A Verifiable and Redactable Blockchain with Lightweight Storage and Permission Supervision
Abstract
1. Introduction
1.1. Related Work
1.2. Our Contribution
- We propose a novel blockchain architecture with a dual-level chameleon hashing structure for effective supervision, which enables the regulator holding the trapdoor key of inner hashing to redact the on-chain data, while allowing the certificate authority holding the outer hash trapdoor key to correct the malicious redaction executed by compromised regulators.
- We propose a dual-level authentication data structure for our dual-level redactable blockchain, in which all blocks are appended to a constant-size global tag, thus achieving lightweight storage while enabling verifiable data queries and updates over on-chain data.
- We propose an on-chain data auditing protocol, which allows blockchain nodes to verify the integrity and validity of the blockchain ledger before synchronizing it, thereby enhancing the security and ledger consistency of the blockchain system.
2. Preliminaries
2.1. Strong RSA Assumption
2.2. Chameleon Hash Functions
- : On input security parameters , this algorithm outputs public parameters .
- On input public parameters , this algorithm outputs hash key (, ).
- : On input m and public hash key , this algorithm outputs a hash value h and verification string ().
- : On input a new data and an old m, a secret trapdoor key , outputs a collision for .
- : On input a data m, h, public hash key , and , this procedure outputs 1 if h is valid. Otherwise, it outputs 0.
2.3. Retrievable Homomorphic Verifiable Tags
- : Input the security parameter , then output a set of public parameters .
- : On input a security parameter , the key generation algorithm outputs a public verification key and a secret key .
- : The tag generation algorithm takes as input and data item m, outputs an tag .
- : The tag verification algorithm takes as input and , outputs 1 if is valid on m, and 0 otherwise.
- (. On input and an aggregated tag , if is valid, the aggregation algorithm outputs a new aggregated tag
- : The local auxiliary algorithm takes as input and , outputs auxiliary information for , which will be used to retrieve its original tag from .
- : The tag retrieval algorithm takes as input , , and the tag retrieval algorithm outputs the original tag of the s-th data item .
- : On input , , the tag , and a new tag , the aggregated tag update algorithm outputs a new aggregated tag .
3. Problem Statement
3.1. System Architecture
- Certificate Authority (CA): A fully trusted entity in charge of system initialization and binding each block to a fixed-size tag. Meanwhile, it can deprive the redaction permission of a malicious regulator.
- Blockchain Miner (BM): The full nodes that can append new blocks to the blockchain ledger only when they win in the current consensus process, and all of them will maintain the entire ledger.
- Verifier/Auditor (VA): A light node (LN) that can query and verify on-chain data, or check the integrity of the blockchain ledger, and make requests for changes when necessary.
- Prover/Auditee (PA): A full node holds the entire blockchain ledger and is responsible for providing verifiable data query or ledger synchronization services.
- Redactor (R): A dynamic committee of elected members who serve in rotation as the regulator for each cycle, redacting on-chain data according to user requests. Their actions are supervised by the CA, which is responsible for correcting errors and revoking permissions in response to malicious behavior.
3.2. Definitions
- As shown in Figure 1, a redactable blockchain consists of a sequence of blocks = , , , , , , , , , in which , , , , , and . For each new block , the miner adopts the Merkle root computed over the transactions to generate inner hash value and outer hash value for the new block . Finally, generate the block hash value .where is the hash of the previous block and is the validation string in , and is the Nonce value of the block , is the public key of cycle I, is the hash of the block .
- (1).
- (): Given security parameter , this algorithm outputs public parameters .
- (2).
- → : On input , this algorithm outputs the following keys:
- A secret key and a public key , which can be used to calculate tags by CA.
- An outer public key and an outer secret key , which are used by CA to calculate the outer hash value.
- A set of inner public key and a set of inner secret key , which are used by the 1-th to compute the inner hash value.
- (3).
- → : On input and , the bind algorithm outputs a value and a new tag cycle :
- → : returns a inner hash value and its check string .
- → : returns a outer hash value and its check string .
- → . CA runs algorithms to generate inner layer tag and outer layer tag , and runs algorithms to generate inner layer aggregated tag and outer layer aggregated tag . We adopted a dual-level authentication data structure. Cycling all blocks, set each k blocks as a cycle. .
- (4).
- : The interaction protocol can update the validation character and update the inner and outer tags.
- : The CA with or the with runs algorithm to generate the updated verification string . If it is the looking for the collision, . If it is the CA looking for the collision, .
- → : CA runs algorithms to generate a new inner layer tag for new , and runs algorithms to generate a new inner layer aggregated tag . For the outer layer, CA runs algorithms to generate a new outer layer tag for new , and runs algorithms to generate a new outer layer aggregated global tag .
- (5).
- : Through this protocol, the correctness and validity of on-chain data can be verified, as follows:
- : On input , this algorithm outputs the index s of the queried block.
- : On input s, CA runs algorithm to generate the auxiliary information , and then outputs .
- : VA retrieves inner layer tag and outer layer tag from aggregated by running algorithm, and then outputs the verification result .
- (6).
- : To verify the integrity of the blockchain ledger, CA and PA perform the following interactive protocol:
- : On input , this algorithm outputs a challenge .
- : Upon receiving the challenge , CA first identifies the index set S of the challenged data items and then proceeds to generate an integrity proof with the corresponding auxiliary information .
- : Upon receiving the input tuple , , , , the VA runs algorithm for each to retrieve the inner tag , and then outputs the verification result of .
3.3. Threat Model
- : If the system parameters, the data structure, and the proof are honestly generated by the corresponding algorithms (, , , , and respectively), then during the block query or blockchain auditing phase, the procedure outputs 1 for any valid challenge .
- : If a prover successfully convinces a VA that the challenged block data is intact and valid in a query or auditing process. It must be true that the prover actually stores that data. Specifically, we define a soundness experiment between a challenger C and a PPT adversary , which consists of the following phases:
- –
- : The challenger C first generates public parameter , and sends to the adversary ;
- –
- : can adaptively make a polynomial number of queries to the challenger C. For each query on a data item , C correctly generates its corresponding inner layer tag , and faithfully updates the entire hierarchy of aggregate tags, including the inner layer aggregate , the outer layer tag , and the global aggregate . C then returns the resulting individual tag and its index t to .
- –
- : C constructs a query/audit challenge and submits it to , requiring to return a corresponding proof for the data items designated by .
- –
- : C validates the proof against the challenge tuple . The procedure outputs 1 for a successful validation and 0 otherwise.
- : cannot derive the trapdoor key from a given collision for . In addition, only the user holding the trapdoor key is able to generate new collisions for .
4. The Proposed Scheme
4.1. Overview
4.2. The Concrete Construction
4.2.1. System Setup
4.2.2. Block Append
- Hash binding: BM randomly selects two random values , and computes the inner layer hash value and outer layer hash value of .where = , . Then, the block = , , , , , , , , is added to the blockchain.
- Tag binding: The data m is first indexed as (), and CA generates a tag for each block, as follows.Second, the tag is aggregated by the CA into the inner layer tag , and .After that, CA updates . When the number of data added to inner aggregation tag in cycle I reaches 10 (This group-binding mechanism is analogous to a confirmation process in a blockchain, providing enhanced fault tolerance and enabling the correction of erroneous blocks within the finalized group), the CA uses the inner aggregation tag to the outer tag, as follows.Then, CA aggregates to the global tag and updates the relevant data, as follows.Finally, CA publishes the new block , the inner tag , inner aggregation tag , outer layer tag , and the global tag on the blockchain.
- Upon receiving the new blocks and their associated tags , , all LNs will verify the inner and outer layer hash values and the tags, as follows.If Equation (6) holds, the LNs discards both and for alleviate the storage cost and then adds to the local blockchain ledger.
4.2.3. Block Redaction
- Regular Redaction: For a regular redaction requirement, computes the of the inner hash value to generate a valid hash collision.Then, generates a one-time key and its hash key . And calculates the new inner layer verification value .The collision block = , , , , , , , , for = , , , , , , , , .When is replaced by , CA updates the tag information for the new block information. First, CA generates an inner layer tag for , updates inner layer aggregated tag , and generates outer layer tag for , updates aggregated global tag (When belongs to the last group, and the last group is less than 10, only the inner tag needs to be updated).Finally, CA publishes the new block and the updated tag () on the blockchain.
- Correction: For a malicious redaction executed by a compromised regulator, CA selects a random number , and uses the master key to replace the subordinate key pair of the original to recalculate the inner layer hash .And, CA computes the of the outer layer hash .Then, CA calculates , , and the new outer layer verification value .At this point, for the s-th block, the redaction authority of user (I = ) has been transferred to CA. The collision block = , , , , , , , , for = , , , , , , , , . And CA updates the tag information according to Equation (9).
- Update.block: A validity check based on Equation (6) is first performed by the LNs. If the check succeeds, they update the local blockchain ledger.
4.2.4. Block Query
4.2.5. Blockchain Auditing
- : VA selects three random elements and . Subsequently, VA publishes the to the blockchain.
- : In response to the , PA generates Algorithm 1 and publishes the integrity proof for each group on the blockchain, while also transmitting the corresponding verification metadata to VA via a secure off-chain channel.
- : Run Algorithm 2 for the proof of each group, if , VA aborts this process. Otherwise, it verifies the challenged blocks’ correctness via Equation (19). If the verification is successful, VA issues a final audit result on the blockchain, indicating that the ledger is intact and valid.
| Algorithm 1 Audit Proof Generation. |
|
| Algorithm 2 Audit Proof Verification. |
|
5. Security Analysis
6. Performance Analysis
6.1. Theoretical Analysis
- Cycle Size (k): As indicated in the Block Query, Blockchain auditing and Storage analysis, increasing k significantly slows the growth rate of proof generation costs (dominated by the term) and reduces the storage burden on Nodes. Therefore, for permissionless settings (where the chain length n grows indefinitely and storage is costly), a larger k is recommended to ensure scalability and minimize the size of global tags. Conversely, for permissioned settings with high-performance nodes, a smaller k is acceptable to achieve finer-grained permission.
- Audit Challenge (z): Our analysis shows that the auditing cost increases linearly with z. However, a larger z is necessary to achieve higher confidence. As [12]’s work, when the proportion of corrupted blocks in the file under audit is 1%, the integrity auditing process achieves a precision of 95% when 300 blocks are sampled, which increases to 99% as the number of challenged blocks reaches 460. Consequently, In real-world deployments, users should prioritize security by selecting for critical data, while may suffice for general-purpose auditing where speed is prioritized.
6.2. Implementation
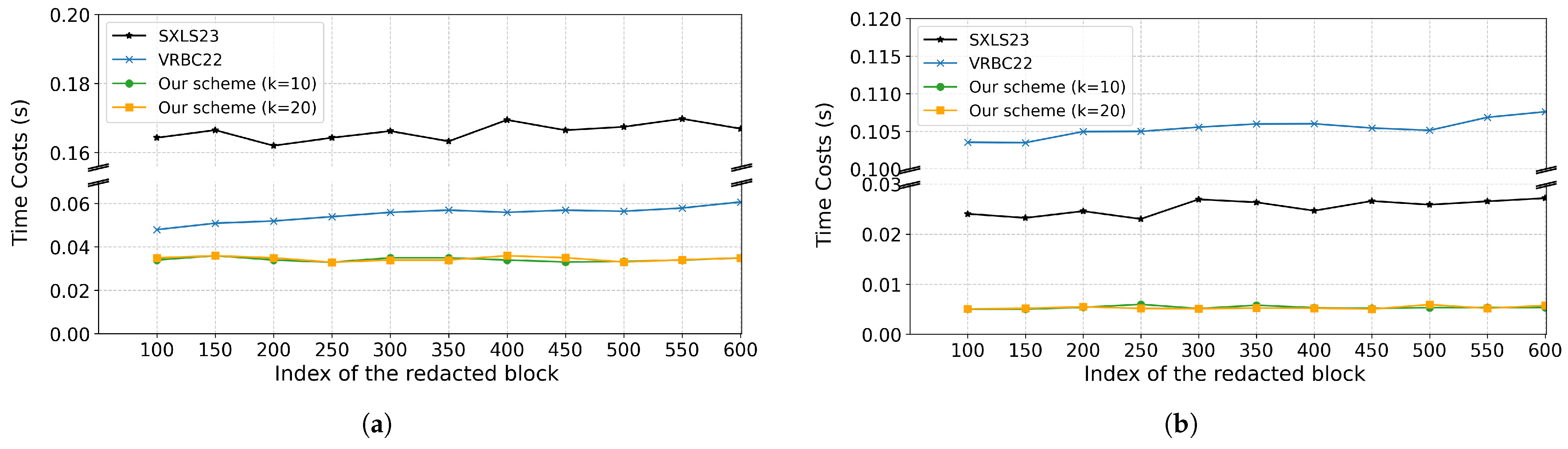
6.3. Result Overview
7. Discussion
8. Conclusions
Author Contributions
Funding
Data Availability Statement
Conflicts of Interest
References
- Nakamoto, S. Bitcoin: A Peer-to-Peer Electronic Cash System. Whitepaper. 2009. Available online: https://bitcoin.org/bitcoin.pdf (accessed on 1 October 2023).
- Wood, G. Ethereum: A Secure Decentralised Generalised Transaction Ledger. Ethereum Project Yellow Paper. 2014. Available online: https://ethereum.github.io/yellowpaper/paper.pdf (accessed on 4 February 2026).
- Möser, M.; Soska, K.; Heilman, E.; Lee, K.; Heffan, H.; Srivastava, S.; Hogan, K.; Hennessey, J.; Miller, A.; Narayanan, A.; et al. An Empirical Analysis of Traceability in the Monero Blockchain. arXiv 2018, arXiv:1704.04299. [Google Scholar] [CrossRef]
- Korpela, K.; Hallikas, J.; Dahlberg, T. Digital Supply Chain Transformation toward Blockchain Integration. In Proceedings of the 50th Hawaii International Conference on System Sciences, Big Island, HI, USA, 4–7 January 2017. [Google Scholar] [CrossRef]
- Krenn, S.; Pöhls, H.C.; Samelin, K.; Slamanig, D. Chameleon-Hashes with Dual Long-Term Trapdoors and Their Applications. In Progress in Cryptology—AFRICACRYPT 2018; Cryptology ePrint Archive, Paper 2018/971; Springer: Cham, Switzerland, 2018. [Google Scholar] [CrossRef]
- Raikwar, M.; Mazumdar, S.; Ruj, S.; Sen Gupta, S.; Chattopadhyay, A.; Lam, K.Y. A Blockchain Framework for Insurance Processes. In Proceedings of the 2018 9th IFIP International Conference on New Technologies, Mobility and Security (NTMS), Paris, France, 26–28 February 2018; pp. 1–4. [Google Scholar] [CrossRef]
- Chen, J.; Yao, S.; Yuan, Q.; He, K.; Ji, S.; Du, R. CertChain: Public and Efficient Certificate Audit Based on Blockchain for TLS Connections. In Proceedings of the IEEE INFOCOM 2018—IEEE Conference on Computer Communications, Honolulu, HI, USA, 16–19 April 2018; pp. 2060–2068. [Google Scholar] [CrossRef]
- Jia, M.; He, K.; Chen, J.; Du, R.; Chen, W.; Tian, Z.; Ji, S. PROCESS: Privacy-Preserving On-Chain Certificate Status Service. In Proceedings of the IEEE INFOCOM 2021—IEEE Conference on Computer Communications, Vancouver, BC, Canada, 10–13 May 2021; pp. 1–10. [Google Scholar] [CrossRef]
- Matzutt, R.; Hiller, J.; Henze, M.; Ziegeldorf, J.H.; Müllmann, D.; Hohlfeld, O.; Wehrle, K. A Quantitative Analysis of the Impact of Arbitrary Blockchain Content on Bitcoin. In Financial Cryptography and Data Security; Meiklejohn, S., Sako, K., Eds.; Springer: Berlin/Heidelberg, Germany, 2018; pp. 420–438. [Google Scholar] [CrossRef]
- Hou, B.; Chen, F. A Study on Nine Years of Bitcoin Transactions: Understanding Real-world Behaviors of Bitcoin Miners and Users. In Proceedings of the 2020 IEEE 40th International Conference on Distributed Computing Systems (ICDCS), Singapore, 29 November–1 December 2020; pp. 1031–1043. [Google Scholar] [CrossRef]
- Schwerin, S. Blockchain and Privacy Protection in the Case of the European General Data Protection Regulation (GDPR): A Delphi Study. J. Br. Blockchain Assoc. 2018, 1, 1–77. [Google Scholar] [CrossRef] [PubMed]
- Ateniese, G.; Magri, B.; Venturi, D.; Andrade, E. Redactable Blockchain – or – Rewriting History in Bitcoin and Friends. In Proceedings of the 2017 IEEE European Symposium on Security and Privacy (EuroS&P), Paris, France, 26–28 April 2017; pp. 111–126. [Google Scholar] [CrossRef]
- Ateniese, G.; de Medeiros, B. Identity-Based Chameleon Hash and Applications. In Financial Cryptography; Juels, A., Ed.; Springer: Berlin/Heidelberg, Germany, 2004; pp. 164–180. [Google Scholar] [CrossRef]
- Derler, D.; Samelin, K.; Slamanig, D.; Striecks, C. Fine-Grained and Controlled Rewriting in Blockchains: Chameleon-Hashing Gone Attribute-Based. In Proceedings of the Network and Distributed Systems Security (NDSS) Symposium 2019, San Diego, CA, USA, 24–27 February 2019. Cryptology ePrint Archive, Paper 2019/406. [Google Scholar] [CrossRef]
- Ma, J.; Xu, S.; Ning, J.; Huang, X.; Deng, R.H. Redactable Blockchain in Decentralized Setting. IEEE Trans. Inf. Forensics Secur. 2022, 17, 1227–1242. [Google Scholar] [CrossRef]
- Qin, H.; Duan, M.; Tang, Y.; Wang, M. Traceable Decentralized Policy-Based Chameleon Hash Scheme for Blockchain Rewriting. In Data Science; Xu, C., Pan, H., Yu, C., Wang, J., Han, Q., Song, X., Lu, Z., Eds.; Springer: Singapore, 2024; pp. 183–203. [Google Scholar] [CrossRef]
- Xu, S.; Ning, J.; Ma, J.; Xu, G.; Yuan, J.; Deng, R.H. Revocable Policy-Based Chameleon Hash. In Computer Security—ESORICS 2021; Bertino, E., Shulman, H., Waidner, M., Eds.; Springer: Cham, Switzerland, 2021; pp. 327–347. [Google Scholar] [CrossRef]
- Abdali, S.; Yusoff, M.N.; Hasan, H.F. Enhancing Efficiency and Fine-Grained Control in Redactable Blockchains with EPBCHF. Iraqi J. Comput. Sci. Math. 2024, 5, 194–212. [Google Scholar] [CrossRef]
- Panwar, G.; Vishwanathan, R.; Misra, S. ReTRACe: Revocable and Traceable Blockchain Rewrites using Attribute-based Cryptosystems. In Proceedings of the 26th ACM Symposium on Access Control Models and Technologies (SACMAT ’21); Association for Computing Machinery: New York, NY, USA, 2021; pp. 103–114. [Google Scholar] [CrossRef]
- Xu, S.; Ning, J.; Ma, J.; Huang, X.; Deng, R.H. K-Time Modifiable and Epoch-Based Redactable Blockchain. IEEE Trans. Inf. Forensics Secur. 2021, 16, 4507–4520. [Google Scholar] [CrossRef]
- Li, Y.; Zhang, Z.; Chen, X.; Li, R.; Zhang, L. Redactable Blockchain with K-Time Controllable Editing. In Proceedings of the 2022 IEEE International Conference on Trust, Security and Privacy in Computing and Communications (TrustCom), Wuhan, China, 9–11 December 2022; pp. 1455–1461. [Google Scholar] [CrossRef]
- Duan, J.; Wang, W.; Wang, L.; Gu, L. Controlled Redactable Blockchain Based on T-Times Chameleon Hash and Signature. IEEE Trans. Inf. Forensics Secur. 2024, 19, 7560–7572. [Google Scholar] [CrossRef]
- Tian, Y.; Li, N.; Li, Y.; Szalachowski, P.; Zhou, J. Policy-based Chameleon Hash for Blockchain Rewriting with Black-box Accountability. In Proceedings of the 36th Annual Computer Security Applications Conference (ACSAC ’20); Association for Computing Machinery: New York, NY, USA, 2020; pp. 813–828. [Google Scholar] [CrossRef]
- Jia, Y.; Sun, S.F.; Zhang, Y.; Liu, Z.; Gu, D. Redactable Blockchain Supporting Supervision and Self-Management. In Proceedings of the 2021 ACM Asia Conference on Computer and Communications Security (ASIA CCS ’21); Association for Computing Machinery: New York, NY, USA, 2021; pp. 844–858. [Google Scholar] [CrossRef]
- Tian, G.; Wei, J.; Kutyłowski, M.; Susilo, W.; Huang, X.; Chen, X. VRBC: A Verifiable Redactable Blockchain with Efficient Query and Integrity Auditing. IEEE Trans. Comput. 2023, 72, 1928–1942. [Google Scholar] [CrossRef]
- Shen, J.; Chen, X.; Liu, Z.; Susilo, W. Verifiable and Redactable Blockchains with Fully Editing Operations. IEEE Trans. Inf. Forensics Secur. 2023, 18, 3787–3802. [Google Scholar] [CrossRef]
- Puddu, I.; Dmitrienko, A.; Capkun, S. μchain: How to Forget without Hard Forks. IACR Cryptol. ePrint Arch. 2017, 2017, 106. [Google Scholar]
- Deuber, D.; Magri, B.; Thyagarajan, S.A.K. Redactable Blockchain in the Permissionless Setting. In Proceedings of the 2019 IEEE Symposium on Security and Privacy (SP), San Francisco, CA, USA, 19–23 May 2019; pp. 124–138. [Google Scholar] [CrossRef]
- Xu, Z.; Luo, X.; Xue, K.; Wei, D.; Li, R. SEREDACT: Secure and Efficient Redactable Blockchain with Verifiable Modification. In Proceedings of the 2023 IEEE 43rd International Conference on Distributed Computing Systems (ICDCS), Hong Kong, 18–21 July 2023; pp. 818–828. [Google Scholar] [CrossRef]
- Wu, X.; Du, X.; Wang, S.; Yang, Q.; Liu, A.; Wang, W. PRBC: A practical redactable blockchain incorporating chameleon hash functions with attribute control. J. Inf. Secur. Appl. 2025, 90, 104045. [Google Scholar] [CrossRef]
- Yang, Y.; Chen, Y.; Liu, Z.; Tan, C.; Luo, Y. Verifiable and Redactable Blockchain for Internet of Vehicles Data Sharing. IEEE Internet Things J. 2025, 12, 4249–4261. [Google Scholar] [CrossRef]
- Wang, W.; Peng, H.; Duan, J.; Wang, L.; Hu, X.; Zhao, Z. Resilient and Redactable Blockchain with Two-Level Rewriting and Version Detection. IEEE Trans. Inf. Forensics Secur. 2025, 20, 1163–1175. [Google Scholar] [CrossRef]
- Shamir, A. On the generation of cryptographically strong pseudo-random sequences. In Automata, Languages and Programming; Even, S., Kariv, O., Eds.; Springer: Berlin/Heidelberg, Germany, 1981; pp. 544–550. [Google Scholar] [CrossRef]
- Chen, X.; Zhang, F.; Susilo, W.; Mu, Y. Efficient Generic On-Line/Off-Line Signatures Without Key Exposure. In Applied Cryptography and Network Security, Proceedings of the 5th International Conference on Applied Cryptography and Network Security (ACNS ’07); Springer: Berlin/Heidelberg, Germany, 2007; pp. 18–30. [Google Scholar] [CrossRef]
- Tian, G.; Wei, J.; Miao, M.; Guo, F.; Susilo, W.; Chen, X. Blockchain-Based Compact Verifiable Data Streaming with Self-Auditing. IEEE Trans. Dependable Secur. Comput. 2024, 21, 3917–3930. [Google Scholar] [CrossRef]
- Campanelli, M.; Fiore, D.; Greco, N.; Kolonelos, D.; Nizzardo, L. Incrementally Aggregatable Vector Commitments and Applications to Verifiable Decentralized Storage. In Advances in Cryptology—ASIACRYPT 2020; Moriai, S., Wang, H., Eds.; Springer: Cham, Switzerland, 2020; pp. 3–35. [Google Scholar] [CrossRef]
- Goyal, R.; Vaikuntanathan, V. Locally Verifiable Signature and Key Aggregation. In Advances in Cryptology—CRYPTO 2022; Dodis, Y., Shrimpton, T., Eds.; Springer: Cham, Switzerland, 2022; pp. 761–791. [Google Scholar] [CrossRef]






| Schemes | Setting | Authorization | Redactor | Verification | Query | Auditing | Supervision |
|---|---|---|---|---|---|---|---|
| AMVA17 [12] | Permissioned/less | CA/Committee | CA/Committee | × | × | × | × |
| PDS17 [27] | Permissioned | CA | CA | × | × | × | × |
| DMT19 [28] | Permissionless | N/A | All miners | × | × | × | × |
| DSSS19 [14] | Permissioned/less | CA/Users | Authorized users | × | × | × | × |
| PVN21 [19] | Permissioned | CA | Authorized users | × | × | × | 🗸 |
| MXNH22 [15] | Permissioned | Multi-CA | Authorized users | × | × | × | × |
| XNMX21 [20] | Permissioned | CA | Authorized users | × | × | × | 🗸 |
| JSZ21 [24] | Permissioned | CA | CA + All users | × | × | × | 🗸 |
| LZCX22 [21] | Permissioned | CA | Authorized users | × | × | × | 🗸 |
| TWKS22 [25] | Permissioned/less | CA/Committee | CA + Committee | 🗸 | 🗸 | 🗸 | × |
| SCLS23 [26] | Permissioned/less | CA/Committee | CA/Committee | 🗸 | × | × | × |
| XLXW23 [29] | Permissioned/less | CA/Committee | Authorized users | 🗸 | × | × | × |
| WDW25 [30] | Permissioned | CA | Authorized users | × | × | × | 🗸 |
| YCLT25 [31] | Permissioned | Committee | Committee + users | 🗸 | × | × | × |
| WPDW25 [32] | Permissioned/less | Committee | Committee + users | 🗸 | × | × | × |
| Our scheme | Permissioned/less | CA/Committee | CA + Committee | 🗸 | 🗸 | 🗸 | 🗸 |
| Notation | Description |
|---|---|
| n | Total count of blocks on the blockchain |
| m | Quantity of transactions per standard block |
| q | The branching factor of the q-ary BAT |
| k | Number of blocks per cycle |
| N | Dimensionality of the family vector |
| z | Total nodes within the audited path union |
| c | Number of groups involved in the z data blocks under audit. |
| s | Number of redacted blocks |
| ℓ | Height of the redacted/queried node within the BAT |
| l | Height of the MHT in the block |
| H | Cost overhead of running a hash function H |
| Cost overhead of hashing a string to a prime | |
| M | Cost overhead of mining a standard block |
| EC | The cost of the elliptic curve algorithm |
| EEA | Cost overhead of executing an extended euclidean algorithm |
| Exp | Cost overhead of an exponentiation operation |
| Pair | Computational cost for a bilinear pairing operation |
| Storage size of the element in G | |
| Storage size of the element in | |
| Storage size of the element in | |
| Storage size of the transaction in a standard block | |
| Storage size of the block header in a standard block |
| Schemes | Communication Costs | Storage Costs | |||||
|---|---|---|---|---|---|---|---|
| Setup | Bind | Redact | Query | Auditing | FN | LN | |
| VRBC | |||||||
| [25] | |||||||
| SCLS | - | ||||||
| [26] | |||||||
| Our | |||||||
| scheme | |||||||
| Schemes | System Setup | Block Append | Block Redaction | Block Query | Blockchain Auditing | ||||
|---|---|---|---|---|---|---|---|---|---|
| Bind | Verify | Redact | Verify | Prove | Verify | Prove | Verify | ||
| VRBC | |||||||||
| [25] | |||||||||
| SCLS | - | - | - | ||||||
| [26] | |||||||||
| Our | |||||||||
| scheme | |||||||||
| k | 10 | 20 | 30 | 40 |
|---|---|---|---|---|
| Runtime (s) | 0.0375 | 0.03864 | 0.03791 | 0.03913 |
Disclaimer/Publisher’s Note: The statements, opinions and data contained in all publications are solely those of the individual author(s) and contributor(s) and not of MDPI and/or the editor(s). MDPI and/or the editor(s) disclaim responsibility for any injury to people or property resulting from any ideas, methods, instructions or products referred to in the content. |
© 2026 by the authors. Licensee MDPI, Basel, Switzerland. This article is an open access article distributed under the terms and conditions of the Creative Commons Attribution (CC BY) license.
Share and Cite
Miao, M.; Yang, X.; Wei, J.; Tian, G.; Susilo, W. A Verifiable and Redactable Blockchain with Lightweight Storage and Permission Supervision. Information 2026, 17, 176. https://doi.org/10.3390/info17020176
Miao M, Yang X, Wei J, Tian G, Susilo W. A Verifiable and Redactable Blockchain with Lightweight Storage and Permission Supervision. Information. 2026; 17(2):176. https://doi.org/10.3390/info17020176
Chicago/Turabian StyleMiao, Meixia, Xueyi Yang, Jianghong Wei, Guohua Tian, and Willy Susilo. 2026. "A Verifiable and Redactable Blockchain with Lightweight Storage and Permission Supervision" Information 17, no. 2: 176. https://doi.org/10.3390/info17020176
APA StyleMiao, M., Yang, X., Wei, J., Tian, G., & Susilo, W. (2026). A Verifiable and Redactable Blockchain with Lightweight Storage and Permission Supervision. Information, 17(2), 176. https://doi.org/10.3390/info17020176

