A Novel Method for Community Detection in Bipartite Networks
Abstract
1. Introduction
2. Related Work
2.1. Preliminary Definitions and Variables
2.1.1. Community Structure
2.1.2. Centrality Measure
2.1.3. Modularity
3. Proposed Method
Voting Rules
- If node u has the highest degree among its second-order neighbors or has been nominated as a candidate, it casts a vote for itself.
- From among u’s second-order neighbors, a node with a greater degree than u is selected and designated as v. If there are many nodes that are similar to u, the most similar node is chosen and designated as v. The notation indicates the similarity between u and v. u proposes itself as a candidate and casts its own vote if .
- If v has not cast a vote for any other nodes, u proposes node v as a candidate and casts a vote for it.
- If node v casts a vote for node w, i.e., if v has forfeited its right to be nominated as a candidate, then node u will also cast a vote for node w.
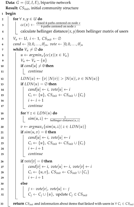
| Algorithm 1: BiVoting Community Detection Method |
![]() |
| Algorithm 2: The Logic of Function BiVoting(G) |
![]() |
| Algorithm 3: The Logic of Function BiMerge(G,) |
![]() |
4. Experimental Results
- BiAttractor: Based on distance dynamics, Hong Sun created a unique technique for bipartite community detection in big bipartite networks [20]. The interactions that take place in human societies—where there are more interactions inside a society than between them—are the source of inspiration for it. It produces accurate community partitions and has time complexity in networks that are sparse (the is the edge number).
- Adaptive BRIM: Barber introduced the concept of iteratively maximizing modularity in bipartite networks, which led to the creation of BRIM (bipartite, recursively driven modules) [72]. It is ensured that does not drop for each iteration. On the other hand, the observed splitting of bipartite networks results in a local maximum instead of a global maximum. Furthermore, the maximization of modularity also determines the number of modules. It has time complexity.
- LP BRIM: By putting out the combination BRIM and label propagation technique known as LP BRIM, Liu expanded on the work of BRIM [73]. It may be implemented in real networks because of its time complexity, which is (where the number of nodes is n).
- AsymIntimacy: Considering the intimate degree between nodes of the same kind and nodes of different kinds, Wang established asymmetric parameters [9]. Because of the close degree of asymmetry, nodes of the same kind are first combined as subsets. To form core communities, the subsets from the previous stage are then combined with another sort of node. Core community pairings are combined as soon as the intersection ratio rises over a certain level. Until no other core communities can be combined, this procedure is repeated. is its time complexity, where n and m are the number of nodes and edges.
4.1. Complexity Analysis
4.2. Results in Artificial Networks
4.3. Results in Real Networks
- Southern Women (SW): In the context of bipartite network community detection, it is a widely recognized benchmark data set. Davis collected the information in and around Natchez, Mississippi in the 1930s in order to research race and class. It details how 18 women were divided up across 14 social gatherings. A bipartite network with 32 nodes and 89 edges is formed in this data set by women and the social activities they attend.
- American Revolution (AR): A total of 136 people’s membership details from five organizations that date back to the American Revolution are included in the data collection [74]. It is possible to think of the connection between well-known people and their organizations as a bipartite network. An edge indicating membership in an organization can be found between an individual and that organization.
- Scotland Corporate Interlock (SCI): Board members of Scottish corporations who served as directors on several occasions during 1904 and 1905 are included in this data collection. A bipartite network including 108 companies and 136 persons is upheld via directorships.
- Crime Network (CN): People who have been a victim, witness, or suspect in at least one criminal case are included in this data set [74]. A bipartite network with 1476 edges linking 829 individuals and 551 criminal cases is formed by the interactions between crime-related individuals and crime cases.
- Malaria and var Genes (MG): Using protein camouflages expressed in var genes, the malaria parasite eludes the human immune system. Regular recombination of Var genes results in a restricted genetic sub-string that generates novel camouflages [17]. As a result, var genes and their genetic sub-strings are linked in a way that creates a bipartite network with an inherent community structure. The 297 genes and 806 sub-strings that are connected by 2965 edges make up the MG network.
- The Protein Complex and Drug (PCD): Meaningful links between acute illnesses and protein complexes have been found in recent investigations. In order to determine the inter-connectivity in systems relevant to human and molecular diseases, Nacher and Schwartz examined a bipartite network including 680 medications and 739 protein complexes [75]. PCD consists of 3690 edges and 1419 nodes.
- DBpedia Writer (DW): DW has a lot of nodes and edges, making it difficult for current techniques to detect community patterns. The 46,215 authors and 89,356 works from DBpedia make up the DBpedia Writer network. The partnerships among writers to develop works are represented by the 144,342 edges [74].
- DBpedia Producer (DP): DBPedia is the source of the DBpedia Producer network. A total of 48,833 producers and their 138,839 works make up this bipartite network [74].
5. Conclusions and Future Work
Author Contributions
Funding
Data Availability Statement
Acknowledgments
Conflicts of Interest
References
- Tang, L.-Y.; Li, S.-N.; Lin, J.-H.; Guo, Q.; Liu, J.-G. Community Structure Detection Based on the Neighbor Node Degree Information. Int. J. Mod. Phys. C 2016, 27, 1650046. [Google Scholar] [CrossRef]
- Li, W.; Huang, C.; Wang, M.; Chen, X. Stepping Community Detection Algorithm Based on Label Propagation and Similarity. Phys. A Stat. Mech. Its Appl. 2017, 472, 145–155. [Google Scholar] [CrossRef]
- Yang, J.X.; Zhang, X. Finding Overlapping Communities Using Seed Set. Phys. A Stat. Mech. Its Appl. 2017, 467, 96–106. [Google Scholar] [CrossRef]
- Bilal, S.; Abdelouahab, M. Evolutionary Algorithm and Modularity for Detecting Communities in Networks. Phys. A Stat. Mech. Its Appl. 2017, 473, 89–96. [Google Scholar] [CrossRef]
- Sun, H.-L.; Ch’ng, E.; Yong, X.; Garibaldi, J.M.; See, S.; Chen, D.-B. An Improved Game-Theoretic Approach to Uncover Overlapping Communities. Int. J. Mod. Phys. C 2017, 28, 1750112. [Google Scholar] [CrossRef]
- Evans, T.S.; Lambiotte, R. Line Graphs, Link Partitions and Overlapping Communities. Phys. Rev. E 2009, 80, 016105. [Google Scholar] [CrossRef]
- Blondel, V.D.; Guillaume, J.-L.; Lambiotte, R.; Lefebvre, E. Fast Unfolding of Communities in Large Networks. J. Stat. Mech. Theory Exp. 2008, P10008. [Google Scholar] [CrossRef]
- Zhou, T.; Ren, J.; Medo, M.; Zhang, Y.-C. Bipartite Network Projection and Personal Recommendation. Phys. Rev. E 2007, 76, 046115. [Google Scholar] [CrossRef]
- Wang, X.; Qin, X. Asymmetric Intimacy and Algorithm for Detecting Communities in Bipartite Networks. Phys. A Stat. Mech. Its Appl. 2016, 462, 569–578. [Google Scholar] [CrossRef]
- Newman, M. Modularity and Community Structure in Networks. Proc. Natl. Acad. Sci. USA 2006, 103, 8577–8582. [Google Scholar] [CrossRef]
- Fortunato, S.; Barthelemy, M. Resolution Limit in Community Detection. Proc. Natl. Acad. Sci. USA 2007, 104, 36–41. [Google Scholar] [CrossRef] [PubMed]
- Lehmann, S.; Schwartz, M.; Hansen, L.K. Biclique Communities. Phys. Rev. E 2008, 78, 016108. [Google Scholar] [CrossRef] [PubMed]
- Newman, M. Finding Community Structure in Networks Using the Eigenvectors of Matrices. Phys. Rev. E 2006, 74, 036104. [Google Scholar] [CrossRef] [PubMed]
- Guimera, R.; Sales-Pardo, M.; Amaral, L.A.N. Module Identification in Bipartite and Directed Networks. Phys. Rev. E 2007, 76, 036102. [Google Scholar] [CrossRef]
- Zhang, P.; Wang, J.; Li, X.; Li, M.; Di, Z.; Fan, Y. Clustering Coefficient and Community Structure of Bipartite Networks. Phys. A Stat. Mech. Its Appl. 2008, 387, 6869–6875. [Google Scholar] [CrossRef]
- Cui, Y.; Wang, W. Uncovering Overlapping Community Structures by the Key Bi-Community and Intimate Degree in Bipartite Networks. Phys. A Stat. Mech. Its Appl. 2014, 407, 7–14. [Google Scholar] [CrossRef]
- Larremore, D.B.; Clauset, A.; Jacobs, A.Z. Efficiently Inferring Community Structure in Bipartite Networks. Phys. Rev. E 2014, 90, 012805. [Google Scholar] [CrossRef]
- Xu, Y.; Chen, L.; Li, B.; Liu, W. Density-Based Modularity for Evaluating Community Structure in Bipartite Networks. Inf. Sci. 2015, 317, 278–294. [Google Scholar] [CrossRef]
- Liu, J.-G.; Hou, L.; Pan, X.; Guo, Q.; Zhou, T. Stability of Similarity Measurements for Bipartite Networks. Sci. Rep. 2016, 6, 18653. [Google Scholar] [CrossRef]
- Sun, H.-L.; Ch’ng, E.; Yong, X.; Garibaldi, J.M.; See, S.; Chen, D.-B. A Fast Community Detection Method in Bipartite Networks by Distance Dynamics. Phys. A Stat. Mech. Its Appl. 2018, 496, 108–120. [Google Scholar] [CrossRef]
- Newman, M.E.; Girvan, M. Finding and Evaluating Community Structure in Networks. Phys. Rev. E 2004, 69, 026113. [Google Scholar] [CrossRef] [PubMed]
- Zhou, C.; Feng, L.; Zhao, Q. A Novel Community Detection Method in Bipartite Networks. Phys. A Stat. Mech. Its Appl. 2018, 492, 1679–1693. [Google Scholar] [CrossRef]
- Al-sharoa, E.; Aviyente, S. A Unified Spectral Clustering Approach for Detecting Community Structure in Multilayer Networks. Symmetry 2023, 15, 1368. [Google Scholar] [CrossRef]
- Al-sharoa, E.; Al-wardat, M.; Al-khassaweneh, M.; Al Bataineh, A. Discovering Community Structure in Multiplex Networks via a Co-Regularized Robust Tensor-Based Spectral Approach. Appl. Sci. 2023, 13, 2514. [Google Scholar] [CrossRef]
- Anderson, A.; Potikas, P.; Potika, K. CoDiS: Community Detection via Distributed Seed Set Expansion on Graph Streams. Information 2023, 14, 594. [Google Scholar] [CrossRef]
- Cai, J.; Li, W.; Zhang, X.; Wang, J. New Random Walk Algorithm Based on Different Seed Nodes for Community Detection. Mathematics 2024, 12, 2374. [Google Scholar] [CrossRef]
- Chen, R.; Liang, B. Research on the Prediction of Operator Users Number Portability Based on Community Detection. Appl. Sci. 2023, 13, 3497. [Google Scholar] [CrossRef]
- Chen, Y.; Ye, W.; Li, D. Spectral Clustering Community Detection Algorithm Based on Point-Wise Mutual Information Graph Kernel. Entropy 2023, 25, 1617. [Google Scholar] [CrossRef]
- Chen, D.; Nie, M.; Xie, F.; Wang, D.; Chen, H. Link Prediction and Graph Structure Estimation for Community Detection. Mathematics 2024, 12, 1269. [Google Scholar] [CrossRef]
- Christopoulos, K.; Baltsou, G.; Tsichlas, K. Local Community Detection in Graph Streams with Anchors. Information 2023, 14, 332. [Google Scholar] [CrossRef]
- Choudhury, N. Community-Aware Evolution Similarity for Link Prediction in Dynamic Social Networks. Mathematics 2024, 12, 285. [Google Scholar] [CrossRef]
- Ferdowsi, A.; Dehghan Chenary, M. Gain and Pain in Graph Partitioning: Finding Accurate Communities in Complex Networks. Algorithms 2024, 17, 226. [Google Scholar] [CrossRef]
- Gao, K.; Ren, X.; Zhou, L.; Zhu, J. Automatic Detection of Multilevel Communities: Scalable, Selective and Resolution-Limit-Free. Appl. Sci. 2023, 13, 1774. [Google Scholar] [CrossRef]
- Huang, J.; Gu, Y. Unsupervised Community Detection Algorithm with Stochastic Competitive Learning Incorporating Local Node Similarity. Appl. Sci. 2023, 13, 10496. [Google Scholar] [CrossRef]
- Huang, Z.; Xu, W.; Zhuo, X. Community-CL: An Enhanced Community Detection Algorithm Based on Contrastive Learning. Entropy 2023, 25, 864. [Google Scholar] [CrossRef]
- Huang, C.; Zhong, Y. An Algorithm Based on Non-Negative Matrix Factorization for Detecting Communities in Networks. Mathematics 2024, 12, 619. [Google Scholar] [CrossRef]
- Kaladharan, H.; MV, J.; Papageorgiou, K.; Papageorgiou, E.I. Distributed Genetic Algorithm for Community Detection in Large Graphs with a Parallel Fuzzy Cognitive Map for Focal Node Identification. Appl. Sci. 2023, 13, 8735. [Google Scholar] [CrossRef]
- Kamuhanda, D.; Cui, M.; Tessone, C.J. Illegal Community Detection in BitCoin Transaction Networks. Entropy 2023, 25, 1069. [Google Scholar] [CrossRef]
- Lee, S.; Lee, J.; Lee, J.-M.; Chun, H.-W.; Yoon, J. A Network Analysis Approach to Detecting Social Issues with Web-Based Data. Appl. Sci. 2023, 13, 8516. [Google Scholar] [CrossRef]
- Liu, Y.; Liu, W.; Tang, X.; Yin, H.; Yin, P.; Xu, X.; Wang, Y. CSIM: A Fast Community Detection Algorithm Based on Structure Information Maximization. Electronics 2024, 13, 1119. [Google Scholar] [CrossRef]
- Liu, C.; Han, Y.; Xu, H.; Yang, S.; Wang, K.; Su, Y. A Community Detection and Graph-Neural-Network-Based Link Prediction Approach for Scientific Literature. Mathematics 2024, 12, 369. [Google Scholar] [CrossRef]
- Lubashevskiy, V.; Ozaydin, S.Y.; Ozaydin, F. Improved Link Entropy with Dynamic Community Number Detection for Quantifying Significance of Edges in Complex Social Networks. Entropy 2023, 25, 365. [Google Scholar] [CrossRef] [PubMed]
- Mai, T.T.; Crane, M.; Bezbradica, M. Students Learning Behaviour in Programming Education Analysis: Insights from Entropy and Community Detection. Entropy 2023, 25, 1225. [Google Scholar] [CrossRef] [PubMed]
- Papei, H.; Li, Y. Stochastic Local Community Detection in Networks. Algorithms 2023, 16, 22. [Google Scholar] [CrossRef]
- Qing, H. Estimating Mixed Memberships in Directed Networks by Spectral Clustering. Entropy 2023, 25, 345. [Google Scholar] [CrossRef]
- Qing, H. Estimating the Number of Communities in Weighted Networks. Entropy 2023, 25, 551. [Google Scholar] [CrossRef]
- Sachpenderis, N.; Koloniari, G. Outlier Detection and Prediction in Evolving Communities. Appl. Sci. 2024, 14, 2356. [Google Scholar] [CrossRef]
- Sánchez-Moreno, D.; Batista, V.F.L.; Vicente, M.D.M.; Lázaro, Á.L.S.; Moreno-García, M.N. Social Network Community Detection to Deal with Gray-Sheep and Cold-Start Problems in Music Recommender Systems. Information 2024, 15, 138. [Google Scholar] [CrossRef]
- Sawicki, J.; Ganzha, M.; Paprzycki, M.; Watanobe, Y. Reddit Crosspostnet: Studying Reddit Communities with Large-Scale Crosspost Graph Networks. Algorithms 2023, 16, 424. [Google Scholar] [CrossRef]
- Sawicki, J.; Ganzha, M. Exploring Reddit Community Structure: Bridges, Gateways and Highways. Electronics 2024, 13, 1935. [Google Scholar] [CrossRef]
- Song, A.; Ji, R.; Qi, W.; Zhang, C. RGCLN: Relational Graph Convolutional Ladder-Shaped Networks for Signed Network Clustering. Appl. Sci. 2023, 13, 1367. [Google Scholar] [CrossRef]
- Song, Y.; Zheng, Z.; Shi, Y.; Wang, B. GLOD: The Local Greedy Expansion Method for Overlapping Community Detection in Dynamic Provenance Networks. Mathematics 2023, 11, 3284. [Google Scholar] [CrossRef]
- Stein, J.; Ott, D.; Nüßlein, J.; Bucher, D.; Schönfeld, M.; Feld, S. NISQ-Ready Community Detection Based on Separation-Node Identification. Mathematics 2023, 11, 3323. [Google Scholar] [CrossRef]
- Tang, F.; Zhao, X.; Li, C. Community Detection in Multilayer Networks Based on Matrix Factorization and Spectral Embedding Method. Mathematics 2023, 11, 1573. [Google Scholar] [CrossRef]
- Wang, F.; Hu, F.; Chen, R.; Xiong, N. HLEGF: An Effective Hyper Network Community Detection Algorithm Based on Local Expansion and Global Fusion. Mathematics 2023, 11, 3497. [Google Scholar] [CrossRef]
- Xia, X.; Ma, W.; Zhang, J.; Zhang, E. Community-Enhanced Contrastive Learning for Graph Collaborative Filtering. Electronics 2023, 12, 4831. [Google Scholar] [CrossRef]
- Xu, H.; Ran, Y.; Xing, J.; Tao, L. An Influence-Based Label Propagation Algorithm for Overlapping Community Detection. Mathematics 2023, 11, 2133. [Google Scholar] [CrossRef]
- Yaakob, A.M.; Shafie, S.; Gegov, A.; Rahman, S.F.A.; Khalif, K.M.N.K. Large-Scale Group Decision-Making Method Using Hesitant Fuzzy Rule-Based Network for Asset Allocation. Information 2023, 14, 588. [Google Scholar] [CrossRef]
- Yang, Y.; Yu, S.; Pan, B.; Li, C.; Leung, M.-F. Community Detection in Multiplex Networks Using Orthogonal Non-Negative Matrix Tri-Factorization based on Graph Regularization and Diversity. Mathematics 2024, 12, 1124. [Google Scholar] [CrossRef]
- Yao, B.; Zhu, J.; Ma, P.; Gao, K.; Ren, X. A Constrained Louvain Algorithm with a Novel Modularity. Appl. Sci. 2023, 13, 4045. [Google Scholar] [CrossRef]
- Yow, J.; Liu, B. Community-Detection Method of Complex Network Based on Node Influence Analysis. Symmetry 2024, 16, 754. [Google Scholar] [CrossRef]
- Yu, L.; Guo, X.; Zhou, D.; Zhang, J. A Multi-Objective Pigeon-Inspired Optimization Algorithm for Community Detection in Complex Networks. Mathematics 2024, 12, 1486. [Google Scholar] [CrossRef]
- Zalik, K.; Zalik, M. Density-Based Entropy Centrality for Community Detection in Complex Networks. Entropy 2023, 25, 1196. [Google Scholar] [CrossRef] [PubMed]
- Zhang, W.; Yu, S.; Wang, L.; Guo, W.; Leung, M.-F. Constrained Symmetric Non-Negative Matrix Factorization with Deep Auto-Encoders for Community Detection. Mathematics 2024, 12, 1554. [Google Scholar] [CrossRef]
- Zhao, C.; Al-Bashabsheh, A.; Chan, C. Game Theoretic Clustering for Finding Strong Communities. Entropy 2024, 26, 268. [Google Scholar] [CrossRef]
- Guidi, B.; Michienzi, A.; Ricci, L. Managing Communities in Decentralized Social Environments. Peer-to-Peer Netw. Appl. 2022, 15, 2404–2429. [Google Scholar] [CrossRef]
- Rossetti, G. ANGEL: Efficient, and Effective, Node-Centric Community Discovery in Static and Dynamic Networks. Appl. Netw. Sci. 2020, 5, 26. [Google Scholar] [CrossRef]
- Mahyar, H. Detection of Top-k Central Nodes in Social Networks: A Compressive Sensing Approach. In Proceedings of the IEEE/ACM International Conference on Advances in Social Networks Analysis and Mining, Paris, France, 25–28 August 2015; pp. 902–909. [Google Scholar] [CrossRef]
- Mahyar, H.; Rabiee, H.R.; Movaghar, A.; Ghalebi, E.; Nazemian, A. CS-Comdet: A Compressive Sensing Approach for Intercommunity Detection in Social Networks. In Proceedings of the IEEE/ACM International Conference on Advances in Social Networks Analysis and Mining, Paris, France, 25–28 August 2015; pp. 89–96. [Google Scholar] [CrossRef]
- Opsahl, T. Triadic Closure in Two-Mode Networks: Redefining the Global and Local Clustering Coefficients. Soc. Netw. 2013, 35, 159–167. [Google Scholar] [CrossRef]
- Taheri, S.M.; Mahyar, H. Hellrank: A Hellinger-Based Centrality Measure for Bipartite Social Networks. Soc. Netw. Anal. Min. 2017, 7, 22. [Google Scholar] [CrossRef]
- Barber, M. Modularity and Community Detection in Bipartite Networks. Phys. Rev. E 2007, 76, 066102. [Google Scholar] [CrossRef]
- Liu, X.; Murata, T. Community Detection in Large-Scale Bipartite Networks. Trans. Jpn. Soc. Artif. Intell. 2010, 25, 50–57. [Google Scholar] [CrossRef]
- Kunegis, J. Konect: The Koblenz Network Collection. In Proceedings of the 22th International Conference on World Wide Web, Rio de Janeiro, Brazil, 13–17 May 2013; pp. 1343–1350. [Google Scholar] [CrossRef]
- Nacher, J.C.; Schwartz, J. Modularity in Protein Complex and Drug Interactions Reveals New Polypharmacological Properties. PLoS ONE 2012, 7, e30028. [Google Scholar] [CrossRef] [PubMed]









| Method | AsymIntimacy | LP BRIM | Adaptive BRIM | BiAttractor | BiVoting |
|---|---|---|---|---|---|
| Time complexity |
| Bicliques | n | m | N | M | <K> | C |
|---|---|---|---|---|---|---|
| 4bicliq. | 12 | 8 | 20 | 28 | 2.8 | 0.482 |
| 8bicliq. | 24 | 16 | 40 | 56 | 2.8 | 0.482 |
| 16bicliq. | 48 | 32 | 80 | 112 | 2.8 | 0.482 |
| 64bicliq. | 192 | 128 | 320 | 448 | 2.8 | 0.482 |
| 128bicliq. | 384 | 256 | 640 | 896 | 2.8 | 0.482 |
| Network | n | m | N | M | <K> | C |
|---|---|---|---|---|---|---|
| S.W. | 18 | 14 | 32 | 89 | 5.563 | 0.328 |
| A.R. | 136 | 5 | 141 | 160 | 2.270 | 0.781 |
| S.C.I. | 108 | 136 | 244 | 358 | 3.140 | 0.303 |
| C.N. | 829 | 551 | 1380 | 1476 | 2.139 | 0.427 |
| M.G. | 297 | 806 | 1103 | 2965 | 5.376 | 0.227 |
| P.C.D. | 680 | 739 | 1419 | 3690 | 1.746 | 0.407 |
| D.W. | 89,356 | 46,215 | 135,571 | 144,342 | 2.129 | 0.447 |
| D.P. | 48,833 | 138,839 | 187,672 | 207,268 | 2.209 | 0.514 |
Disclaimer/Publisher’s Note: The statements, opinions and data contained in all publications are solely those of the individual author(s) and contributor(s) and not of MDPI and/or the editor(s). MDPI and/or the editor(s) disclaim responsibility for any injury to people or property resulting from any ideas, methods, instructions or products referred to in the content. |
© 2025 by the authors. Licensee MDPI, Basel, Switzerland. This article is an open access article distributed under the terms and conditions of the Creative Commons Attribution (CC BY) license (https://creativecommons.org/licenses/by/4.0/).
Share and Cite
Khosrozadeh, A.; Movaghar, A.; Gilanian Sadeghi, M.M.; Mahyar, H. A Novel Method for Community Detection in Bipartite Networks. Information 2025, 16, 417. https://doi.org/10.3390/info16050417
Khosrozadeh A, Movaghar A, Gilanian Sadeghi MM, Mahyar H. A Novel Method for Community Detection in Bipartite Networks. Information. 2025; 16(5):417. https://doi.org/10.3390/info16050417
Chicago/Turabian StyleKhosrozadeh, Ali, Ali Movaghar, Mohammad Mehdi Gilanian Sadeghi, and Hamidreza Mahyar. 2025. "A Novel Method for Community Detection in Bipartite Networks" Information 16, no. 5: 417. https://doi.org/10.3390/info16050417
APA StyleKhosrozadeh, A., Movaghar, A., Gilanian Sadeghi, M. M., & Mahyar, H. (2025). A Novel Method for Community Detection in Bipartite Networks. Information, 16(5), 417. https://doi.org/10.3390/info16050417




