Stochastic Modeling of Electromagnetic Wave Propagation Through Extreme Dust Conditions in Underground Mines Using Vector Parabolic Approach
Abstract
1. Introduction
2. Existing Body of Knowledge
3. The Vector Parabolic Model
4. Dust and Humidity Factor Integration and Assumptions
5. Stochastic VPE Formulation
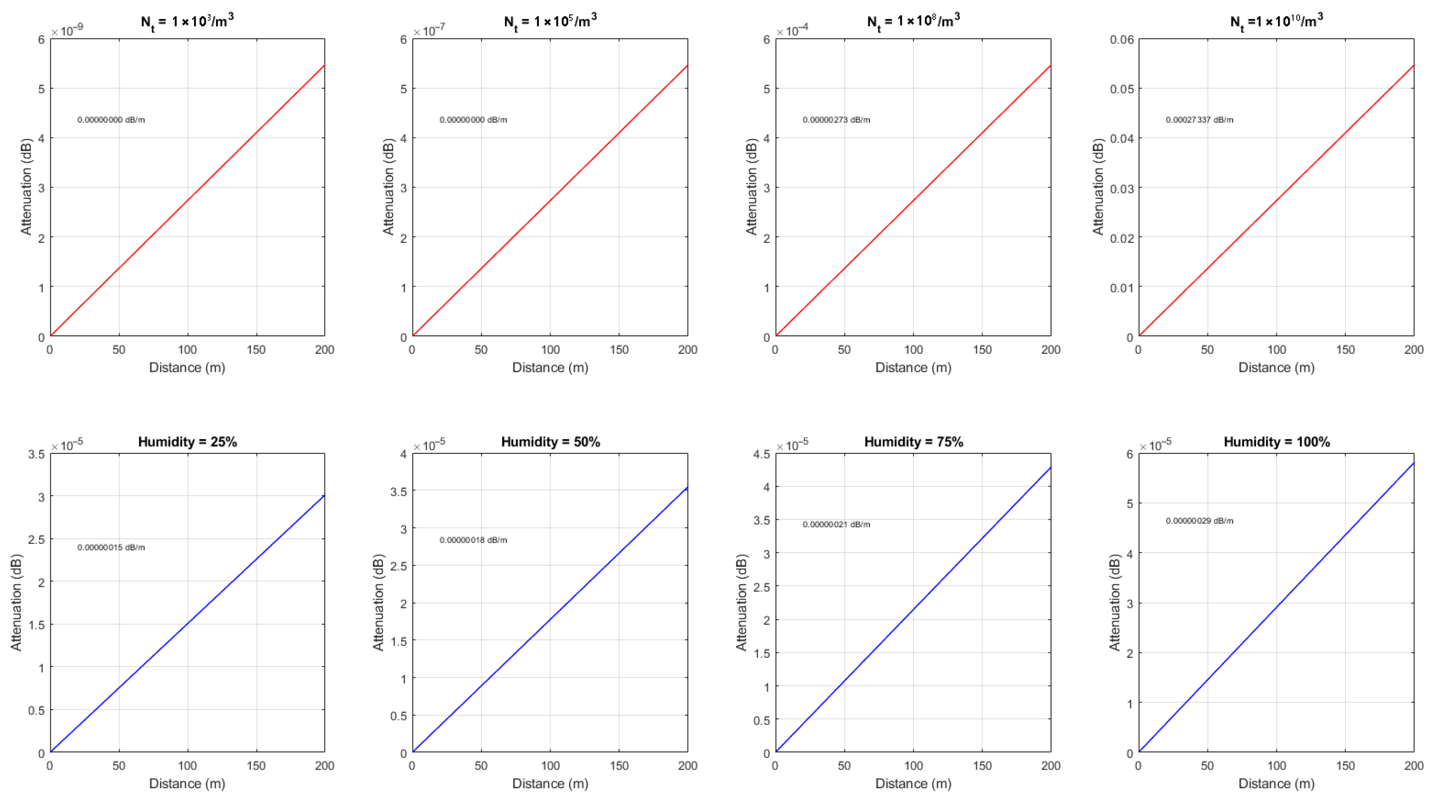
5.1. Dust Concentration and Humidity Effects
5.2. Stochastic VPE Process Output and Dynamics
6. Model Validation
6.1. Choice of Analytical Validation Method
6.2. Choice of Experimental Validation Data
6.3. Validation Procedure and Results
7. Extended Results and Discussions
7.1. Case Studies
7.1.1. First Case Study
7.1.2. Second Case Study
8. Conclusions
Author Contributions
Funding
Institutional Review Board Statement
Informed Consent Statement
Data Availability Statement
Conflicts of Interest
Appendix A
References
- Branch, P. Measurements and Models of 915 MHz LoRa Radio Propagation in an Underground Gold Mine. Sensors 2022, 22, 8653. [Google Scholar] [CrossRef]
- Javaid, F.; Wang, A.; Sana, M.U.; Husain, A.; Ashraf, I. An Optimized Approach to Channel Modeling and Impact of Deteriorating Factors on Wireless Communication in Underground Mines. Sensors 2021, 21, 5905. [Google Scholar] [CrossRef]
- Popov, A.V.; Zhu, N.Y. Modeling Radio Wave Propagation in Tunnels with a Vectorial Parabolic Equation. IEEE Trans. Antennas Propag. 2000, 48, 1403–1412. [Google Scholar] [CrossRef]
- Popov, A.V.; Vinogradov, V.A.; Zhu, N.Y.; Landstorfer, F.M. 3D Parabolic Equation Model of EM Wave Propagation in Tunnels. Electron. Lett. 1999, 35, 880–882. [Google Scholar] [CrossRef]
- Akyildiz, I.F.; Sun, Z.; Vuran, M.C. Signal Propagation Techniques for Wireless Underground Communication Networks. Phys. Commun. 2009, 2, 167–183. [Google Scholar] [CrossRef]
- Ranjan, A.; Sahu, H.B.; Misra, P. Modeling and Measurements for Wireless Communication Networks in Underground Mine Environments. Measurement 2020, 149, 106980. [Google Scholar] [CrossRef]
- Choudhury, B.; Jha, R.M. A Refined Ray Tracing Approach for Wireless Communications inside Underground Mines and Metrorail Tunnels. In Proceedings of the 2011 IEEE Applied Electromagnetics Conference (AEMC), Kolkata, India, 18–22 December 2011. [Google Scholar]
- Athanasiadou, G.E.; Nix, A.R. A Novel 3-D Indoor Ray-Tracing Propagation Model: The Path Generator and Evaluation of Narrow-Band and Wide-Band Predictions. IEEE Trans. Veh. Technol. 2000, 49, 1152–1168. [Google Scholar] [CrossRef]
- Zhang, X.; Sarris, C.D. Statistical Modeling of Electromagnetic Wave Propagation in Tunnels with Rough Walls Using the Vector Parabolic Equation Method. IEEE Trans. Antennas Propag. 2019, 67, 2645–2654. [Google Scholar] [CrossRef]
- Sunkpal, M.; Roghanchi, P.; Kocsis, K.C. A Method to Protect Mine Workers in Hot and Humid Environments. Saf. Health Work 2018, 9, 149–158. [Google Scholar] [CrossRef]
- Chu, T.S. Effects of Sandstorms on Microwave Propagation. Bell Syst. Tech. J. 1979, 58, 549–555. [Google Scholar] [CrossRef]
- Abuhdima, E.M.; Saleh, I.M. Effect of Sand and Dust Storms on Microwave Propagation Signals in Southern Libya. In Proceedings of the 2010 15th IEEE Mediterranean Electrotechnical Conference (MELECON), Valletta, Malta, 26–28 April 2010. [Google Scholar]
- Alozie, E.; Aliyu, I.; Ibhaze, A.E.; Abdulkarim, A.; Olakanmi, O.O.; Oloyede, A.A.; Abubakar, A.I.; Babatunde, A.E.; Oguejiofor, O.C.; Alhassan, I.A. A Review of Dust-Induced Electromagnetic Waves Scattering Theories and Models for 5G and Beyond Wireless Communication Systems. Sci. Afr. 2023, 21, e01816. [Google Scholar] [CrossRef]
- Liu, Y.; Zeng, Z.; Liu, X.; He, Z. Wave Propagation Modeling in Curved Tunnels with Three-Dimensional ADI-PE Method. In Proceedings of the 2020 IEEE MTT-S International Conference on Numerical Electromagnetic and Multiphysics Modeling and Optimization (NEMO), Hangzhou, China, 7–9 December 2020. [Google Scholar]
- Masson, E.; Combeau, P.; Cocheril, Y.; Berbineau, M.; Aveneau, L.; Vauzelle, R. Radio Wave Propagation in Curved Rectangular Tunnels at 5.8 GHz for Metro Applications, Simulations and Measurements. EURASIP J. Wirel. Commun. Netw. 2011, 2011, 202. [Google Scholar] [CrossRef]
- Nilsson, M.; Slettenmark, J.; Beckman, C. Wave Propagation in Curved Road Tunnels. In Proceedings of the IEEE Antennas and Propagation Society International Symposium 1998 Digest, Antennas: Gateways to the Global Network, Held in Conjunction with USNC/URSI National Radio Science Meeting, Atlanta, GA, USA, 21–26 June 1998. [Google Scholar]
- Yamaguchi, Y.; Abe, T.; Sekiguchi, T. Radio Wave Propagation Loss in the VHF to Microwave Region Due to Vehicles in Tunnels. IEEE Trans. Electromagn. Compat. 1989, 31, 87–91. [Google Scholar] [CrossRef]
- Sun, Z.; Akyildiz, I.F. Influences of Vehicles on Signal Propagation in Road Tunnels. In Proceedings of the 2010 IEEE International Conference on Communications (ICC), Cape Town, South Africa, 23–27 May 2010. [Google Scholar]
- Chen, S.-H.; Jeng, S.-K. SBR/Image Approach for Radio Wave Propagation in Furnished Environments. In Proceedings of the IEEE Antennas and Propagation Society International Symposium 1996 Digest, Baltimore, MD, USA, 21–26 July 1996. [Google Scholar]
- Masson, E.; Combeau, P.; Cocheril, Y.; Berbineau, M.; Aveneau, L.; Vauzelle, R. Radio Wave Propagation in Arch-Shaped Tunnels: Measurements and Simulations by Asymptotic Methods. C. R. Phys. Propag. Remote Sens. 2010, 11, 44–53. [Google Scholar] [CrossRef]
- Chiou, M.-M.; Kiang, J.-F. Microwave Propagation over Sand and Dust Storms. In Proceedings of the 2015 International Workshop on Electromagnetics: Applications and Student Innovation Competition (iWEM), Hsin-Chu, Taiwan, 4–6 November 2015. [Google Scholar]
- Eltahir, E.I.; Attada, R.; Guo, J.; Francis, D.; Banerjee, P.; Fonseca, R.; Anisimov, A.; Ben Bacha, H.; Lee, J.; Pydisetti, R.; et al. Sand and Dust Storm Attenuation Prediction Using Visibility and Humidity Measurements. IEEE Access 2024, 12, 79602–79612. [Google Scholar] [CrossRef]
- Ishimaru, A. Wave Propagation and Scattering in Random Media; Elsevier: New York, NY, USA, 1978. [Google Scholar] [CrossRef]
- Chen, H.-Y.; Ku, C.-C. Calculation of Wave Attenuation in Sand and Dust Storms by the FDTD and Turning Bands Methods at 10–100 GHz. IEEE Trans. Antennas Propag. 2012, 60, 2951–2960. [Google Scholar] [CrossRef]
- Mahmood, H.N.; Ismail, W. Visibility Parameter in Sand/Dust Storms’ Radio Wave Attenuation Equations: An Approach for Reliable Visibility Estimation Based on Existing Empirical Equations to Minimize Potential Biases in Calculations. Appl. Sci. 2020, 10, 7530. [Google Scholar] [CrossRef]
- Goldhirsh, J. A Parameter Review and Assessment of Attenuation and Backscatter Properties Associated with Dust Storms over Desert Regions in the Frequency Range of 1 to 10 GHz. IEEE Trans. Antennas Propag. 1982, 30, 1121–1127. [Google Scholar] [CrossRef]
- Faruk, N.; Popoola, S.I.; Surajudeen-Bakinde, N.T.; Oloyede, A.A.; Abdulkarim, A.; Olawoyin, L.A.; Ali, M.; Calafate, C.T.; Atayero, A.A. Path Loss Predictions in the VHF and UHF Bands Within Urban Environments: Experimental Investigation of Empirical, Heuristics and Geospatial Models. IEEE Access 2019, 7, 77293–77307. [Google Scholar] [CrossRef]
- Mezaal, M.T.; Aripin, N.B.M.; Othman, N.S.; Sallomi, A.H. Empirical Modelling of Dust Storm Path Attenuation for 5G mmWave. Results Eng. 2024, 22, 102092. [Google Scholar] [CrossRef]
- Ghobrial, S.I. Effect of Hydroscopic Water on Dielectric Constant of Dust at X-Band. Electron. Lett. 1980, 16, 393–394. [Google Scholar] [CrossRef]
- Sharif, S.M. Clutter and Backscatter Cross-Section of Dust Storms at X-Band. SES 1997, 41, 31–36. [Google Scholar]
- Ghobrial, S.; Sharief, S. Microwave Attenuation and Cross Polarization in Dust Storms. IEEE Trans. Antennas Propag. 1987, 35, 418–425. [Google Scholar] [CrossRef]
- Ahmed, A.S. Role of Particle-Size Distributions on Millimetre-Wave Propagation in Sand/Dust Storms. IEE Proc. H (Microw. Antennas Propag.) 1987, 134, 55–59. [Google Scholar] [CrossRef]
- Ghobrial, S.I.; Jervase, J.A. Microwave Propagation in Dust Storms at 10.5 GHz—A Case Study in Khartoum. IEICE Trans. Commun. 1997, E80-B, 1722–1727. [Google Scholar]
- Ansari, A.J.; Evans, B.G. Microwave Propagation in Sand and Dust Storms. IEE Proc. F (Commun. Radar Signal Process.) 1982, 129, 315–322. [Google Scholar] [CrossRef]
- Bagnold, R.A. The Physics of Blown Sand and Desert Dunes, 1st ed.; Methuen & Co. Ltd.: London, UK, 1941; pp. 1–9. [Google Scholar]
- Elsheikh, E.A.A.; Islam, M.R.; Alam, A.H.M.Z.; Ismail, A.F.; Al-Khateeb, K.; Elabdin, Z. The Effect of Particle Size Distributions on Dust Storm Attenuation Prediction for Microwave Propagation. In Proceedings of the International Conference on Computer and Communication Engineering (ICCCE’10), Kuala Lumpur, Malaysia, 11–13 May 2010. [Google Scholar]
- Lasne, Y.; Paillou, P.; Ruffie, G.; Malezieux, J.-M.; Demontoux, F.; Bruckler, L. Effect of Salinity on the Dielectric Properties of Geological Materials: Implication for Soil Moisture Detection by Means of Radar Remote Sensing. IEEE Trans. Geosci. Remote Sens. 2008, 46, 1674–1688. [Google Scholar] [CrossRef]
- Zhang, W.Y.; Zhang, J.L. Influence of Mine Dust on Propagation Characteristic of UHF Electromagnetic Wave in Tunnel. J. China Coal Soc. 2009, 34, 1554–1557. [Google Scholar]
- Cheng, L.F.; Li, J.; Zhang, L.L. Dust in Tunnel Influence to Propagation Characteristics of UHF Electromagnetic Waves. Appl. Mech. Mater. 2011, 143–144, 828–832. [Google Scholar] [CrossRef]
- Levy, M. Parabolic Equation Methods for Electromagnetic Wave Propagation; Institution of Electrical Engineers: London, UK, 2000. [Google Scholar]
- Dong, Q.; Li, Y.-L.; Xu, J.; Zhang, H.; Wang, M. Effect of Sand and Dust Storms on Microwave Propagation. IEEE Trans. Antennas Propag. 2013, 61, 910–916. [Google Scholar] [CrossRef]
- Chiou, M.-M.; Kiang, J.-F. PWE-Based Radar Equation to Predict Backscattering of Millimeter-Wave in a Sand and Dust Storm. IEEE Trans. Antennas Propag. 2017, 65, 785–793. [Google Scholar] [CrossRef]
- Li, Y.; Yu, B.; Huang, L. Path Loss Modeling of Wireless Signals in Underground Tunnels. IEEE Open J. Antennas Propag. 2025, 6, 64–74. [Google Scholar] [CrossRef]
- Uzunoglu, N.; Kanellopoulos, J. Scattering of a Plane Wave from Cylindrical Tunnels inside a Lossy Medium. In Proceedings of the 1981 Antennas and Propagation Society International Symposium, Los Angeles, CA, USA, 8–12 June 1981. [Google Scholar]
- Kocifaj, M.; Kómar, L.; Kundracik, F.; Markoš, P.; Petržala, J.; Videen, G. The Nature, Amplitude and Control of Microwave Attenuation in the Atmosphere. J. Geophys. Res. Atmos. 2021, 126, e2021JD034978. [Google Scholar] [CrossRef]
- Ginoux, P. Effects of nonsphericity on mineral dust modeling. J. Geophys. Res. 2003, 108, 4052. [Google Scholar] [CrossRef]
- Ruike, Y.; Zhensen, W.; Jinguang, Y. The Study of MMW and MW Attenuation Considering Multiple Scattering Effect in Sand and Dust Storms at Slant Paths. Int. J. Infrared Millim. Waves 2003, 24, 1383–1392. [Google Scholar] [CrossRef]
- Ghanem, R.G.; Spanos, P.D. Stochastic Finite Elements: A Spectral Approach; Springer: New York, NY, USA, 1991; pp. 15–97. [Google Scholar]
- Le Maître, O.P.; Knio, O.M. Spectral Methods for Uncertainty Quantification: With Applications to Computational Fluid Dynamics; Springer: New York, NY, USA, 2010; pp. 1–104. [Google Scholar]
- Stefanou, G. The stochastic finite element method: Past, present and future. Comput. Methods Appl. Mech. Eng. 2008, 198, 1031–1051. [Google Scholar] [CrossRef]
- Zheng, Z.; Dai, H. Simulation of multi-dimensional random fields by Karhunen–Loève expansion. Comput. Methods Appl. Mech. Eng. 2017, 324, 221–247. [Google Scholar] [CrossRef]
- Ranjan, A.; Misra, P.; Dwivedi, B.; Sahu, H.B. Studies on Propagation Characteristics of Radio Waves for Wireless Networks in Underground Coal Mines. Wirel. Pers. Commun. 2017, 97, 2819–2832. [Google Scholar] [CrossRef]
- Viswanathan, M. Wireless Communication Systems in Matlab; Mathuranathan Viswanathan: Columbia, DC, USA, 2020; pp. 247–262. [Google Scholar]
- Collins, R.E. Field Theory of Guided Waves; Wiley-IEEE: New York, NY, USA, 1991; pp. 329–410. [Google Scholar]
- Laakmann, K.D.; Steier, W.H. Waveguides: Characteristic modes of hollow rectangular dielectric waveguides. Appl. Opt. 1976, 15, 1334–1340. [Google Scholar] [CrossRef]
- Oladimeji, T.T.; Kumar, P.; Oyie, N.O. Propagation Path Loss Prediction Modelling in Enclosed Environments for 5G Networks: A Review. Heliyon 2022, 8, e11581. [Google Scholar] [CrossRef]
- Zhou, C. Ray Tracing and Modal Methods for Modeling Radio Propagation in Tunnels with Rough Walls. IEEE Trans. Antennas Propag. 2017, 65, 2624–2634. [Google Scholar] [CrossRef]
- Lienard, M.; Degauque, P. Natural Wave Propagation in Mine Environments. IEEE Trans. Antennas Propag. 2000, 48, 1326–1339. [Google Scholar] [CrossRef]
- El-Maghrabi, H.M.; Mahmoud, S.F.; El-Said, M. Modal Analysis of Wave Propagation in Straight and Curved Arched Tunnel Based on Equivalent Rectangular Tunnel Model. Appl. Comput. Electromagn. Soc. J. 2017, 32, 754–760. [Google Scholar]
- Zhou, C.; Waynert, J.A.; Plass, T.; Jacksha, R. Attenuation Constants of Radio Waves in Lossy-Walled Rectangular Waveguides. Prog. Electromagn. Res. 2013, 142, 75–105. [Google Scholar] [CrossRef]
- Qian, J.; Wu, Y.; Saleem, A.; Zheng, G. Path Loss Model for 3.5 GHz and 5.6 GHz Bands in Cascaded Tunnel Environments. Sensors 2022, 22, 4524. [Google Scholar] [CrossRef] [PubMed] [PubMed Central]











| Parameter | Value |
|---|---|
| Drift height (m) | 3 |
| Drift width (m) | 4 |
| Drift length (m) | 120 |
| Dust concentration ( | 10 |
| Dust particle density () | 3.18 |
| Operating frequency (GHz) | 2.4 |
| Dielectric constant | |
| Attenuation factor (dB/m) | |
| Transmitting power (dBm) | 0 |
| Transmitter gain (dBi) | 2 |
| Receiver gain (dBi) | 2 |
| Dust conductivity (S/m) | 0.02 |
| Correlation length (m) | 2.5 |
| Parameter | Value |
|---|---|
| Dust concentration ( | 100 |
| Dust particle density () | 3.18 |
| Operating frequency (MHz) | 915 and 455 |
Disclaimer/Publisher’s Note: The statements, opinions and data contained in all publications are solely those of the individual author(s) and contributor(s) and not of MDPI and/or the editor(s). MDPI and/or the editor(s) disclaim responsibility for any injury to people or property resulting from any ideas, methods, instructions or products referred to in the content. |
© 2025 by the authors. Licensee MDPI, Basel, Switzerland. This article is an open access article distributed under the terms and conditions of the Creative Commons Attribution (CC BY) license (https://creativecommons.org/licenses/by/4.0/).
Share and Cite
Antwi, E.A.; Frimpong, S.; Raza, M.A.; Madria, S. Stochastic Modeling of Electromagnetic Wave Propagation Through Extreme Dust Conditions in Underground Mines Using Vector Parabolic Approach. Information 2025, 16, 891. https://doi.org/10.3390/info16100891
Antwi EA, Frimpong S, Raza MA, Madria S. Stochastic Modeling of Electromagnetic Wave Propagation Through Extreme Dust Conditions in Underground Mines Using Vector Parabolic Approach. Information. 2025; 16(10):891. https://doi.org/10.3390/info16100891
Chicago/Turabian StyleAntwi, Emmanuel Atta, Samuel Frimpong, Muhammad Azeem Raza, and Sanjay Madria. 2025. "Stochastic Modeling of Electromagnetic Wave Propagation Through Extreme Dust Conditions in Underground Mines Using Vector Parabolic Approach" Information 16, no. 10: 891. https://doi.org/10.3390/info16100891
APA StyleAntwi, E. A., Frimpong, S., Raza, M. A., & Madria, S. (2025). Stochastic Modeling of Electromagnetic Wave Propagation Through Extreme Dust Conditions in Underground Mines Using Vector Parabolic Approach. Information, 16(10), 891. https://doi.org/10.3390/info16100891

