Next Article in Journal
Seven Means, Generalized Triangular Discrimination, and Generating Divergence Measures
Previous Article in Journal
Social Contagion and Cascade Behaviors on Twitter
 
 
Font Type:
Arial Georgia Verdana
Font Size:
Aa Aa Aa
Line Spacing:
Column Width:
Background:
Article

Loosen Couple Workflow Mode of Lean Operator Improvement Based on Positive Feedback

1
Economics and Management School of Beijing University of Posts and Telecommunications, 273#mailbox of Beijing University of Posts and Telecommunications, Beijing 100876, China
2
MOTOROLA (China) electronics Co., LTD, Wangjingdonglu No.1, Chaoyang district, Beijing 100102, China
*
Author to whom correspondence should be addressed.
Information 2013, 4(2), 182-197; https://doi.org/10.3390/info4020182
Submission received: 26 January 2013 / Revised: 28 February 2013 / Accepted: 19 March 2013 / Published: 15 April 2013
(This article belongs to the Section Information Processes)

Abstract

:
In order to promote the core competitive power for telecom operating enterprises to face market fine operation, this article compares the ECTA mode (Extension Case Transmission Mode) and the LCA mode (Loosen Couple Mode), both of which are promoted by WfMC. By comparing these two modes, the suitable situations for these two modes are determined. We also carry out empirical analysis based on the customization mode of mobile phones between China telecom and mobile phone manufacturers and to expound the ascension effect of mechanism based on the agile telecom loose coupling workflow with positive feedback to the telecom enterprises. Finally, on the basis of positive feedback system, the task complexity and information transparency of LCA mode are improved, so that the semantics of public flow mode is kept unchanged and the sub workflow is optimized when modifying the sub workflow.

1. Foreword

Since having broken monopoly and brought competition in, the telecom industry in China has encountered competing stages on price, quality, service and business. In the business competition stage, the issue of operating mode became the focus of the industry, which was a huge transition in the telecom industry. During this transition, the boundary of this industry was gradually blurred and even disappeared. Especially in the next generation of network, telecom operators will completely depend on digital technology. Moreover, the abstractness and newness of digital technology will lead to greater invisibility and more openness so that the organizational boundary will become more blurred and dynamic changes will take place. Especially in cross-organization commercial environment, proper information sharing between providers and consumers determines the success of commercial flow contraction and commercial cooperation based on network [1,2]. Hence, it is necessary to combine data flow view and flow model [3]. In order to provide satisfactory products and services to customers, we need to integrate the entire value chain (network) of various partners. The key factors that decide the destiny of cooperative enterprises are the sensitivity and fast-responsibility of cross-organization flow. Lean Operator is one of the telecom enterprises with an improved operating mode, which includes the following features: enterprise strategy oriented at customer needs, focusing on flow-type organization construction on life cycle of products, integrating internal and external resource of enterprises with soft business mode and dynamic workflow technology, providing telecom service products of high efficiency and personalization for users.
The cooperated commercial flow management is applied in many commercial fields, such as electronic business, supply chain management, customer relationship management, knowledge management and science cooperation, which are all based on the information technology such as workflow technology and network service [4,5,6]. Although a network service can be used independently, it is also common to integrate them into workflow [5,7]. Workflow is the entire or partial automation of the commercial flow. During this process, information or commission will instruct practical execution by passing a series of programmed planning from one participator to another [8]. Cross-organization workflow is the flow to cross organizational boundary. The management of cross-organization flow has become a theme of the telecom value chain. As the coordinative technology to improve the operating efficiency of enterprises, a cross-organizational workflow management system, n, needs to adapt itself to the interconnection of different workflows between enterprises.
Although there are correct flow structure and working steps in the integrated commercial flow, if accurate data flow is inadequate, these flows cannot execute commissions synergistically. It is worth noting that the default on data flow can not only happen in working flow inside organization [9], but also may occur in cross-organizations, because crossing organizational boundary data transmission causes default to happen more easily. Based on this, the article focuses on LCA mode and ECTA mode suit for cross-organization workflow of lean operator, and improves LCA mode through the positive feedback system.

2. Analysis of Cross-organizational Workflow Mode

2.1. Process Introduction of ECTA and LCA

The major difference between inter-organizational and inner-organizational workflow is its cross-organizational boundary. Jiang, et al. [10] have concluded several features of workflow in inter-organizational content as follows: (1) The coexistence of autonomy and cooperation. Each independent economic entity needs mutual cooperation to realize the common intention. (2) The coexistence of dispersibility and correlativity. Many geographically dispersed enterprise flows have been integrated into a correlative overall workflow. (3) The coexistence of Stativity and dynamicity. The workflow within an organization is relatively stable while the overall cross-organization workflow must stay flexible and dynamic to adapt itself to the rapid changes of the market’s demands. Due to the difference between interactive modes, Schulz, et al. [11] divided inter-organizational workflow into distributed and contracted workflow. The former means in every workflow of a cooperative party, all tasks are within the overall workflow scope; and the latter means there is a certain activity or there are many activities executed beyond the workflow scope. VAN [12] has concluded six interactive operation patterns between workflows, that is, CSA (Capacity Sharing Architecture), CEA (Chained Execution Architecture), SCA (Subcontracting Architecture), CTA (Case Transfer Architecture), ECTA (Extended Case Transfer Architecture) and LCA (Loosely Coupled Architecture). From the electronic business perspective, CSA supposes there is a centralized manager on workflow, which means the control power on flow is not distributed, so that this method is not appropriate for the electronic business. As workflow is composed of sub-flows in a fixed order (each part is done by a different partner), CEA is the only suitable architecture [13]. However, in a practical electronic business environment, cooperator flows need interoperability and information exchange according to protocol. The situation is extremely complex, so CEA mode is not suitable for electronic business environment [14]. SCA is comparatively suitable for traditional electronic business environment, for it is generally realized based on EDI. However, in the new stage of electronic business (cooperative business), the way of “hub-and-spoke” seems not that flexible. ECTA and LCA mode are employed by more coordinative business as their major workflow modes for their better flexibility. Still, there is SCA architecture in some sub-flow and sub-tasks. Therefore, as for the function design of the electronic business promoted by NGOSS system, ECTA and LCA should be the two major modes to consider.
(1) Extended Case Transfer Architecture (ECTA)
Under ECTA mode, all business partners have the same flow definition, and different business partners can define local variables according to their own situation when performing their duties, for example, in certain situations, flow may be extended to other tasks that should be completed before transferring case [15].
Under this mode, although cooperators share the same flow version, it does not mean that every operator can handle all tasks. The case is the information set to transfer information between organizations [16]. This can mean the case about one flow, or about the whole workflow. Partners decide the time and target cooperative partners to transfer case according to “transfer protocol” [17]. During the cooperating process, information is shared and the working result can be reflected in the transferred cases.
(2) Loosely Coupled Architecture (LCA)
Under LCA mode, the workflow can be divided into several parallel blocks, and each sub-flow is defined locally [18]. For the whole collaborative environment, we do not need to understand the specific sub-flow and just need to manage communication protocols that are defined and negotiated by cooperative partners. This model allows for several process cases running on the respective execution environment mutually and independently. However, it requires the existence of a synchronization point in each process. When each of them runs to the synchronization point, it will trigger an event. This mechanism can be used to achieve many functions such as scheduling parallel execution thread, restoring data check or transferring workflow data in a different process cases.
With loosely coupled architecture, the operation nature of LAC lies in guaranteeing the independence of the cooperative partners in executing tasks, but at specific time, isochronisms can ensure correctness in the whole business process [19]. LCA divides the workflow horizontally, decomposes the working process into many relatively independent parts and then distributes them to each member, which is called Private Workflow Process. Each cooperator can control the distributed private workflow completely, but they have to guarantee to exchange information and share knowledge with other cooperators [20]. Because the independence of private workflow is relative, and some parts in workflow must connect with that of other members, so exchange with other members is the key to fulfill tasks correctly. The communication between members must comply with a certain communication protocol, the cost and operating efficiency of which is greatly related to the cooperation maturation and trust degree between members. After cooperating for some time, information and operating cost will be greatly reduced.

2.2. The Analysis of the Comparative Evaluation between ECTA and LCA

The evaluation of Workflow management model is typically multiple attribute evaluation and most evaluation indexes are only qualitative statements [21]. In view of this characteristic, we can get ideal results through adopting the fuzzy comprehensive evaluation method.

2.2.1. Method Introduction

Suppose we need to evaluate a workflow management mode. Let U = {u1, u2,···un} be the set of evaluation indexes and V = {v1, v2,···vn} be the set of the possible evaluation results for a certain index.
For each evaluation index Information 04 00182 i001, we use a fuzzy set c to express fuzzy evaluation of this workflow management mode. So we can get the evaluation matrix E of this mode:
Information 04 00182 i002
Let vector Information 04 00182 i003 be the weight of the evaluation indexes, so the evaluation results of this mode is a fuzzy set (y1 / v1,y2 / v2,···, ym / vm) of V or vector Y = {y1,y2,···,ym} which is worked out by Y = W·E or Information 04 00182 i004.
When evaluating several workflow management modes at the same time, in order to make comparison of the evaluation results, we can make the fuzzy evaluation results accurate and get a precise evaluation value g:
Information 04 00182 i005

2.2.2. Comparative Evaluation of ECTA and LCA

The essential difference between ECTA and LCA is their different division of tasks: the former is longitudinal, depending on case to transfer information, while the latter is lateral, relying on protocol to transfer information [22]. If we compare the adaptive degree of these two modes from the coordinative perspective between enterprises, we can see their advantages and disadvantages more clearly. Below we use fuzzy evaluation method to test the adaptation degree of ECTA and LCA in Cross-organizational workflow management. Firstly, we choose the most important indexes from the evaluation indexes mentioned above:
Information 04 00182 i006
where u1 = cooperation degree, u2 = task complexity, u3 = information transparency, u4 = information complexity, u5 = task flexibility, u6 = task controllability.
The evaluation results are given according to the 5 points:
Information 04 00182 i007
The higher the scores are, the higher the support degree of the mode on the evaluation index is.
For ECTA, we invite many experts to grade it and the statistics are as follows: in terms of the collaboration degree, 20% of the people choose four-points, 40% of the people choose three-points and the rest 40% of the people choose two-points which is expressed by the evaluation vector (0, 0.4, 0.4, 0.2, 0). Using the same method, we can get the evaluation vectors for the rest the rest evaluation indexes.
The final evaluation matrix for ECTA is as follows:
Information 04 00182 i008
Similarly, the final evaluation matrix for LCA is as follows:
Information 04 00182 i009
The weight vector for the five evaluation indexes is below:
W = {0.2, 0.1, 0.2, 0.1, 0.3, 0.1}
As we can see from the above, the weight vector emphasizes task flexibility, cooperation degree and information transparency, which is consistent with the requirement of Cross-organizational management.
Accordingly, fuzzy comprehensive evaluation results of the two modes respectively are:
Information 04 00182 i010
Information 04 00182 i011
And the precise evaluation values g for the two modes are below respectively:
Information 04 00182 i012
Information 04 00182 i013
In order to be more intuitive, we refine out of the comparative performance of the two modes in Table 1.
Table 1. Comparison on advantages and disadvantages between Extension Case Transmission (ECTA) and Loosen Couple (LCA) modes.
Table 1. Comparison on advantages and disadvantages between Extension Case Transmission (ECTA) and Loosen Couple (LCA) modes.
Comparing itemECTALCA
Prior cooperative degreeHighLow
Cooperative degree while operatingLowHigh
Complexity of the whole taskMediumHigh
Transparency of informationHighLow
Complexity of informationHighMedium
Smooth feature of taskLowHigh
Controllability of taskHighMedium
As we can see from Table 1, LCA mode has great advantage on cooperative and flexibility of cooperation. However, compared with ECTA mode, the loose incorporation between members in the organization is the obvious disadvantage of LCA. Hence, we can conclude that under cooperative business environment where mature cooperation and work mode are relatively stable, it is suitable to adopt ECTA mode, because the weaknesses, such as low information transparency and lack of smooth task procedure, could be weakened by the tacit relationship formed long-term and low requirement on cooperative flexibility. However, under the cooperative environment with strong product cooperation, short work mode life cycle, and unfixed cooperative relationship between partners, LCA is more suitable, and can be improved by positive feedback system.

3. Positive Feedback System Improves LCA Mode

The evolution process of positive feedback is related to the intensity of the status [23]. Because happenstance can lead to different roads and results, this positive feedback, which is becoming ever more adapted, efficient and smooth, seems to be related to experience, which can be described with the Polya process. The weakness of LCA mode, such as task complexity, information transparency and deficiency on working controllability, could be improved through enhancing the coordination and management function of the core enterprise. For example, enhancing the information exchange and knowledge sharing under supervision of the core enterprise, so that it can coordinate and supervise the working controllability. Through the above enhancements, coordinative business must form an organic operating system, by which the task complexity of LCA mode will be greatly reduced. Under the entire coordinative business environment, the core enterprise’s role on coordination and supervision will reduce operating cost among enterprises. The operating cost must have a relationship with the maturation and experience of cooperation among enterprises. Therefore, a positive feedback system can reduce cooperative cost and improve LCA working mode.
The task complexity, information transparency and work controllability are reflected as a kind of operating strategy, which includes that of cooperative partners and core enterprise. One should look for the best strategy to bring operating cost in member enterprise to a reasonable status.
Suppose there is a strategy set of enterprise operation under LCA workflow mode of cooperative business, which is the centralized performance of information exchange, business cooperative method and control method, these strategies are related to the former operating experience and effect.
Suppose there is a cooperative strategy under LCA mode, in which we can put N–type enterprise operating strategy of cooperative business. Add one new node at one time. The strategy attribution of the newly-added node will be determined according to the probability ratio, which is the function of specific-gravity vector Xn = [x1n, x2n,···, xNn] on attribution nodes of added strategy. The probability ratio is related to the intensity of strategy status, which means it is related to the operating successful ratio and adopted ratio before strategy.
Let qi,n (Xn) be the probability ratio for strategy node i to become newly added cooperative strategy group for the nth time.
Let Information 04 00182 i014 be the first node in the cooperative strategy group.
While at No. n time, define: Information 04 00182 i015, i = 1,2,…,N, so the adding principle of i node is:
Information 04 00182 i016
Divide formula (1) by (b0 + n-1), and suppose Information 04 00182 i017, we can get:
Information 04 00182 i018
Rearrange formula (2) and we can get:
Information 04 00182 i019
Information 04 00182 i020
According to the definition of Information 04 00182 i021, the expectation value of Information 04 00182 i022 is zero. So we can get the expectation value of stochastic process, which is shown as follows:
Information 04 00182 i023
It equals certainty recurrence process, that is:
Information 04 00182 i024
In Formula (3), qi,n(Xn) is generally nonlinear, which is related with the proportion of various strategy node, or we can say it is related with the proportion strategy adopted. Formula (3) stands for a nonlinear Polya process. Recurrence evolutionary process is controlled by the second item qi,n(Xn)-xi,n. For i = 1,2,…,N, kinds of strategy nodes, there are N equations sets, which can be illustrated by a vector as follows:
Information 04 00182 i025
The pattern of qi,n(Xn) changes with the value of n. If the speed qn constricts to a certain function q in fixed pattern is faster than that of Information 04 00182 i026 constricts to zero, namely, the speed Information 04 00182 i027 constricts to zero while n becomes larger, the fixed point vector (the most reasonable intersecting point to meet the operating cost of virtual enterprise and the whole cooperative business) in (3) will be defined by the following formula:
Information 04 00182 i028
If this intersecting point is stable, nonlinear Polya process will be constricted to this. This strategy space and the restriction to reduce the operation cost produce positive feedback effect as well as the best reflection on strategy collection of regular permutation and monotone, which is the basis for positive feedback system.
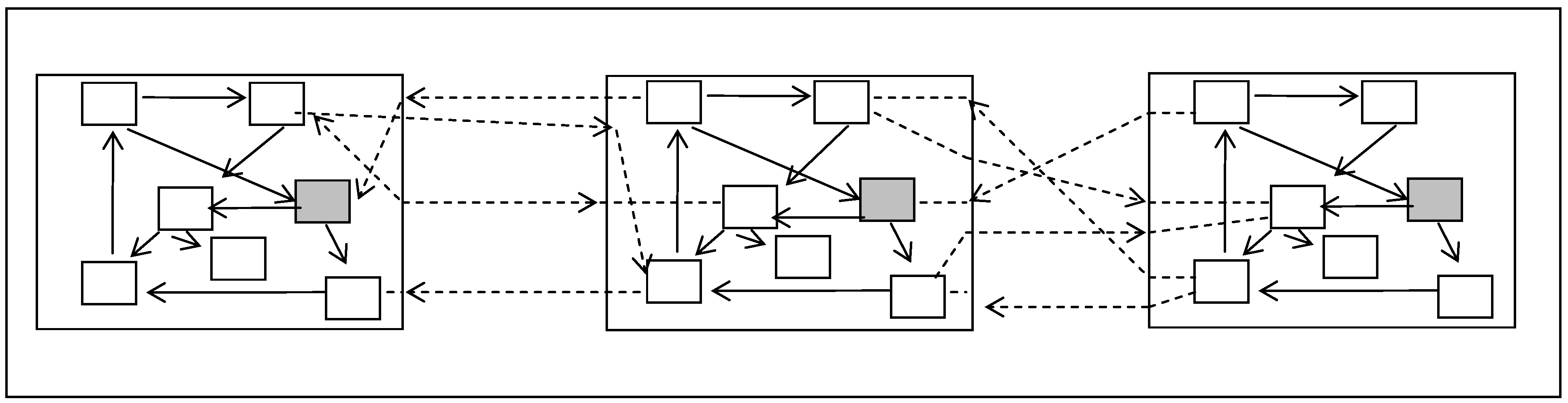
As we can see from the above analysis, virtual enterprise is able to adjust itself on strategy choices according to the evolutionary principle of Polya process and tries its best to constrict itself to fixed point Information 04 00182 i028 by learning from previous experience. Thus, the strategy implementation can satisfy the minimum objective on operating cost while maximizing the efficiency. As for LCA mode, the strategy can enhance information transparency and task controllability within the shortest time as well as reduce task complexity. These factors exert nonlinear influence on the strategy choice, but it will reach the best status at the position approaching fixed point. Hence, we can come to a conclusion: with the improvement of information exchange method, the enhancement on inter-business knowledge sharing, the cooperative business chief’s control and coordination towards business operation and trust relationship established with multiple cooperations between enterprises, the disadvantages of LCA mode in workflow operation will be effectively improved by the positive feedback effect of the above factors. Therefore, the flexibility and fast-response of LCA mode will be better used for the best workflow design method of cross-organization to support a cooperative business platform. The feedback recirculating loop of positive feedback system can be shown as in Figure 1, Figure 2.
Figure 1. ECTA.
Figure 1. ECTA.
Information 04 00182 g001
Figure 2. Illustration of positive coordinative system of LCA mode.
Figure 2. Illustration of positive coordinative system of LCA mode.
Information 04 00182 g002

4. Empirical Analysis

This section is based on the customization mode of mobile phones between China telecom and mobile phone manufacturers and will expound the ascension effect of mechanism based on the agile telecom loose coupling workflow with positive feedback to the telecom enterprises.

4.1. Background of Loose Coupling Cooperation Pattern of Mobile Phone Customization of China Telecom

In 2008, the Chinese government established the main objective of deepening the reform of telecommunication system: issue three 3G licenses and form three market competition entities that has national network resources, close strength and scale, business management skills and strong competitive abilities. Telecom resource is further allocated and competitive framework is better structured. Based on the status of the telecommunications industry, the government encourages China telecom to purchase the China Unicom CDMA network (including assets and user) to achieve the reforming goal. China Unicom and China Netcom were combined. China Satcom’s telecom business merged into China telecom and China Tietong merged into China mobile. Then, the ministry of industry and information issued three 3G mobile phone licenses for China mobile, China telecom and China Unicom. This move marks China’s official entrance to the 3G era. Among them, China mobile, China has been approved to own a 3G license based on TD-SCDMA. China Telecom owned CDMA2000-based 3G licenses, and China Unicom owned 3G licenses based on WCDMA technology.
In the mobile communications market, China telecom group bought China Unicom’s CDMA network for 110 billion RMB. From this, 66.2 billion is used to buy Unicom CDMA net assets, and 43.8 billion is to purchase CDMA nets business. By December 2008 after reorganization, the users scale of three mobile operators is 457.25 million for China mobile (76%), 113.365 million for China Unicom (19%), and 27.91 million for China telecom (5%) (Figure 3, Figure 4). In the mobile communications market of China, three major operators have a very different user scale. The situation is not good for small scale enterprise to develop, especially China telecom. Due to the small size of the user scale, uncertainty of the market prospects and the unpopularity of CDMA system, mobile phone manufacturers had little interest in the production of CDMA mobile phone. As the 3G age comes, the individuality demand is becoming more and more obvious. The personalized performance of the mobile phone terminal becomes the bottleneck of development. China telecom faces a serious situation and it needs to develop a new cooperation pattern to break the existing impasse.
Figure 3. LCA.
Figure 3. LCA.
Information 04 00182 g003
Figure 4. Mobile users market share of three telecom operators in China December 2008.
Figure 4. Mobile users market share of three telecom operators in China December 2008.
Information 04 00182 g004

4.2. The Mechanism of China Telecom’s Mobile Phone Customization Based on Loose Coupling Cooperation with Positive Feedback

4.2.1. China Telecom’s Mobile Phone Customization Mode

In this context, with reference to the operation experience of Japan’s telecom operator KDDI, China telecom and mobile phone manufacturer adopts a loose coupling relationship of cooperation. There are three major contents in the partnership (a) China Telecom acquires customers’ demand and determines the content of the service. It also determines matching terminal function according to the content of the service. Then, China Telecom provides the hardware and software configuration requirements to mobile phone manufacturers to form an effective information transfer. Thus, the transparency of the cooperation is improved. (2) Mobile phone manufacturers conduct technology research and develop mobile phones according to the consumer demand. (3) According to the agreement signed before, China Telecom buys according all mobile terminals at a certain price and then uses their sales channels to sell. (4) China Telecom sells mobile phones through stores and markets. At the same time, it launches new mobile phones and business in specific area to increase users’ recognition for new mobile phone and business.

4.2.2. The Mechanism of China Telecom’s Mobile Phone Customization based on Loose Coupling Cooperation with Positive Feedback

In loose coupling mode, how can telecom operators achieve positive feedback mechanism to make quickly sensitive responses to changes in the mobile market demand to form an agile telecom? The positive feedback mechanism can only be made when mobile phone customization loose coupling mode can win cooperation from both sides and be sustainable at the same. The mobile phone manufacturers and China telecom from two aspects.
Because China telecom provides phone customization demand and sells an amount of mobile phones at a certain price in telecom sales channel, the risk of loose coupling cooperation pattern is reduced. Under this situation, mobile phone manufacturers prefer to produce mobile phones because as long as a high-end mobile phone is produced, they can produce mobile phone manufacturer with little change.
China Telecom’s mobile phone can be divided into customized machine and the non-customized machine, and all mobile phones are built with double nets double stay way. China Telecom hopes to drive the development of non-customized machine through the customized machine. So, in the early stage, the customization users are almost high-end users. This method can drive the development of low-end users through the high-end users’ role function. Secondly, custom high-end machines can also ensure that China Telecom have a certain profit space.
Based on the above two points, loose coupling customization mode broke the deadlock caused by the fact that mobile phone manufacturers do not want to produce CDMA mobile phones. At the same time, mobile phone manufacturers can gain profits through low-end phones while making high-end phones. Therefore, the CDMA phones are becoming more and more various. China Telecom develops users through the promotion whereby users get free phones by paying a communication fee in advance.
This method makes high-end users guide low-end users experience special services, and retain the original number at the same time. This method drives the development of non-customized users through the development of customized users. China Telecom gradually gets rid of China’s small market scale and the unreasonable users’ structure, and the positive feedback situation is formed (see Figure 5).
In short, the loose coupling model of mobile phone customization can solve the problem of customer needs and market sales of mobile phone manufacturers, and it increases the willingness to produce kinds of customized machine and the non-customized machine. For China Telecom, this cooperation model makes high-end users willing to use telecom service and then forms the demonstration and reputation effect to the low-end users. It helps to guide the user scale and structured development.
Figure 5. Flow chart of mobile phone customization cooperation pattern of China Telecom.
Figure 5. Flow chart of mobile phone customization cooperation pattern of China Telecom.
Information 04 00182 g005

4.2.3. The Effect of Loose Coupling Mechanism China Telecom’s Mobile Phone Customization Cooperation with Positive Feedback

Since China telecom and mobile phone manufacturers form loose coupling cooperation, the internal mechanism is rational and scientific, and its users scale develops very fast. In three years its scale of mobile users grows from 27 million to 100 million from the end of 2008 to 2011, and the growth rate as high as 365% (see Figure 6). It formed the situation that China Telecom’s customization users drive the non-customization users. Since 2008, the scale of customization users of China Telecom increases year by year, which leads to the development of China telecom market. Three big operators’ market share also changed rose from 5% to 13% (see Figure 7). The cooperation partners of China Telecom were not fixed and the cycle of cooperation was shorter before. However, it has now gradually formed stable and long-term cooperation relations with Samsung, MOTOROLA. It produced a series of high-end customization mobile phone products such as W799, W899 and so on. Among them W899 reached 15,000 RMB, occupied the high-end handset consumer market. Therefore, the loosely coupled cooperation model of mobile phone customization has disadvantages such as short life cycle and partners are not fixed, but through the positive feedback mechanism it can form the sustainable development circulation, thus improving the above shortcomings.
Figure 6. 3G customization mobile users’ scale of China Telecom from 2008 to 2011.
Figure 6. 3G customization mobile users’ scale of China Telecom from 2008 to 2011.
Information 04 00182 g006
Figure 7. Market share of mobile users of three major telecom operators in China.
Figure 7. Market share of mobile users of three major telecom operators in China.
Information 04 00182 g007

4.3. Summary

Loose coupling model of mobile phone customization improves the transparency of information between mobile phone manufacturers and operators, and reduce the cost and risk of cell phone maker. The success of loose coupling model makes the traditional cooperation pattern hard to get chance. Along with the improvement of information communication, knowledge sharing between manufacturers and operators, LCA pattern with positive feedback effect has advantage such as flexibility and rapid reaction. So China Telecom has grown from 20 million to 100 million CDMA mobile users.
In short, the loose coupling model of mobile phone customization breaks the deadlock of telecom from mobile phone style, user scale and so on. Moreover, it is quite good to form a positive feedback effect, and thus lead towards sustainable development.

5. Conclusions

By comparing LCA and ECTA mode, we have shown that LCA has great advantage in terms of cooperation and flexibility of cooperation. However, if compared with ECTA, the combination among organizational members in LCA mode is loose and not tight. Hence, we can conclude that under cooperative business environment where mature cooperation and work mode are relatively stable, it is suitable to adopt ECTA mode, for the information transparency is low at this time and task smooth feature is weak so that they can be adjusted by tacit relationship formed long-term and low requirement on cooperative flexibility. However, under the cooperative environment where product cooperation is strong, work mode life cycle is short and cooperative partners are not fixed, it is more suitable to adopt LCA mode and improve it through positive feedback system.
With the improvement of information exchange ways, the enhancement of knowledge sharing between enterprises, the cooperative business chief’s control and coordination towards business operation and the trust relationship established by many cooperations between enterprises, the disadvantages of LAC mode on many aspects in the workflow operation process, such as the task complexity, the transparency of information and deficiency on working controllability, will be improved effectively by the positive feedback effects of the above factors. Therefore, the advantages of LAC mode on flexibility and fast-response will be better exerted, and this mode will become the best workflow design method of cross-organization to support cooperative business platform. In applying positive feedback system to coordinate with LCA mode, enterprises can apply strategies in Table 2.
The real issue to support cross-organizational workflow is not the simple systematic interconnection but to design new concepts and structural system to promote centralization of enterprise. The ideal cross-organizational workflow managing system should be established on a uniform workflow model and the tightly-coupled cooperative environment of people-centric, which is also the hot spot for the future research on workflow. The cooperative environment supports cross-organizational management, including building relation model among partners and organizations, various organizational workflow definitions based on this uniform model and distributed workflow execution and supervisory coordination. As a kind of information-centralized technology, whether the workflow system of cross-organization can match the centralization has become the major measurement to evaluate its ability. Only by integrating all characters, which includes organizational internal users, external clients, customers and suppliers into the operation of cross-organizational flow through some certain portals, making use of various intercommunicating information of fulfilled application, can the workflow managing system of cross-organization completely realize integral integrated utility.
Table 2. Coordinative strategy adopted by LCA mode.
Table 2. Coordinative strategy adopted by LCA mode.
Optimizing methods
Information transparencyMake the best of the information technology to complete information exchange ways among enterprises;
Enhance the awareness of inter-enterprise knowledge sharing, improve constructing and managing level on enterprise knowledge;
Ensure there should be enough data needed for enterprise cooperation in member information exchange protocol.
Business controllabilityEmphasize core enterprise’s control and coordination towards overall business;
Seek for fast and agile market-responding and business-responding system, apply the cored competitive power of the enterprise and seek for suitable business mode
Task complexityThe continuous enhancement of the above methods will definitely reduce the task complexity;
The formulating and executing flow of task will be optimized with the enhancement on inter-enterprise cooperative ability and mutual trust degree.
Result The cooperative cost will be reduced, the cooperative efficiency will be improved, the cooperative opportunity will be increased, and those who disobey the principle will be gradually eliminated by the union.

Acknowledgments

This work is partly supported by Project 70901009 of National Science Foundation for Distinguished Young Scholars and Project 11BGL041 of National Social Science Foundation of China.

References

  1. Barua, A.; Konana, P.; Whinston, A.; Yin, F. An Empirical Investigation of Net-Enabled Business Value. MIS Quart. 2004, 28, 585–620. [Google Scholar]
  2. Mani, D.; Barua, A.; Whinston, A. An Empirical Analysis of the Impact of Information Capabilities Design on Business Proeess Outsourcing Performance. MIS Quart. 2010, 34, 39–62. [Google Scholar]
  3. Raghu, T.; Jayaraman, B.; Rao, H. Toward an Integration of Agent-and Activity-Centriec Approaches in Organizational Process Modeling: Incorporating Incentive Mechanisms. Inform. Syst. Res. 2004, 15, 316–335. [Google Scholar] [CrossRef]
  4. Chen, J.; Yang, Y. Temporal Dependency based Checkpoint Selection for Dynamic Verification of Temporal Constraints in Scientific Workflow Systems. ACM TOSEM 2011, 20, 141–150. [Google Scholar]
  5. Fensel, D.; Bussler, C. The web service modeling framework WSMF. Electron. Commer. Res. Appl. 2002, 1, 113–137. [Google Scholar] [CrossRef]
  6. PaPazoglou, M.; Traverso, P.; Dustdar, S.; Leymann, F.; Kraer, B. Service-oriented computing: A Research Roadmap. Int. J. Coop. Inf. Syst. 2008, 17, 223–255. [Google Scholar] [CrossRef]
  7. Cardoso, J.; Bostrom, R.P.; Sheth, A. Workflow Management Systems and ERP Systems: Differences, Commonalities, and Applications. Inf. Tech. Manage. 2008, 5, 319–338. [Google Scholar] [CrossRef]
  8. Workflow Management Coalition (WFMC), Workflow Management Coalition Terminology and Glossary (WFMC-TC-1011); Technical Report. Workflow Management Coalition: Brussels, Belgium, 1996.
  9. Sun, S.X.; Zhao, J.L.; Nunamaker, J.F.; Sheng, O.R.L. Formulating the Data-Flow Perspective for Business Process Management. Inform. Syst. Res. 2006, 17, 374–391. [Google Scholar] [CrossRef]
  10. Jiang, P.; Shao, X.; Qiu, H.; Li, P. Inter operability of cross-organizational workflow s based on process-view for collaborative product development. Concurr. Eng. 2008, 16, 73–86. [Google Scholar] [CrossRef]
  11. Schulz ka, O. Facilitating cross-organizational workflows with a workflow view approach. Data Knowl. Eng. 2004, 51, 109–147. [Google Scholar] [CrossRef]
  12. Van, D.A. Loosely Coupled Inter-Organizational Workflows: Modeling and Analyzing Workflows Crossing Organizational Boundaries. Inf. Manag. 2000, 37, 67–75. [Google Scholar] [CrossRef]
  13. Liu, H.-M.; Wang, K.-L.; Yang, Z. Modeling and Analysis for Cross-Organizational Workflow: An Overview. Chin. J. Manag. 2010, 73, 468–474. [Google Scholar]
  14. Jiang, P.; Shao, X.; Gao, L.; Qiu, H.; Li, P. A Process-View Approach for Cross-Organizational Workflows Management. Adv. Eng. Inf. 2010, 24, 229–240. [Google Scholar] [CrossRef]
  15. Klein, R.; Rai, A. Interfirm Strategic Information Flows in Logistics Supply Chain Relationships. MIS Quart. 2009, 33, 735–762. [Google Scholar]
  16. Dou, W.-C.; Zhao, J.L.; Fan, S.-K. A Collaborative Scheduling Approach for Service-Driven Scientific Workflow Execution. J. Comput. Syst. Sci. 2010, 76, 416–427. [Google Scholar] [CrossRef]
  17. Guo, M.; Liu, D. Study and Realization of Workflow Transaction Processing based in Web Serives. Comput. Appl. Softw. 2009, 26, 147–149. [Google Scholar]
  18. Lu, F.-R.; Chen, J.; Lu, T.-J. InterOrganization Workflow and its Positive Feedback. In Proceedings of ICCI2005 International Conference on Communication and Information, Beijing, China, May 2005.
  19. Lu, F.-R.; Deng, H.-X.; Lu, T.-J. Research on Inheritance of Extend Case Transfer. In Proceedings of the 19th International Teletraffic Congress (ITC19), Beijing, China, 1 August 2005.
  20. Liu, S.; Fan, Y.-S.; Lin, H.-P. Dwelling Time Probability Density Distribution of Instances in a Workflow Model. Comput. Ind. Eng. 2009, 57, 874–879. [Google Scholar] [CrossRef]
  21. Van der Alst, W.; Anyanwu, K. Inheritance of Interorganizational Workflow to Enable Business-to-Business E-commerce. In Proceedings of the Second International Conference on Telecommunications and Electronic Commerce (ICTEC’99), Nashville, TN, USA, 6–8 October 1999.
  22. Leng, M.; Parlar, M. Allocation of cost savings in a three-level supply chain with demand information sharing: A cooperative-game approach. Oper. Res. 2009, 57, 200–213. [Google Scholar] [CrossRef]
  23. Guo, X.-T. A Data Flow Perspective for Business Process Integration. Ph.D. Dissertation, University of Science and Technology of China, Hefei, China, 2010. [Google Scholar]

Share and Cite

MDPI and ACS Style

Wang, Q.; Lv, F.; Li, Y. Loosen Couple Workflow Mode of Lean Operator Improvement Based on Positive Feedback. Information 2013, 4, 182-197. https://doi.org/10.3390/info4020182

AMA Style

Wang Q, Lv F, Li Y. Loosen Couple Workflow Mode of Lean Operator Improvement Based on Positive Feedback. Information. 2013; 4(2):182-197. https://doi.org/10.3390/info4020182

Chicago/Turabian Style

Wang, Qi, Furong Lv, and Yao Li. 2013. "Loosen Couple Workflow Mode of Lean Operator Improvement Based on Positive Feedback" Information 4, no. 2: 182-197. https://doi.org/10.3390/info4020182

APA Style

Wang, Q., Lv, F., & Li, Y. (2013). Loosen Couple Workflow Mode of Lean Operator Improvement Based on Positive Feedback. Information, 4(2), 182-197. https://doi.org/10.3390/info4020182

Article Metrics

Back to TopTop