Abstract
In this paper, the need for a quantum computing approach is analyzed for IoT applications using the 5G resource spectrum. Most of the IoT devices are connected for data transmission to end users with remote monitoring units, but there are no sufficient data storage units, and more data cannot be processed at minimized time periods. Hence, in the proposed method, quantum information processing protocols and quantum algorithms are integrated where data transmissions are maximized. Further, the system model is designed in such a way for checking the external influence factors that prevent the IoT device from transmitting data to end users. Therefore, with corresponding signal and noise power, it is essential to process the transmissions, thereby increasing data proportions at end connectivity. Once quantum computations are performed, then it is crucial to normalize IoT data units, thus establishing control over entire connected nodes that create a gateway for achieving maximum throughput. The combined system model is tested under four cases where the comparative outcomes prove that with reduced queue reductions of 12%, it is possible to achieve a maximum throughput of 99%.
1. Introduction
The advancement of 5G networks in the Internet of Things (IoT) significantly enhances data processing rates, improving monitoring efficiency and reducing report delivery times to end users. Given the intrinsic capabilities of 5G networks, it is imperative to leverage them, and future generations of networks must be integrated to fully exploit the network’s potential in the near future [1]. As the network connected to each IoT device expands, the data transmission speed must also be augmented to monitor a greater number of units directly linked to the central station. However, in many instances, even if the 5G network enhances data speed, the computing capabilities are crucial in most IoT processes and cannot be overlooked [2]. Therefore, a quantum computing model must be connected with the construction of 5G networks, which are directly utilized in IoT monitoring for scheduling, data processing, and resource allocation based on priorities. All issues in traditional IoT networks can be addressed by the implementation of quantum computing models, leading to the development of specific protocols [3]. At every stage, the quantum information processing protocol is significantly more advantageous than a conventional information processing unit. Moreover, the utilization of quantum computing enables the manipulation of data dimensions, facilitating the development of programs that extensively process this data. Conversely, quantum algorithms can also facilitate the development of IoT security features by processing larger volumes of data for end users through the utilization of quantum computational keys, which can be exclusively released for public communications upon request [4,5]. Moreover, all quantum devices possess the capability to sustain rapid processing rates, enabling outcomes to be attained in brief timeframes.
Figure 1 illustrates the block diagram of the proposed system for quantum computing within IoT networks. Figure 1 illustrates that the input states represented by quantum computing are linked to various states of IoT devices, with three distinct zones delineating this connectivity. A computational programming unit is attached to an IoT device for the purpose of storing program activity associated with device representations. Consequently, a storage unit is designated for the retention of individual codes, with each bit reconnected to input states for subsequent processing. The aforementioned connectivity enhances the velocity of bit transfers, allowing 5G networks to maintain connectivity with IoT decision limits. The decision-making process is conducted effectively due to the interconnected boundaries.
Figure 1.
Block diagram of quantum computations for IoT and 5G network connectivity.
1.1. Major Contributions
A quantum computing solution is offered for the suggested approach to connect and operate all IoT devices using quantum algorithms for all queries included in the existing approach. Consequently, the parametric objectives are upheld with several objectives as follows:
- To enhance the data transmission rate utilizing quantum computing within 5G networks under diminished power situations;
- To mitigate computational externalities to attain stable network connectivity for a substantial number of users;
- To sustain optimal latency and network queues in quantum computations, maximizing throughput.
1.2. Background and Related Works
This section discusses all existing publications that provide pertinent information regarding quantum computing models for IoT devices. To offer a comprehensive overview of the technologies accessible in contemporary networks that enhance the performance of quantum computing models, a comparison with existing methodologies is conducted. Furthermore, a design model that delineates essential characteristics for the advancement of quantum computing processes is analyzed to address the deficiencies associated with network updates. A dependable service for IoT is delivered by millimeter wave and terahertz communication networks, utilized as an alternative to quantum computing models. The alternative approach suggests that traffic demands in IoT networks can be addressed via high-bandwidth networks with enhanced security measures. However, quantum computing models can minimize network congestion by ensuring an equitable distribution of bandwidth among all users [1]. Conversely, localization problems in IoT networks will be addressed by the implementation of radio environment maps, which enhance the efficacy of quantum computing models [2]. When an efficient antenna type is implemented for quantum computing applications, it is feasible to minimize all error kinds, thus enabling accurate localization of IoT devices. During the same timeframe, the aforementioned faults can only be mitigated to a limited degree as human processes are eschewed in quantum computations. If the responses of quantum computing models exhibit dynamic variations, a virtual representation unit for IoT can be constructed utilizing slicing processes [3]. The subsequent partitioning of quantum networks can diminish the results, consequently enabling the system to facilitate only uplink communication instead of other directional connectivity.
When network connectivity is unsupported, it becomes impossible to recommend next-generation units, even if quantum computational methods are employed. Another method for preventing network slicing is the construction of cloud networks to ensure adequate access for all connected users [4]. Given that every user relies on rapid computational models with minimized time intervals, it is imperative to prioritize connections across IoT devices. In cloud networks, the primary emphasis is placed on machine-to-device connections, which must be prioritized over other network connectivity. Even with suitable connections, a three-slicing priority will invariably hinder quantum computing models from achieving a definitive state of decision. Consequently, the quality of service regarding quantum computing will diminish due to external influences. The recognized works utilizing advanced architectures for quantum computing demonstrate that quantum-inspired methodologies must adhere to six variable strategies, attaining optimal speed for each cryptography design [5]. In quantum computational cryptography, Boolean function measurements are conducted using advanced computational architectures, with connectivity representations facilitated by 5G networks. Simultaneously, achieving one-time pad encryption is somewhat challenging due to the absence of effective adherence to rule metrics. Nonetheless, cognitive computations are determined to meet several criteria when basic quantum constructs are utilized. Hybrid architecture is proposed as an alternative to Boolean functions, wherein a quantum-inspired algorithm is integrated with IoT devices to facilitate feedback through directional communication [6].
Hybrid architectures can be developed by evaluating the density of diverse networks, thereby analyzing each cluster core to complete iterations prior to implementing subsequent updates in the determination criteria. Should hybrid architecture be implemented, the similarity index across all measurement units must be monitored with specialized clusters, as consistent similarities can never be attained. Conversely, quantum computing models can operate efficiently by appropriately distributing resources in both uplink and downlink, which are interconnected with 5G spectrum efficiency [7]. Throughout this process, all low-powered IoT devices process data rapidly, minimizing the duration of data transfer to end users through the appropriate selection of subcarriers. The processing unit enhances user connectivity speed within a controlled access spectrum by selecting appropriate threshold values prior to connecting with other users. Additionally, it is feasible to directly connect each low-powered device to augment service capabilities, enabling comprehensive energy conservation through the effective utilization of gateways. All quantum computing models must construct a dependable network to enhance service delivery prior to reaching the destination [8]. Reliable communication in a quantum network not only enhances processing speed but also increases the blocking ratio of redundant users consuming the entire spectrum. Furthermore, the blocking ratio can be enhanced by implementing equilibrium limitations, utilizing a two-layer technique in conjunction with radio network access [9]. Nonetheless, the equilibrium restriction also partitions resources, which directly impacts the velocity and storage capacity of quantum networks. Table 1 presents a comparison of the existing and planned approaches, highlighting their primary characteristics.
Table 1.
Existing vs. Proposed.
In [17], the potential for transformation in real-time applications through quantum computing is examined, highlighting the capability to enhance computational processes via communication, sensors, and interconnected units, which are depicted as separate blocks. Likewise, the perspective on improvements in quantum computing inside industrial sectors is examined [18], facilitating active explorations that result in adoptions and developments. The fundamental ideas of real-time applications in quantum computing are discussed [19] to mitigate mistakes in the computational process by supplying logical quantum bits. Consequently, contemporary advancements in quantum computing can resolve next-generation industrial faults at a reduced cost.
1.3. Research Gap and Motivation
Despite the fact that many traditional methods offer IoT calculations utilizing quantum approaches, a standardized control mechanism remains unestablished due to the lack of information processing models, as illustrated in Table 1. The significant deficiency observed in other pertinent methodologies pertains to parametric conditions, wherein a strong influence factor is assigned to each state in the IoT model. However, if influence rates are elevated, achieving data normalization becomes unfeasible, rendering it unable to regulate reductions in data rates, even with 5G network connectivity. Therefore, the subsequent inquiries identified as gaps must be addressed using quantum computing networks.
- RG1: Can quantum networks effectively diminish signal and noise power in IoT devices to optimize data rates?
- RG2: Can the elements influencing quantum computation be mitigated through external conditions by adhering to quantum protocols?
- RG3: Can data normalization be attained by minimizing the number of quantum queues and time intervals, maximizing throughput?
2. Proposed System Model
To optimize computations in 5G networks, it is vital to delineate the system using mathematical expressions, ensuring that the next-generation network is guided by requisite path representations. This section presents the design of quantum computing-based 5G networks, taking into account essential parameters that contribute to the advancement of communication units. The design concept, augmented by analytical equations, enhances signal transmission units, facilitating classical computation at linked user endpoints, where data processing can be amplified by quantum computing methodologies.
2.1. Quantum Signal Power
To establish suitable connections among various users in IoT applications, it is imperative to connect reserve units that can effectively utilize signal power. The primary use of quantum signal power is the enhancement of small unit representations in 5G linked networks to larger spatial units, ensuring uninterrupted data delivery to end users. Consequently, the representations of signal power can be articulated mathematically, as delineated in Equation (1).
where indicates number of quantum resource blocks and denotes node power.
Equation (1) establishes that maximum power must be allocated to quantum resource blocks for each node connectivity, optimizing signal power during the data transmission period facilitated by 5G network operations.
2.1.1. Preliminary 1
The quantum signal power delivered across relevant networks and blocks has many sources that facilitate equitable transmission. Therefore, the quantum power theorem is incorporated into the proposed method, necessitating that the power product of two signals be expressed in the time domain through inner product considerations. Consequently, Equation (2) represents a normalization factor for two 5G spectrums as follows:
2.1.2. Lemma 1
The aforementioned theorem can be substantiated by the Rayleigh energy theorem, which is utilized in quantum computing for 5G network connectivity. In the proving scenario, any inner spectrum that enhances data proportions for end-to-end connection inherently includes a normalization factor for time and frequency domains, as depicted in Equation (3).
2.2. Quantum Noise Ratio
As data speed increases with signal power through quantum networks, the noise ratio must be diminished to achieve comprehensive information regarding sent data. Moreover, the intermediate resources included in 5G networks tend to amplify oscillations inside the connected network; thus, they must be minimized, as indicated in Equation (4) below.
where denotes the number of intermediate nodes and indicates data fading blocks.
Equation (4) indicates that the intermediary node responsible for exacerbating damage to 5G infrastructure must be mitigated; hence, the attenuation in connected data units will also diminish, even if the signal power is maximized.
2.2.1. Preliminary 2
The existence of natural elements will impact the asymmetrical qualities of the total network connectivity, increasing the noise in the data exchanged between two users. Therefore, a quantified noise theory is incorporated into the suggested method, adhering to the uncertainty principle that must comply with quantum bounds as specified in Equation (4).
2.2.2. Lemma 2
As quantum restrictions are adhered to, 5G networks demonstrate fallback possibilities by incorporating point contacts available for all signals. Consequently, with the assistance of back options, the noise signal remains constant and does not vary over time; thus, it is necessary to check the unaltered noise in each spectrum. Equation (6) is delineated as follows:
2.3. Quantum Data Proportion
In conventional 5G networks, the data rate will be accelerated for resource blocks linked with minimal units. The integration of quantum units optimizes data utilization, enabling a greater number of resource blocks to be interconnected. Furthermore, the application of quantum technologies in IoT activities might enhance network performance for end users while minimizing noise in the spectrum.
where denotes resource bandwidth and indicates system connectivity blocks.
Equation (7) indicates that the overall bandwidth for each block must be optimized to link equivalent units, maximizing the data rate to reach the destination in minimal time. Therefore, quantum computing enables direct communication with other sources, mitigating data failure.
2.3.1. Preliminary 3
The aggregate rate of 5G networks must be delineated according to the law of equilateral triangles, wherein the quantum resource blocks corresponding to the three sides must equate to any two blocks, allowing the transmission rate to be employed for subsequent transmissions. Let us denote the equalization as , where equality can be established using Equation (8) as follows:
2.3.2. Lemma 3
The equalization law asserts that at each midpoint, transmission rates can be adjusted while maintaining constant utilization. Subsequently, they can be divided into different quantum blocks. Let represent the midpoint of the specified spectrum and quantum blocks, which adhere to upright proportions with spread bandwidth as delineated in Equation (9).
2.4. Quantum Influence Factor
In 5G network operations, the implementation of quantum computing must be supplied to the requisite degree as required by the source and destination units. If 5G network connectivity relies on quantum mode computing variables, establishing an independent connection becomes significantly more challenging. Consequently, the influencing factor in connected networks can be expressed using Equation (10) as follows:
where denotes the service time period and indicates the total metric from each block.
The time allocation for quantum computing services must take precedence over other computational services that are subject to system requirements. Consequently, an individual service time with diminished metrics will exert minimal influence regarding external elements.
2.4.1. Preliminary 4
The priority of each block in this example allows for time evolution, adhering to the unitary principle, while constraints affect temporal aspects through evolutionary operators. Consequently, the operators must be specified solely with service intervals, as quantum states are represented using , as delineated in Equation (10).
2.4.2. Lemma 4
The inequality rule associated with each unitary operator can be demonstrated using the expectation law involving two independent variables that commute with one another. Consequently, the expectation of is associated with minimal influence factors , where potential states may be affected as delineated in Equation (12) as follows:
2.5. Quantum Normalization
For each quantum computing principle, a normalization mechanism must be established to ascertain a more precise selection of data processing nodes. If nodes are normalized, the deviations in 5G characteristics will be managed to the greatest feasible extent. Therefore, the quantum normalization factor for IoT data connecting units is expressed using Equation (13) as follows:
where indicates control nodes and represents service allocation at each block.
Equation (13) indicates that each control node will give a representative service for subsequent quantum procedures in 5G networks; hence, with normalized quantum modes, it becomes simpler to manage every data exchange.
2.6. Quantum Network Latency
The latency in 5G network operations for IoT applications can be mitigated more effectively by employing quantum uncertainty concepts to avert data breakdowns. Consequently, if outages are minimized, the delay in data processing units will be minimized, as demonstrated in Equation (14).
where denotes the tolerance limit of quantum networks and represents the exponential rate of users.
Equation (14) stipulates that a maximum permissible limit must be upheld to minimize transmission delays at each user endpoint. Consequently, the exponential rate of each user is assessed before commencing the monitored data from the transmitter end.
2.7. Quantum Queue Reductions
In 5G network connectivity, an exponential rise in users will result in longer wait lengths at each control center, where a greater number of active IoT users will contend with an equivalent quantity of data packets. To prevent packet collisions, active queues are established using quantum computing techniques, as demonstrated in Equation (15).
where denotes the collision rate of quantum data packets and indicates propagation delay.
Equation (15) establishes that to sustain active queues, the collision between disparate packets must be minimized to ensure a substantial amount of data feedback for each user. Consequently, the feedback quantum network can store a greater volume of data compared to conventional cloud storage systems.
2.8. Quantum Computing Throughput
The throughput of end users in connected transmission networks is analyzed based on distance representations, where all data in IoT networks is transmitted to maximum ranges with little interference. Therefore, Equation (16) is formulated to calculate the throughput of whole networks as follows:
where represents the connectivity between each device and denotes the distance of transmission.
Equation (16) stipulates that the connectivity range must be assessed for each device connection, optimizing user efficiency, even with the establishment of a resource block pool. Consequently, the connection representation optimizes the accessibility of resources that can be reserved for future utilization.
2.9. Objective Functions
All parametric functions utilized to build quantum computing principles are integrated through min-max representations, which will be executed as loop formations. The min-max criterion is employed to ascertain optimal operating parameters for 5G-connected IoT networks.
The aforementioned min-max criteria are appropriate for identifying the quantum boundaries at which various obstacles to successful communication can be eliminated. The proposed system model offers analytical expressions for the implementation of quantum computing, emphasizing computation and speed, which are assessed using quantum signal power through corresponding resource blocks. Each block is subject to variations concerning intermediate nodes, thereby influencing the total noise ratio, which quantifies the damage inflicted on infrastructures. Additionally, the projected model examines the total data proportions for all connected blocks, a task inadequately addressed by existing methods due to flawed quantum blocks. Consequently, complete data influence factors are provided at the final stage, thereby determining service time periods in the projected approach. These factors facilitate the reduction of latency and enable quantum normalization in the proposed method compared to other existing approaches. Further, the multi-objective functions are processed with quantum algorithms with necessary protocol implementations in order to maintain a stable network operation.
3. Information Processing Protocols
In IoT data processing systems, only a limited quantity of data may be delivered to destinations lacking adequate storage capacity. Consequently, there exists a possibility that in advanced networks, data may be irretrievably lost, resulting in a diminished resource spectrum. Consequently, the suggested system incorporates quantum protocols for information transmission across blocks, enabling a greater volume of IoT-monitored data to be sent to the destination. The quantum protocol, owing to its optimal characteristic capabilities, establishes a framework for data transmission to the destination by taking into account the qualities of quantum applications. The primary advantage of quantum protocols is that, unlike traditional information processing units, individual keys are disseminated, effectively encoding all available data exclusively in quantum states. The quantum protocol establishes a mechanism enabling external users to communicate exclusively with a connected group of users using public communication networks. The aforementioned possibility enhances the potential for bidirectional communication by creating random bits, ensuring the security of IoT quantum computing networks. Conversely, a private network user can access data upon request for a single instance using distinct keys, minimizing resource expenditure in the suggested method if quantum information protocols are employed. The information processing protocol enables the establishment of a post-processing unit that can mitigate interception in numerous IoT-connected systems. Utilizing post-processing units in quantum protocols enables the retransmission of data to the destination while sharing keys. Consequently, akin to other network operations, a local processing system can be implemented with collaborative operational scenarios [20].
3.1. Quantum Random Bit Generation
To facilitate effective communication with 5G networks, random bits are generated, known exclusively to the end users (both transmitter and receiver). Consequently, in this instance, the real message bits are received, and just the requested data is delivered to the destination, where all resources are exchanged for network access.
where represents the random generated bits and denotes the actual bits.
Equation (19) demonstrates that utilizing randomly produced bits allows for the establishment of n instances of public connectivity through quantum protocols, enabling the provision of only uniformly generated bits to all external users.
3.2. Quantum Knowledge Distribution
According to the distinct attributes of IoT data representations, the keys are allocated to many users, ensuring that each knowledge representation unit is interconnected through non-zero connectivity, as specified in Equation (20).
where denotes key additivity and indicates non-zero representations.
Equation (20) indicates that for each key addition, a representative unit is supplied, enhancing the active state of users, with representational factors incorporated upon the discovery of matching keys.
3.3. Quantum Data Retransmission
The quantum information protocol can retransmit data in the event of interception; therefore, distinct paths for key sharing must be built to process each local dataset prior to final computations. Thus, quantum retransmission can be articulated by Equation (21) as follows:
where denotes the number of generated keys and indicates local processing systems.
Step indications for the protocol: Information processing are presented in Algorithm 1.
| Algorithm 1. Information Processing Protocol |
![]() |
Equation (21) establishes that individual keys are generated for each local processing system, enhancing the security of data connections in IoT systems. Additional local processing units can be supplied only if signal power is optimized in each segment. The information processing flow chart is illustrated in Figure 2, with the subsequent steps outlined as follows.
Figure 2.
Flow chart for minimization objectives with data bit generation patterns.
3.4. Quantum Algorithm
Instructional patterns for IoT data processing units are monitored by the integration of quantum algorithms with the proposed system architecture, which will preserve and store a substantial collection of individual commands. The proposed strategy for optimal 5G characteristics, which involves parallel data processing, necessitates a reduction in the duration of various estimation steps. Consequently, a quantum computing phase estimation method is executed, which transforms all relational phases, thereby determining the ground state measurements for IoT data processing units at the final step of the computation. IoT devices are integrated with quantum circuits to estimate the total length of data pathways for quantum state estimation. A single unitary matrix facilitates the establishment of all potential individual data pathways for public communications, enabling the creation of a dedicated communication line. Consequently, the application of quantum simulation mitigates further resource consumption, thereby diminishing the impact on each metric block across different time intervals. Additionally, the secondary benefits of quantum algorithms in the proposed method for IoT data applications encompass the adjustment of resource parameters, which facilitates precise control over diverse path constructions, allowing IoT devices to be optimized with 5G broad spectrums. Moreover, using phase estimation and simulation units, sorting IoT data is unnecessary, totally reducing the complexity of data blocks, even when represented in a programmable manner [21,22].
3.4.1. Phase Unitary Matrix
To determine IoT data values up to the latest iteration, a unitary matrix representation is required, wherein current data values are estimated based on previously existing distribution values. Consequently, the unitary matrix can be expressed using Equation (22) as follows:
where denotes the various control bits and represents exponential variations.
Equation (22) stipulates that for each exponential increase, the control bits are observed at every phase unit. Consequently, primary probability distribution units are regulated at the present stage prior to advancing to the subsequent iteration step.
3.4.2. Quantum Dimensions
However, the data phases may only be altered to restricted values; hence, dimensional units are constructed using statistical measurements. Therefore, the maximum dimensionality variations can be determined using Equation (23) as follows:
where denotes dimensionality reduction and indicates dimensionality for the last iteration values.
Equation (23) indicates that statistical information may only be obtained if dimensions are lowered for extensive IoT devices. Therefore, prior to attaining complicated states, the precision of the quantum tool must be enhanced using scalable representations. The flow chart of information processing protocol is indicated in Figure 2 and step indications are as follows.
3.4.3. Quantum Time Periods
Due to quantum simulations with constrained limits, the trace of all IoT data units must be minimized, as each output unit is derived from preceding iterations. Consequently, the current state iterations are denoted with their respective time intervals utilizing Equation (24) as follows:
where indicates individual time period and denotes the previous trace matrix.
The flow chart of quantum algorithms is indicated in Figure 3, step indications are as follows and Table 2 indicates the significance of variables.
Figure 3.
Flow chart for maximization objectives with data bit generation patterns.
Table 2.
Indication of variables.
Step indications for the algorithm: Quantum computing are presented in Algorithm 2.
| Algorithm 2. Quantum Computing |
![]() |
4. Results
To validate the study of quantum computations in IoT devices, real-time experimentation is conducted, establishing effective boundary conditions. In real-time computations, IoT devices coupled to various sensing units are equipped with quantum codes for enhanced communication. The proposed solution involves a gateway with quantum units coupled to eight distinct devices utilized for individual application platforms. As each IoT device monitors particular applications, it is feasible to construct control bits for enhanced communication. Consequently, the loss of quantum energy is diminished, resulting in substantial decreases in both signal and noise power across all states of connectivity. Furthermore, IoT devices are protected by quantum keys, rendering the establishment of a gateway for private connectivity unfeasible. Additionally, individual gateways are offered to verify public connections upon request, and this sort of connectivity maximizes data rates. In the aforementioned situation involving public connections, random bit creation occurs prior to data transmission to the control center. The suggested solution utilizes 5G for connectivity, enabling parallel automation processes and driving IoT loads according to equalization requirements, distributing the uniform load overall quantum devices. In the proposed approach, about six quantum data instances result in failure during the connectivity check, which is not communicated to end users. Subsequently, a distinct retransmission path is established, leading to a reduction in queues. The existence of distinct pathways enables the regulation of quantum bit overflow, facilitated by non-zero representations through knowledge pathways. The success rate of quantum calculations in IoT networks is analyzed through parametric instances, with the significance of these cases presented in Table 3.
Table 3.
Significance of parametric cases.
- Case 1: Detection of power and data rates;
- Case 2: Analysis of influence factors;
- Case 3: Quantum normalizations;
- Case 4: Quantum queue proportions.
4.1. Discussions
The IoT device counterparts are equipped with Node-RED connectivity, and real-time conversions are precisely replicated to achieve accuracy in quantum computing systems. Quantum key generation mitigates external influence factors, enabling communication to an arbitrary number of devices. Initially, the connections and transmissions utilize conventional data speeds, while subsequently, the communications are executed using 5G communication techniques.
All the discussed scenarios’ real-time simulation outcomes are compared with hybrid augmented architecture, where brain-inspired computations are carried out [6]. Thus, the proposed strategy allows for the maximization of the data rate while preserving the existing boundary requirements. Only advanced processors are utilized for control and monitoring, preventing collisions between disparate data packets that link devices and end users. Table 4 presents the simulation configuration regarded as equivalent representations in the suggested technique. The quantum computing toolkit emulates the precise design of IoT devices, enabling the creation of a simulation environment for addressing optimization concerns. Furthermore, the sophisticated simulation units in the quantum toolbox enable users to reconfigure the network parameters of 5G utilizing preexisting functions. The system’s two-factor authentication generations are supplanted by a random key generation unit at each IoT device during the setup phase, optimizing data accuracy. Moreover, IoT circuit connections are established in a straightforward manner, resulting in non-uniform phases at each state representation. The comprehensive delineation of parametric cases is as follows.
Table 4.
Simulation environments.
- Case 1: Detection of power and data rates
The input signal power is crucial for linking all IoT devices across their respective channels during quantum processes. Proper provision of signal power enables extensive data operations, and the connection of the 5G network is directly contingent upon power concerns. If signal power is not provided to 5G operational units, certain IoT devices will fail during data transmissions; therefore, each quantum resource block must be verified prior to data transfers. The quantum nodes built for each IoT connection must be replicated with authentic representations of each block to prevent duplicate quantum representations. In the event of data failures, the signal power at the quantum resource unit must be assessed; if adequate power is supplied, the transmission bandwidth is subsequently augmented, achieving maximum data speed.
Figure 4 and Table 5 depict the signal power detection and associated data rates for both existing and proposed methodologies. Figure 4 indicates that signal power is optimized in the projected model relative to the existing approach [6], enhancing the data rate for each IoT connection. The input signal power linking states from a to z is seen through node representations, allowing for a potential improvement in bandwidth to a certain degree. With adequate signal power, data arrives at the end user at designated time intervals; however, the inclusion of quantum computing blocks causes all data to reach the receiver prematurely. This case number examines quantum resource blocks in five variations: 5, 10, 15, 20, and 25, with bandwidths of 0.8, 0.9, 1.2, 1.4, and 1.7 Mbps. The aforementioned adjustments yield a data rate of 47, 51, 53, 56, and 62% for the existing approach, whereas the predicted model achieves a maximum data rate of 74, 83, 89, 91, and 94%, respectively. Thus, with a signal power over 80%, the quantum computing method optimizes the data rate.
Figure 4.
Signal power source for quantum resource blocks with data rate maximization.
Table 5.
Data rate for varying resource blocks.
- Case 2: Analysis of influence factors
In quantum computing, there exists a potential for intermediate blocks to deteriorate due to a rise in noise power at the associated IoT blocks. As signal connection increases, there is a concomitant likelihood of elevated noise power at each resource block, which is unavoidable. The rise in noise power can amplify influence factors that may disconnect entire IoT devices due to the expansion of quantum dimensions. If noise power grows, the output data will not match the input connectivity; therefore, it is essential to mitigate this by ensuring improved service time intervals. At the outset of data transmission utilizing quantum computing, the metrics upheld by each IoT device must be evaluated in relation to previous connectivity. If the metrics are inadequate, an urgent disconnection mechanism must be implemented utilizing knowledge dissemination functions. Figure 5 examines the comparative influence rates of the proposed and existing approaches.
Figure 5.
Total service time periods for discovering influence factors.
Figure 5 and Table 6 indicate that the total influence factor is less in the proposed method compared to the existing method [6]. The projected model decreases the number of intermediate nodes in quantum computing blocks, mitigating noise power at both input and channel representations. Furthermore, maximum priority is granted solely to direct node connectivity, thereby minimizing extraneous interference and preserving precise trace points at both the sending and receiving locations. To ascertain the influencing factors, the quantity of intermediate blocks observed at 15, 23, 28, 34, and 42 will process all data at the present service rates of 2, 3, 5, 8, and 10 s. Consequently, after detaching the requisite intermediate blocks, it is noted that the percentage of influencing elements has diminished from 36%, 32%, 29%, 26%, and 22% in the context of the current technique. The proposed strategy reduces the percentage of influence factors to 24%, 20%, 15%, 11%, and 8%, respectively.
Table 6.
Influence factor for intermediate blocks.
- Case 3: Quantum normalizations
It is imperative to give normalization values for every quantum of data in IoT representations to ensure that the integrity of the full data remains unaffected. Consequently, in this instance, quantum normalizations are assessed, and the throughput of each connected unit is monitored. Quantum computations enhance throughput at output; nevertheless, when IoT devices are connected, both the speed of computations and the type of network, together with its operational characteristics, are significant factors to consider. To standardize the data at each IoT connectivity point, the nodes are managed concerning service representations, ensuring that data exchange is regulated to the utmost extent possible. If services are inadequately delivered to IoT applications, data will remain normalized, resulting solely in standard representations. Furthermore, if the distance between each device is optimized, it becomes feasible to normalize all data, therefore enhancing the throughput of every linked device.
Figure 6 and Table 7 are presented to compare throughput measurements for the proposed and existing approaches. Figure 6 clearly demonstrates that the throughput of quantum measurements is optimized for each device-to-device connectivity in comparison to the present approach. The primary reason for the significant increase in measurement is that all IoT devices are interconnected to the fullest extent, facilitating maximal storage through quantum computing. Furthermore, all data from connected devices is normalized, ensuring ongoing regulation until it reaches the end users. To demonstrate the results about throughput, the total number of services allocated to each IoT device is varied as 2, 4, 6, 8, and 10, with distance separations of 1.4, 1.7, 2.3, 2.8, and 3.5 km, respectively. Consequently, these separations normalize the entire data up to 75% of total requirements, resulting in throughputs of about 73%, 79%, 82%, 85%, and 88% for the current technique. The proposed method achieves throughput levels of 89%, 93%, 95%, 97%, and 99%, respectively, indicating a comparable improvement of 10% in overall throughput.
Figure 6.
Grid distance representations for normalized data values.
Table 7.
Total throughput for all allotted services in 5G networks.
- Case 4: Quantum queue proportions
A key best practice in IoT connectivity is that each device must process essential data while minimizing traffic. Likewise, for quantum computing methodologies, it is essential to develop IoT systems that accommodate reduced traffic situations, as most quantum algorithmic patterns primarily sustain average queue durations. In the suggested method, the integration of all application platforms with IoT necessitates that the quantum approach manages a greater volume of data; hence, the overall queue lengths are monitored. In every quantum methodology, queues are minimized to preserve each packet and prevent collision states, as the probability of throughput is adversely influenced by collisions. It is well acknowledged that quantum networks retain a maximum tolerance limit, ensuring that IoT connections do not encounter collision limits. Even in the presence of data mistakes, quantum barriers can be optimized, which immediately increases the propagation delay that must be mitigated.
Figure 7 and Table 8 illustrate the queue proportions discovered in the comparative analysis of existing and proposed approaches. Figure 7 clearly demonstrates that queues diminish with the implementation of quantum computing in the anticipated model compared to the existing method. As the outputs from preceding quantum blocks serve as inputs for current block representations, it is feasible to prevent the collision of multiple packets. To demonstrate the feasibility of queue reductions, the percentage of collisions in prior state packets is evaluated, falling within the range of 25%, 32%, 38%, 43%, and 46%. As the number of actual bits increases, the collision rate for certain packets rises, which is subsequently mitigated. The propagation delays for the collided packets are recorded at 4, 6, 9, 13, and 15 s, respectively. Consequently, the collision rate percentage of queue reductions for the suggested method decreased to 26%, 23%, 20%, 16%, and 12%, while the old methodology yielded queue reductions of 32%, 30%, 27%, 24%, and 21% for the identical collided packets.
Figure 7.
Queue reductions for collided packets in quantum blocks.
Table 8.
Possibility of queue reductions with collisions.
4.2. Performance Metrics
In implementing computing methods, the complexity of quantum algorithms must be prioritized, with particular emphasis on data storage, necessitating an assessment of both space and time complexities. In 5G networks, as an increased allocation of resources occurs, it is imperative to segregate the designated units for the storage of vital data within the network. Consequently, the performance evaluation offers a comprehensive overview of entire resources, and the delineation of the examined complexities is as follows.
- Space complexity
The characteristic functions established at input units must be saved in separate units to facilitate complete executions. If adequate resources are not allocated, only partial assessments will be conducted for all 5G network connections, preventing the attainment of quantum normalizations. Moreover, the total area required for executing a certain function must be adequately provided, defining suitable system blocks for IoT connectivity. Furthermore, solid network connections can be ensured through random bit generation, provided that storage units are adequately monitored; in this scenario, the total number of keys incorporated for disseminating comprehensive information across the full dataset must be included. Consequently, all non-zero representations are consolidated into a singular function that minimizes the overall data processing requirements.
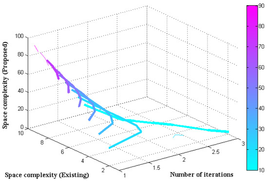
Figure 8 and Table 9 present the comparative results of space complexity for the proposed and existing methodologies. Figure 8 illustrates that the proposed strategy achieves reduced space complexity compared to the present methodology for effective execution. The primary cause of the decrease in indicated space is the allocation of resources for distinct functions, resulting in a reduction of total dimensions in this instance. To assess the complexity associated with storage units, the number of iterations is set between 10 and 100, with uniform step variations. The extensive number of iterations enables a comprehensive analysis of modifications in each computing method, with the proposed methodology reducing space complexity to 0.1%, so conserving significant resources. The existing approach decreases space complexity to 5% for the same number of repeats, as the assigned 5G technique does not utilize resources efficiently.
Figure 8.
Total storage complexities for allocated resources.
Table 9.
Minimized space complexities for all epoch.
- Time complexity
As the number of processes required to execute a certain activity increases, it is imperative to assess time complexity, particularly when there is a necessity to minimize the overall number of queues. A quantum computing method is developed to minimize total time periods, attaining optimal efficiency in input lengths. The suggested method requires the careful monitoring of previous trace matrices to compute unitary trace matrices, which can be eliminated prior to the subsequent iteration. It is imperative that all assigned resources be utilized by channels with temporal separation to achieve optimal efficiency, further minimizing retransmission. Furthermore, difficulties associated with time periods must be mitigated through bit generators and resource allocations, reducing propagation latency and minimizing collision rates. Figure 9 and Table 10 illustrate the comparison of temporal complexities between the proposed and existing approaches.
Figure 9.
Time complexities with a reduction in propagation delays.
Table 10.
Time complexities for a set of epochs.
Figure 9 and Table 10 demonstrate that the suggested strategy minimizes time complexities in comparison to the present approach. The decreases in time complexity are counterbalanced by an exponential rise in users, constrained by restrictions inherent in quantum networks. Therefore, in this instance, it is feasible to oversee the comprehensive data transmission of each user while minimizing collisions between disparate packets. To validate the results of time complexity, the optimal epochs are defined as a series of 20, 40, 60, 80, and 100. As the user count increases, the total time duration decreases from 8.3 s to 7.1, 6.4, 6.1, and 5.7 s, respectively, for the suggested methodology. In the current method, with an increase in iterations, the time complexity decreases from 14.2 s to 13.6, 11.5, 10.7, and 10.1 s.
5. Conclusions
With the increasing number of IoT processors and devices necessitated by next-generation networks, it is imperative to design corresponding computing approaches that enhance node connectivity at several junctures. Moreover, the majority of IoT system monitoring is conducted for diverse applications; hence, the implementation of quantum computing nodes at numerous data points, accompanied by the requisite protocol structure, is essential. Quantum computations in IoT can enhance data transmission speed, enabling rapid responses in industrial operations and facilitating optimal solutions. Therefore, in the suggested methodology, optimal operating conditions are selected using quantum models, wherein each system connectivity block is evaluated for signal and noise power. When quantum blocks are operated with elevated signal power, each node computing the block can provide optimized data at significantly accelerated rates. If noise power is diminished, the quantum-connected blocks can mitigate fading, thereby conserving quantum resources. Furthermore, in the anticipated system architecture, the service time variables are noted to mitigate the impact of external elements during the transmission process, diminishing public communications 5G connectivity.
The simulation results of the suggested quantum computing for IoT within 5G networks were evaluated across four scenarios, and in each instance, the obtained results remained superior compared to the existing methodology. In the initial scenario with increased signal power, each resource block can achieve a successful data rate of 94%, in contrast to the previous method’s 62%. The factors influencing the reduction of quantum computation growth have been minimized to 8%, resulting in a throughput gain of 99%. The proposed method can be enhanced in the future with quantum security features, incorporating continuous key generation using machine learning optimizations.
Author Contributions
Writing original draft: H.M. and S.S.; Supervision: H.M. and S.S.; Project administration: S.S. and H.M.; Conceptualization: S.S. and H.M.; Methodology: S.S. and H.M.; Validation: A.O.K. (Adil O. Khadidos) and A.O.K. (Alaa O. Khadidos); Visualization: A.O.K. (Adil O. Khadidos) and A.O.K. (Alaa O. Khadidos); Resources: A.O.K. (Adil O. Khadidos) and A.O.K. (Alaa O. Khadidos); Review and Editing: A.O.K. (Adil O. Khadidos) and A.O.K. (Alaa O. Khadidos); Funding acquisition: H.M. and S.S. All authors have read and agreed to the published version of the manuscript.
Funding
This research received no external funding.
Institutional Review Board Statement
Not applicable.
Informed Consent Statement
Not applicable.
Data Availability Statement
The data presented in this study are available on request from the corresponding author.
Conflicts of Interest
The authors declare no conflicts of interest.
References
- Moltchanov, D.; Sopin, E.; Begishev, V.; Samuylov, A.; Koucheryavy, Y.; Samouylov, K. A Tutorial on Mathematical Modeling of 5G/6G Millimeter Wave and Terahertz Cellular Systems. IEEE Commun. Surv. Tutor. 2022, 24, 1072–1116. [Google Scholar] [CrossRef]
- Hoffmann, M.; Kryszkiewicz, P.; Koudouridis, G.P. Modeling of Real Time Kinematics localization error for use in 5G networks. Eurasip J. Wirel. Commun. Netw. 2020, 2020, 31. [Google Scholar] [CrossRef]
- Song, F.; Li, J.; Ma, C.; Zhang, Y.; Shi, L.; Jayakody, D.N.K. Dynamic virtual resource allocation for 5g and beyond network slicing. IEEE Open J. Veh. Technol. 2020, 1, 215–226. [Google Scholar] [CrossRef]
- AlQahtani, S.A. Cooperative-Aware Radio Resource Allocation Scheme for 5G Network Slicing in Cloud Radio Access Networks. Sensors 2023, 23, 5111. [Google Scholar] [CrossRef] [PubMed]
- Ji, X.; Wang, B.; Hu, F.; Wang, C.; Zhang, H. New Advanced Computing Architecture for Cryptography Design and Analysis by D-Wave Quantum Annealer. Tsinghua Sci. Technol. 2022, 27, 751–759. [Google Scholar] [CrossRef]
- Wang, N.; Guo, G.; Wang, B.; Wang, C. Traffic Clustering Algorithm of Urban Data Brain Based on a Hybrid-Augmented Architecture of Quantum Annealing and Brain-Inspired Cognitive Computing. Tsinghua Sci. Technol. 2020, 25, 813–825. [Google Scholar] [CrossRef]
- Ali, A.; Shah, G.A.; Arshad, J. Energy efficient resource allocation for M2M devices in 5G. Sensors 2019, 19, 1830. [Google Scholar] [CrossRef]
- Pereira, R.S.; Lieira, D.D.; da Silva, M.A.C.; Pimenta, A.H.M.; da Costa, J.B.D.; Rosário, D.; Villas, L.; Meneguette, R.I. Reliable: Resource allocation mechanism for 5G network using mobile edge computing. Sensors 2020, 20, 5449. [Google Scholar] [CrossRef] [PubMed]
- Ma, T.; Zhang, Y.; Han, Z.; Li, C. Heterogeneous RAN slicing resource allocation using mathematical program with equilibrium constraints. IET Commun. 2022, 16, 1772–1786. [Google Scholar] [CrossRef]
- Raja, S.K.S.; Louis, A.B.V. Optimal resource allocation in 5G system using modified lion algorithm. IET Commun. 2021, 15, 126–141. [Google Scholar] [CrossRef]
- Jang, H.; Kim, J.; Yoo, W.; Chung, J.M. URLLC Mode Optimal Resource Allocation to Support HARQ in 5G Wireless Networks. IEEE Access 2020, 8, 126797–126804. [Google Scholar] [CrossRef]
- Kalsoom, N.; Ahmad, I.; Alroobaea, R.; Raza, M.A.; Khalid, S.; Ahmed, Z.; Ali, I. Architecture for Resource Allocation in the Internet of Vehicles for Cooperating Driving System. J. Adv. Transp. 2021, 2021, 6637568. [Google Scholar] [CrossRef]
- Liu, J.S.; Lin, C.H.; Huang, H.C. Joint congestion control and resource allocation for energy-efficient transmission in 5G heterogeneous networks. Eurasip J. Wirel. Commun. Netw. 2019, 2019, 227. [Google Scholar] [CrossRef]
- Yu, Z.; Gu, F.; Liu, H.; Lai, Y. 5G Multi-Slices Bi-Level Resource Allocation by Reinforcement Learning. Mathematics 2023, 11, 760. [Google Scholar] [CrossRef]
- Ahanger, T.A.; Dahan, F.; Tariq, U.; Ullah, I. Quantum Inspired Task Optimization for IoT Edge Fog Computing Environment. Mathematics 2023, 11, 156. [Google Scholar] [CrossRef]
- Zioui, N.; Mahmoudi, A.; Mahmoudi, Y.; Tadjine, M. Quantum computing based state domain equations and feedback control. Results Appl. Math. 2023, 19, 100385. [Google Scholar] [CrossRef]
- Gill, S.S.; Buyya, R. Transforming Research with Quantum Computing. J. Econ. Technol. 2024, in press. [CrossRef]
- Pfaendler, S.M.-L.; Konson, K.; Greinert, F. Advancements in Quantum Computing—Viewpoint: Building Adoption and Competency in Industry. Datenbank-Spektrum 2024, 24, 5–20. [Google Scholar] [CrossRef]
- Chae, E.; Choi, J.; Kim, J. An elementary review on basic principles and developments of qubits for quantum computing. Nano Converg. 2024, 11, 11. [Google Scholar] [CrossRef] [PubMed]
- Chawla, D.; Mehra, P.S. A Survey on Quantum Computing for Internet of Things Security. Procedia Comput. Sci. 2022, 218, 2191–2200. [Google Scholar] [CrossRef]
- Almudever, C.G.; Lao, L.; Wille, R.; Guerreschi, G.G. Realizing Quantum Algorithms on Real Quantum Computing Devices. In Proceedings of the 2020 Design, Automation & Test in Europe Conference & Exhibition (DATE), Grenoble, France, 9–13 March 2020; pp. 864–872. [Google Scholar]
- Nurhadi, A.I.; Syambas, N.R. Quantum Key Distribution (QKD) Protocols: A Survey. In Proceedings of the 2018 4th International Conference on Wireless and Telematics (ICWT), Nusa Dua, Bali, Indonesia, 12–13 July 2018; pp. 1–5. [Google Scholar]
Disclaimer/Publisher’s Note: The statements, opinions and data contained in all publications are solely those of the individual author(s) and contributor(s) and not of MDPI and/or the editor(s). MDPI and/or the editor(s) disclaim responsibility for any injury to people or property resulting from any ideas, methods, instructions or products referred to in the content. |
© 2024 by the authors. Licensee MDPI, Basel, Switzerland. This article is an open access article distributed under the terms and conditions of the Creative Commons Attribution (CC BY) license (https://creativecommons.org/licenses/by/4.0/).

