Information-Enabled Marketing Efficiency and Financial Performance in Centralized Finance (CeFi)—An International Study
Abstract
1. Introduction
2. Literature Review
2.1. IS-Enabled Trust, Governance and Commercialization in CeFi
2.2. Marketing Performance Assessment, Measurement Systems and Accountability in Digital Contexts
2.3. Operationalizing Commercialization with Accounting Proxies: SG&A, Efficiency vs. Intensity and Construct Validity
2.4. Marketing Efficiency, Growth–Margin Trade-Offs and Intertemporal Effects
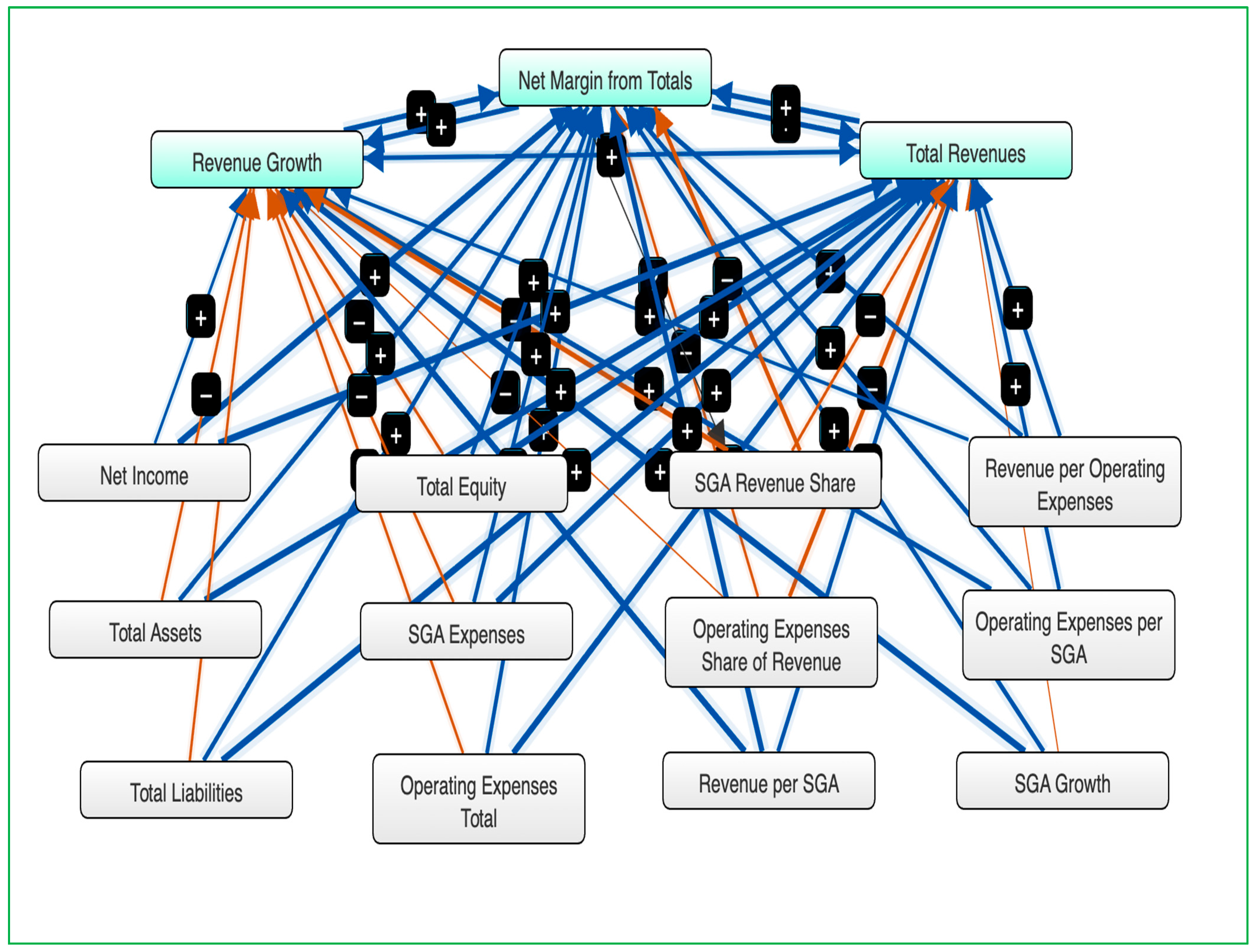
2.5. From Empirical Associations to Decision Support: FCM-Based Scenario Modeling
2.6. Conceptual Framework
3. Materials and Methods
3.1. Methodology
- •
- Stage 1: Data selection and gathering
- •
- Stage 2: Descriptive statistics
- •
- Stage 3: Statistical analysis and regression models
- •
- Stage 4: Fuzzy cognitive map modeling
3.2. Sample Retrieval
3.3. Research Hypotheses
4. Results
4.1. Descriptive Statistics
4.2. Correlation Analysis
4.3. Regression Analysis
- •
- M1: revenue_yoy_growtht=α+β1rev_per_sga_from_totalst+β2sga_yoy_growtht+εt.
- •
- M2: net_margin_from_totalst=α+β1sga_pct_revenue_from_totalst+β2leveraget+εt.
- •
- M3: ln(revenue_musdt)=α+β1ln(operating_expenses_musdt)+εt.
- •
- M4: revenue_yoy_growtht=α+β1sga_yoy_lag1t+εt.
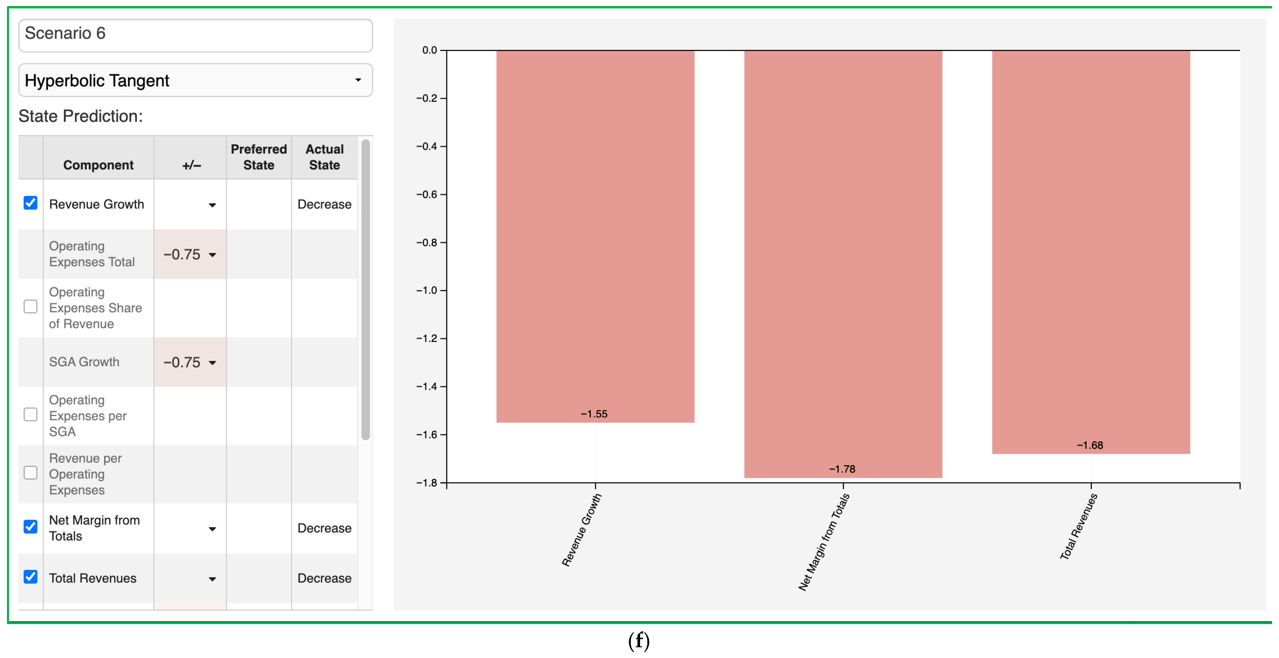
4.4. FCM Simulation
5. Discussion
6. Conclusions
6.1. Theoretical Implications
6.2. Practical Implications
6.3. Limitations and Opportunities for Future Research
Supplementary Materials
Author Contributions
Funding
Institutional Review Board Statement
Informed Consent Statement
Data Availability Statement
Conflicts of Interest
References
- Vidal-Tomás, D. Centralized exchanges & proof-of-solvency: The guardians of trust. J. Int. Financ. Mark. Inst. Money 2025, 103, 102183. [Google Scholar] [CrossRef]
- Schuler, K.; Cloots, A.S.; Schär, F. On DeFi and on-chain CeFi: How (not) to regulate decentralized finance. J. Financ. Regul. 2024, 10, 213–242. [Google Scholar] [CrossRef]
- Son, J.; Ryu, D. Competitive dynamics between decentralized and centralized finance lending markets. Int. Rev. Financ. Anal. 2024, 96, 103699. [Google Scholar] [CrossRef]
- Vial, G. Understanding digital transformation: A review and a research agenda. J. Strateg. Inf. Syst. 2019, 28, 118–144. [Google Scholar] [CrossRef]
- Verhoef, P.C.; Broekhuizen, T.; Bart, Y.; Bhattacharya, A.; Dong, J.Q.; Fabian, N.; Haenlein, M. Digital transformation: A multidisciplinary reflection and research agenda. J. Bus. Res. 2021, 122, 889–901. [Google Scholar] [CrossRef]
- Aydiner, A.S.; Tatoglu, E.; Bayraktar, E.; Zaim, S. Information system capabilities and firm performance: Opening the black box through decision-making performance and business-process performance. Int. J. Inf. Manag. 2019, 47, 168–182. [Google Scholar] [CrossRef]
- Plekhanov, D.; Franke, H.; Netland, T.H. Digital transformation: A review and research agenda. Eur. Manag. J. 2023, 41, 821–844. [Google Scholar] [CrossRef]
- Ren, X.; Song, K.; Zhu, K.; Yang, X. Does digital transformation increase bank profit efficiency? Evidence from China. Pac.-Basin Financ. J. 2024, 86, 102388. [Google Scholar] [CrossRef]
- Mintz, O.; Gilbride, T.J.; Lenk, P.; Currim, I.S. The right metrics for marketing-mix decisions. Int. J. Res. Mark. 2021, 38, 32–49. [Google Scholar] [CrossRef]
- Morgan, N.A.; Jayachandran, S.; Hulland, J.; Kumar, B.; Katsikeas, C.S.; Somosi, Á. Marketing performance assessment and accountability: Process and outcomes. Int. J. Res. Mark. 2022, 39, 462–481. [Google Scholar] [CrossRef]
- Markovitch, D.G.; Huang, D.; Ye, P. Marketing intensity and firm performance: Contrasting the insights based on actual marketing expenditure and its SG&A proxy. J. Bus. Res. 2020, 118, 223–239. [Google Scholar] [CrossRef]
- Ballas, A.; Naoum, V.-C.; Vlismas, O. The effect of strategy on the asymmetric cost behavior of SG&A expenses. Eur. Account. Rev. 2022, 31, 409–447. [Google Scholar] [CrossRef]
- Citterio, A.; King, T.; Locatelli, R. Is Digital Transformation Profitable for Banks? Evidence from Europe. Financ. Res. Lett. 2024, 70, 106269. [Google Scholar] [CrossRef]
- Ibrahim, A.E.A.; Ali, H.; Aboelkheir, H. Cost Stickiness: A Systematic Literature Review of 27 Years of Research and a Future Research Agenda. J. Int. Account. Audit. Tax. 2022, 46, 100439. [Google Scholar] [CrossRef]
- Borrero-Domínguez, C.; Escobar-Rodríguez, T. Decision support systems in crowdfunding: A fuzzy cognitive maps (FCM) approach. Decis. Support Syst. 2023, 173, 114000. [Google Scholar] [CrossRef]
- Sarmiento, I.; Cockcroft, A.; Dion, A.; Belaid, L.; Silver, H.; Pizarro, K.; Pimentel, J.; Tratt, E.; Skerritt, L.; Ghadirian, M.Z.; et al. Fuzzy Cognitive Map in Participatory Research and Decision Making: A Practice Review. Arch. Public Health 2024, 82, 76. [Google Scholar] [CrossRef] [PubMed]
- Bakhtavar, E.; Valipour, M.; Yousefi, S.; Sadiq, R.; Hewage, K. Fuzzy cognitive maps in systems risk analysis: A comprehensive review. Complex Intell. Syst. 2021, 7, 2059–2084. [Google Scholar] [CrossRef]
- Devlin, J.F.; Roy, S.K.; Sekhon, H.; Moin, S.M.A.; Sahiner, M. Trust and FinTech: A Review and Research Agenda. Electron. Mark. 2025, 35, 62. [Google Scholar] [CrossRef]
- Herhausen, D.; Miočević, D.; Morgan, R.E.; Kleijnen, M.H.P. The Digital Marketing Capabilities Gap. Ind. Mark. Manag. 2020, 90, 276–290. [Google Scholar] [CrossRef]
- Homburg, C.; Wielgos, D.M. The Value Relevance of Digital Marketing Capabilities to Firm Performance. J. Acad. Mark. Sci. 2022, 50, 666–688. [Google Scholar] [CrossRef]
- Liang, X.; Gao, Y. Marketing performance measurement systems and firm performance: Are marketing capabilities the missing links? Eur. J. Mark. 2020, 54, 885–907. [Google Scholar] [CrossRef]
- Liang, X.; Frösén, J.; Gao, Y. Do not settle for simple assessment: The effects of marketing metric uses on market-sensing capability. Eur. J. Mark. 2023, 57, 1502–1530. [Google Scholar] [CrossRef]
- Huang, M.-H.; Rust, R.T. A strategic framework for artificial intelligence in marketing. J. Acad. Mark. Sci. 2021, 49, 30–50. [Google Scholar] [CrossRef]
- Gong, S.; Wier, H.A. An Examination of the Effect of Classification Shifting on the Perception of Cost Stickiness. J. Contemp. Account. Econ. 2025, 21, 100474. [Google Scholar] [CrossRef]
- Bronnenberg, B.J.; Dubé, J.-P.H.; Syverson, C. Marketing Investment and Intangible Brand Capital (June 2022). CEPR Discussion Paper No. DP17372. Available online: https://ssrn.com/abstract=4144702 (accessed on 18 January 2026).
- Gordon, B.R.; Jerath, K.; Katona, Z.; Narayanan, S.; Shin, J.; Wilbur, K.C. Inefficiencies in Digital Advertising Markets. J. Mark. 2021, 85, 7–25. [Google Scholar] [CrossRef]
- Kronrod, A.; Huber, J. Ad wearout wearout: How time can reverse the negative effect of frequent advertising repetition on brand preference. Int. J. Res. Mark. 2019, 36, 306–324. [Google Scholar] [CrossRef]
- Baidya, M.; Maity, B. The interplay between sales and marketing expenditures: An econometric approach in the B2B market. J. Bus. Ind. Mark. 2024, 39, 967–978. [Google Scholar] [CrossRef]
- Guenther, P.; Guenther, M.; Rahman, M.; Koval, M.; Iurkov, V. Advertising in business markets—The obscured bottom-line effect and need for appropriate analytics. Ind. Mark. Manag. 2025, 126, 185–196. [Google Scholar] [CrossRef]
- Mourhir, A. Scoping Review of the Potentials of Fuzzy Cognitive Maps as a Modeling Approach for Integrated Environmental Assessment and Management. Environ. Model. Softw. 2021, 135, 104891. [Google Scholar] [CrossRef]
- Sharma, A.; Tselykh, A.; Podoplelova, E.; Tselykh, A. Knowledge-Oriented Methodologies for Causal Inference Relations Using Fuzzy Cognitive Maps: A Systematic Review. Comput. Ind. Eng. 2022, 171, 108500. [Google Scholar] [CrossRef]
- Nápoles, G.; Giabbanelli, P.J. Principles of Simulations with FCMs. In Fuzzy Cognitive Maps: Best Practices and Modern Methods; Springer Nature: Cham, Switzerland, 2024; pp. 45–59. [Google Scholar]
- Morgan, N.A.; Clark, B.H.; Gooner, R. Marketing productivity, marketing audits, and systems for marketing performance assessment: Integrating multiple perspectives. J. Bus. Res. 2002, 55, 363–375. [Google Scholar] [CrossRef]
- Rust, R.T.; Ambler, T.; Carpenter, G.S.; Kumar, V.; Srivastava, R.K. Measuring marketing productivity: Current knowledge and future directions. J. Mark. 2004, 68, 76–89. [Google Scholar] [CrossRef]
- Gao, Y. Measuring marketing performance: A review and a framework. Mark. Rev. 2010, 10, 25–40. [Google Scholar] [CrossRef]
- Morgan, N.A.; Slotegraaf, R.J.; Vorhies, D.W. Linking marketing capabilities with profit growth. Int. J. Res. Mark. 2009, 26, 284–293. [Google Scholar] [CrossRef]
- Ishikawa, T.; Gemba, K.; Oda, T. Impact of sales methods on profitability in the Japanese software industry: Resource allocation perspectives. Innov. Mark. 2025, 21, 212. [Google Scholar] [CrossRef]
- Tulcanaza-Prieto, A.B.; Lee, Y.; Koo, J.-H. Effect of Leverage on Real Earnings Management: Evidence from Korea. Sustainability 2020, 12, 2232. [Google Scholar] [CrossRef]
- Benston, G.J. Economies of scale of financial institutions. J. Money Credit. Bank. 1972, 4, 312–341. [Google Scholar] [CrossRef]
- Junius, K. Economies of Scale: A Survey of the Empirical Literature; Kiel Working Paper; Institut für Weltwirtschaft (IfW): Kiel, Germany, 1997; p. 813. Available online: https://hdl.handle.net/10419/46809 (accessed on 18 January 2026).
- Diener, F. Empirical Evidence of a Changing Operating Cost Structure and Its Impact on Banks’ Operating Profit: The Case of Germany. J. Risk Financ. Manag. 2020, 13, 247. [Google Scholar] [CrossRef]
- Coviello, N.; Autio, E.; Nambisan, S.; Patzelt, H.; Thomas, L.D. Organizational scaling, scalability, and scale-up: Definitional harmonization and a research agenda. J. Bus. Ventur. 2024, 39, 106419. [Google Scholar] [CrossRef]
- Dekimpe, M.G.; Hanssens, D.M. The persistence of marketing effects on sales. Mark. Sci. 1995, 14, 1–21. [Google Scholar] [CrossRef]
- Dekimpe, M.; Hanssens, D. Advertising response models. In Advertising Response Models; Tellis, G.J., Ambler, T., Eds.; SAGE Publications Ltd.: Thousand Oaks, CA, USA, 2007; pp. 247–263. [Google Scholar] [CrossRef]
- Sridhar, S.; Naik, P.A.; Kelkar, A. Metrics unreliability and marketing overspending. Int. J. Res. Mark. 2017, 34, 761–779. [Google Scholar] [CrossRef]
- Cheong, Y.; de Gregorio, F.; Kim, K. Advertising Spending Efficiency Among Top U.S. Advertisers from 1985 to 2012: Overspending or Smart Managing? J. Advert. 2014, 43, 344–358. [Google Scholar] [CrossRef]
- Tellis, G.J.; Franses, P.H. Optimal data interval for estimating advertising response. Mark. Sci. 2006, 25, 217–229. [Google Scholar] [CrossRef]
- Kosko, B. Fuzzy cognitive maps. Int. J. Man-Mach. Stud. 1986, 24, 65–75. [Google Scholar] [CrossRef]
- Groumpos, P.P. Fuzzy cognitive maps: Basic theories and their application to complex systems. In Fuzzy Cognitive Maps: Advances in Theory, Methodologies, Tools and Applications; Springer: Berlin/Heidelberg, Germany, 2010; pp. 1–22. [Google Scholar]
- Papatheocharous, E.; Nyfjord, J.; Papageorgiou, E. Fuzzy cognitive maps as decision support tools for investigating critical agile adoption factors. In International Conference on Lean Enterprise Software and Systems; Springer: Berlin/Heidelberg, Germany, 2013; pp. 180–193. [Google Scholar]
- Papageorgiou, E.; Stylios, C.D.; Groumpos, P.P. Learning algorithms for fuzzy cognitive maps. In Proceedings of the 2nd International Conference in Fuzzy Logic and Technology (EUSFLAT 2001), Leicester, UK, 5–7 September 2001; pp. 83–88. Available online: https://kic.uoi.gr/wp-content/uploads/2020/04/Learning-Algorithms-For-Fuzzy-Cognitive-Maps.pdf (accessed on 18 January 2026).
- Koutsellis, T.; Xexakis, G.; Koasidis, K.; Nikas, A.; Doukas, H. Parameter analysis for sigmoid and hyperbolic transfer functions of fuzzy cognitive maps. Oper. Res. 2022, 22, 5733–5763. [Google Scholar] [CrossRef]
- Stylios, C.D.; Groumpos, P.P.; Georgopoulos, V.C. Fuzzy cognitive map approach to process control systems. J. Adv. Comput. Intell. 1999, 3, 409–417. [Google Scholar] [CrossRef]
- Sakas, D.P.; Reklitis, D.P.; Terzi, M.C.; Glaveli, N. Growth of digital brand name through customer satisfaction with big data analytics in the hospitality sector after the COVID-19 crisis. Int. J. Inf. Manag. Data Insights 2023, 3, 100190. [Google Scholar] [CrossRef]
- Sakas, D.P.; Reklitis, D.P.; Giannakopoulos, N.T.; Trivellas, P. The influence of websites user engagement on the development of digital competitive advantage and digital brand name in logistics startups. Eur. Res. Manag. Bus. Econ. 2023, 29, 100221. [Google Scholar] [CrossRef]
- Sakas, D.P.; Reklitis, D.P. The Impact of Organic Traffic of Crowdsourcing Platforms on Airlines’ Website Traffic and User Engagement. Sustainability 2021, 13, 8850. [Google Scholar] [CrossRef]
- Giannakopoulos, N.T.; Reklitis, D.P.; Terzi, M.C.; Sakas, D.P.; Kanellos, N. Video marketing for decentralized finance platforms’ services. J. Financ. Serv. Mark. 2024, 29, 1225–1259. [Google Scholar] [CrossRef]






| Variable | Construct | Definition (Plain) | Formula | Unit/Scale | Expected Role in Your Study |
|---|---|---|---|---|---|
| revenue_musd | Financial performance (scale) | Total revenue aggregated across CeFi firms | Reported value | USD millions | Scale indicator; also a denominator for intensity ratios; used for growth |
| net_income_ musd | Financial performance (profit) | Net income aggregated across CeFi firms | Reported value | USD millions | Profit level; numerator for margin |
| total_assets_ musd | Financial structure (size/capacity) | Total assets aggregated across CeFi firms | Reported value | USD millions | Size/control variable; capacity/resilience proxy |
| total_ liabilities_musd | Financial structure (leverage) | Total liabilities aggregated across CeFi firms | Reported value | USD millions | Balance-sheet risk/funding proxy; used to derive leverage measures |
| total_equity_musd | Financial structure (capital buffer) | Total equity aggregated across CeFi firms | Reported value | USD millions | Capital strength proxy; used to derive equity ratio |
| sga_musd | Marketing/ commercial investment (proxy) | SG&A expense (includes sales, marketing, admin), used as a proxy for commercialization effort | Reported value | USD millions | Marketing/commercial input; basis for intensity/efficiency metrics |
| operating_ expenses_musd | Operating efficiency (scale) | Total operating expenses aggregated across CeFi firms | Reported value | USD millions | Operations/platform cost base; basis for opex intensity/efficiency |
| sga_pct_revenue | Marketing intensity | SG&A as a share of revenue (how “heavy” commercial/admin costs are) | sga_musd/revenue_musd | Ratio (0–1) | Marketing/commercial cost intensity predictor (often expected ↓lower margin) |
| opex_pct_ revenue | Operating cost intensity | Operating expenses as a share of revenue | operating_expenses_musd/revenue_musd | Ratio (0–1) | Operational efficiency predictor (higher intensity often ↓lower margin) |
| rev_per_sga | Marketing efficiency | Revenue generated per unit of SG&A | revenue_musd/sga_musd | Ratio | Commercial efficiency predictor (often expected ↑ higher growth, ↑higher margin) |
| rev_per_opex | Operational efficiency | Revenue generated per unit of operating expenses | revenue_musd/operating_expenses_musd | Ratio | Operational efficiency predictor (often expected ↑higher margin) |
| net_margin | Profitability | Net income as a share of revenue | net_income_musd/revenue_musd | Ratio | Key dependent variable for profitability-focused hypotheses |
| sga_share_opex | Cost structure allocation | Portion of operating expenses represented by SG&A | sga_musd/operating_expenses_musd | Ratio (0–1) | Structure/strategy proxy: how much opex is commercial/admin vs. other ops |
| revenue_yoy_ growth | Growth | Year-over-year revenue growth | (revenue_t − revenue_(t − 1))/revenue_(t − 1) | Rate | Key dependent variable for growth-focused hypotheses |
| sga_yoy_growth | Marketing investment dynamics | Year-over-year SG&A growth | (sga_t − sga_(t − 1))/sga_(t − 1) | Rate | Key independent variable (investment expansion), also used with lags |
| Variable | N | Mean | Std. Dev. | Min | Max |
|---|---|---|---|---|---|
| revenue_musd | 6 | 47,011.0772 | 6594.8235 | 36,005.9530 | 54,531.6000 |
| net_income_musd | 6 | 12,230.0995 | 3101.1750 | 7537.7380 | 15,568.3240 |
| total_assets_musd | 6 | 1,189,743.1000 | 96,117.1857 | 1,054,184.0000 | 1,343,671.5000 |
| total_liabilities_musd | 6 | 1,083,695.4333 | 89,301.3829 | 957,364.1000 | 1,227,749.6000 |
| total_equity_musd | 6 | 106,048.3833 | 7115.0909 | 96,820.0000 | 115,921.9000 |
| sga_musd | 6 | 11,556.7100 | 1202.2919 | 9991.4267 | 13,342.1667 |
| operating_expenses_musd | 6 | 12,819.4518 | 1800.8945 | 9680.7100 | 14,895.2857 |
| sga_pct_revenue | 6 | 0.2132 | 0.0321 | 0.1758 | 0.2698 |
| opex_pct_revenue | 6 | 0.7075 | 0.1401 | 0.5411 | 0.9423 |
| rev_per_sga | 6 | 5.2867 | 0.3964 | 4.8002 | 5.8481 |
| rev_per_opex | 6 | 1.9567 | 0.2457 | 1.6011 | 2.1796 |
| net_margin | 6 | 0.1144 | 0.1443 | −0.0492 | 0.2866 |
| sga_share_opex | 6 | 0.5459 | 0.0205 | 0.5115 | 0.5654 |
| revenue_yoy_growth | 5 | 0.2745 | 0.3888 | −0.0773 | 0.9404 |
| sga_yoy_growth | 5 | 0.2067 | 0.3093 | −0.0381 | 0.7325 |
| Revenue_Musd | Net_Income_Musd | Total_Assets_Musd | Total_Liabilities_Musd | Total_Equity_Musd | Sga_Musd | Operating_Expenses_Musd | Sga_Pct_Revenue | Opex_Pct_Revenue | Rev_Per_Sga | Rev_Per_Opex | Net_Margin | Sga_Share_Opex | Revenue_Yoy_Growth | Sga_Yoy_Growth | |
|---|---|---|---|---|---|---|---|---|---|---|---|---|---|---|---|
| revenue_musd | 1.0000 | 0.9219 | 0.8875 | 0.8866 | 0.8782 | 0.9762 | 0.9844 | −0.7183 | −0.9628 | 0.7566 | 0.9595 | 0.8095 | 0.2748 | 0.3193 | −0.2746 |
| net_income_musd | 0.9219 | 1.0000 | 0.9621 | 0.9627 | 0.9403 | 0.9638 | 0.9495 | −0.7559 | −0.9075 | 0.7940 | 0.9021 | 0.8148 | 0.1254 | 0.6202 | 0.0325 |
| total_assets_musd | 0.8875 | 0.9621 | 1.0000 | 0.9999 | 0.9873 | 0.9394 | 0.9134 | −0.7811 | −0.8538 | 0.7887 | 0.8491 | 0.7417 | −0.0323 | 0.7347 | 0.2573 |
| total_liabilities_musd | 0.8866 | 0.9627 | 0.9999 | 1.0000 | 0.9861 | 0.9389 | 0.9127 | −0.7815 | −0.8530 | 0.7890 | 0.8484 | 0.7415 | −0.0334 | 0.7350 | 0.2577 |
| total_equity_musd | 0.8782 | 0.9403 | 0.9873 | 0.9861 | 1.0000 | 0.9301 | 0.9025 | −0.7961 | −0.8362 | 0.8030 | 0.8288 | 0.7415 | −0.0204 | 0.7414 | 0.2510 |
| sga_musd | 0.9762 | 0.9638 | 0.9394 | 0.9389 | 0.9301 | 1.0000 | 0.9900 | −0.6799 | −0.9362 | 0.7282 | 0.9352 | 0.7590 | 0.1451 | 0.4896 | −0.1166 |
| operating_expenses_musd | 0.9844 | 0.9495 | 0.9134 | 0.9127 | 0.9025 | 0.9900 | 1.0000 | −0.6559 | −0.9587 | 0.7067 | 0.9629 | 0.7774 | 0.2570 | 0.3787 | −0.2238 |
| sga_pct_revenue | −0.7183 | −0.7559 | −0.7811 | −0.7815 | −0.7961 | −0.6799 | −0.6559 | 1.0000 | 0.5570 | −0.9674 | −0.5416 | −0.8638 | −0.3620 | −0.7052 | −0.4087 |
| opex_pct_revenue | −0.9628 | −0.9075 | −0.8538 | −0.8530 | −0.8362 | −0.9362 | −0.9587 | 0.5570 | 1.0000 | −0.6102 | −0.9973 | −0.7285 | −0.3180 | −0.1944 | 0.3795 |
| rev_per_sga | 0.7566 | 0.7940 | 0.7887 | 0.7890 | 0.8030 | 0.7282 | 0.7067 | −0.9674 | −0.6102 | 1.0000 | 0.5944 | 0.8848 | 0.2774 | 0.7764 | 0.4489 |
| rev_per_opex | 0.9595 | 0.9021 | 0.8491 | 0.8484 | 0.8288 | 0.9352 | 0.9629 | −0.5416 | −0.9973 | 0.5944 | 1.0000 | 0.7192 | 0.3260 | 0.1914 | −0.3792 |
| net_margin | 0.8095 | 0.8148 | 0.7417 | 0.7415 | 0.7415 | 0.7590 | 0.7774 | −0.8638 | −0.7285 | 0.8848 | 0.7192 | 1.0000 | 0.4132 | 0.7517 | 0.2164 |
| sga_share_opex | 0.2748 | 0.1254 | −0.0323 | −0.0334 | −0.0204 | 0.1451 | 0.2570 | −0.3620 | −0.3180 | 0.2774 | 0.3260 | 0.4132 | 1.0000 | 0.2380 | 0.5703 |
| revenue_yoy_growth | 0.3193 | 0.6202 | 0.7347 | 0.7350 | 0.7414 | 0.4896 | 0.3787 | −0.7052 | −0.1944 | 0.7764 | 0.1914 | 0.7517 | 0.2380 | 1.0000 | 0.9124 |
| sga_yoy_growth | −0.2746 | 0.0325 | 0.2573 | 0.2577 | 0.2510 | −0.1166 | −0.2238 | −0.4087 | 0.3795 | 0.4489 | −0.3792 | 0.2164 | 0.5703 | 0.9124 | 1.0000 |
| Term | M1 RevGrowth | M2 NetMargin | M3 Log(Rev) | M4 RevGrowth Lag |
|---|---|---|---|---|
| Intercept | −4.529 ** (0.647) | 0.249 (0.399) | 1.562 (1.348) | 0.201 ** (0.030) |
| SGA efficiency (rev_per_sga_from_totals) | 1.131 ** (0.160) | |||
| SGA YoY growth (sga_yoy_growth) | 0.689 ** (0.102) | |||
| SGA intensity (sga_pct_revenue_from_totals) | −1.501 * (0.489) | |||
| Leverage (liab/equity) | 0.037 (0.031) | |||
| log(Opex) | 0.972 *** (0.143) | |||
| Lagged SGA YoY growth (sga_yoy_lag1) | −0.397 ** (0.079) |
| Model | N | R2 | Adj. R2 | F | Prob(F) |
|---|---|---|---|---|---|
| M1 RevGrowth | 5 | 0.994 | 0.987 | 153.298 | 0.006 |
| M2 NetMargin | 6 | 0.885 | 0.808 | 11.513 | 0.039 |
| M3 log(Rev) | 6 | 0.921 | 0.901 | 46.467 | 0.002 |
| M4 RevGrowth lag | 4 | 0.926 | 0.889 | 25.058 | 0.038 |
Disclaimer/Publisher’s Note: The statements, opinions and data contained in all publications are solely those of the individual author(s) and contributor(s) and not of MDPI and/or the editor(s). MDPI and/or the editor(s) disclaim responsibility for any injury to people or property resulting from any ideas, methods, instructions or products referred to in the content. |
© 2026 by the authors. Licensee MDPI, Basel, Switzerland. This article is an open access article distributed under the terms and conditions of the Creative Commons Attribution (CC BY) license.
Share and Cite
Reklitis, D.P.; Giannakopoulos, N.T.; Terzi, M.C.; Sakas, D.P.; S. Toudas, K.; Christopoulos, A.G. Information-Enabled Marketing Efficiency and Financial Performance in Centralized Finance (CeFi)—An International Study. Information 2026, 17, 280. https://doi.org/10.3390/info17030280
Reklitis DP, Giannakopoulos NT, Terzi MC, Sakas DP, S. Toudas K, Christopoulos AG. Information-Enabled Marketing Efficiency and Financial Performance in Centralized Finance (CeFi)—An International Study. Information. 2026; 17(3):280. https://doi.org/10.3390/info17030280
Chicago/Turabian StyleReklitis, Dimitrios P., Nikolaos T. Giannakopoulos, Marina C. Terzi, Damianos P. Sakas, Kanellos S. Toudas, and Apostolos G. Christopoulos. 2026. "Information-Enabled Marketing Efficiency and Financial Performance in Centralized Finance (CeFi)—An International Study" Information 17, no. 3: 280. https://doi.org/10.3390/info17030280
APA StyleReklitis, D. P., Giannakopoulos, N. T., Terzi, M. C., Sakas, D. P., S. Toudas, K., & Christopoulos, A. G. (2026). Information-Enabled Marketing Efficiency and Financial Performance in Centralized Finance (CeFi)—An International Study. Information, 17(3), 280. https://doi.org/10.3390/info17030280

