, S.; Adewumi, A. Quality Model for Evaluating Platform as a Service in Cloud Computing. In Information and Software Technologies; Damaševičius, R., Mikašytė, V., Eds.; Springer: Zug, Switzerland, 2007; Volume 756, pp. 280–291. [Google Scholar]
- Xu, Y.; Shen, Q.; Li, X.; Ma, Z. A cost-efficient cloud gaming system at scale. IEEE Netw. 2008, 32, 42–47. [Google Scholar] [CrossRef]
- Raaen, K.; Grønli, T.-M. Latency thresholds for usability in games: A survey. In Proceedings of the 27th Norsk Informatikkonferanse, Halden, Norway, 17–19 Novenber 2014. [Google Scholar]
- Jarschel, M.; Schlosser, D.; Scheuring, S.; Hoßfeld, T. Gaming in the clouds: QoE and the users’ perspective. Math. Comput. Model. 2013, 57, 2883–2894. [Google Scholar] [CrossRef]
- Wang, Y.; Chen, I.-R.; Wang, D.-C. A Survey of Mobile Cloud Computing Applications: Perspectives and Challenges. Wirel. Pers. Commun. 2014, 80, 1607–1623. [Google Scholar] [CrossRef]
- Cai, W.; Shea, R.; Huang, C.-Y.; Chen, K.-T.; Liu, J.; Leung, V.C.M.; Hsu, C.-H. The Future of Cloud Gaming [Point of View]. P. IEEE 2016, 104, 687–691. [Google Scholar] [CrossRef]













© 2018 by the authors. Licensee MDPI, Basel, Switzerland. This article is an open access article distributed under the terms and conditions of the Creative Commons Attribution (CC BY) license (http://creativecommons.org/licenses/by/4.0/).
Share and Cite
Buzys, R.; Maskeliūnas, R.; Damaševičius, R.; Sidekerskienė, T.; Woźniak, M.; Wei, W. Cloudification of Virtual Reality Gliding Simulation Game. Information 2018, 9, 293. https://doi.org/10.3390/info9120293
Buzys R, Maskeliūnas R, Damaševičius R, Sidekerskienė T, Woźniak M, Wei W. Cloudification of Virtual Reality Gliding Simulation Game. Information. 2018; 9(12):293. https://doi.org/10.3390/info9120293
Chicago/Turabian StyleBuzys, Rytis, Rytis Maskeliūnas, Robertas Damaševičius, Tatjana Sidekerskienė, Marcin Woźniak, and Wei Wei. 2018. "Cloudification of Virtual Reality Gliding Simulation Game" Information 9, no. 12: 293. https://doi.org/10.3390/info9120293
APA StyleBuzys, R., Maskeliūnas, R., Damaševičius, R., Sidekerskienė, T., Woźniak, M., & Wei, W. (2018). Cloudification of Virtual Reality Gliding Simulation Game. Information, 9(12), 293. https://doi.org/10.3390/info9120293

