Patient-Independent Epileptic Seizure Detection with Reduced EEG Channels and Deep Recurrent Neural Networks
Abstract
1. Introduction
2. Materials and Methods
2.1. Re-Referencing
2.2. Neural Network Input Dimensions
2.3. Single- and Multi-Channel LSTM
2.4. CNN-LSTM Model
2.5. Data Set Description and Processing
3. Results
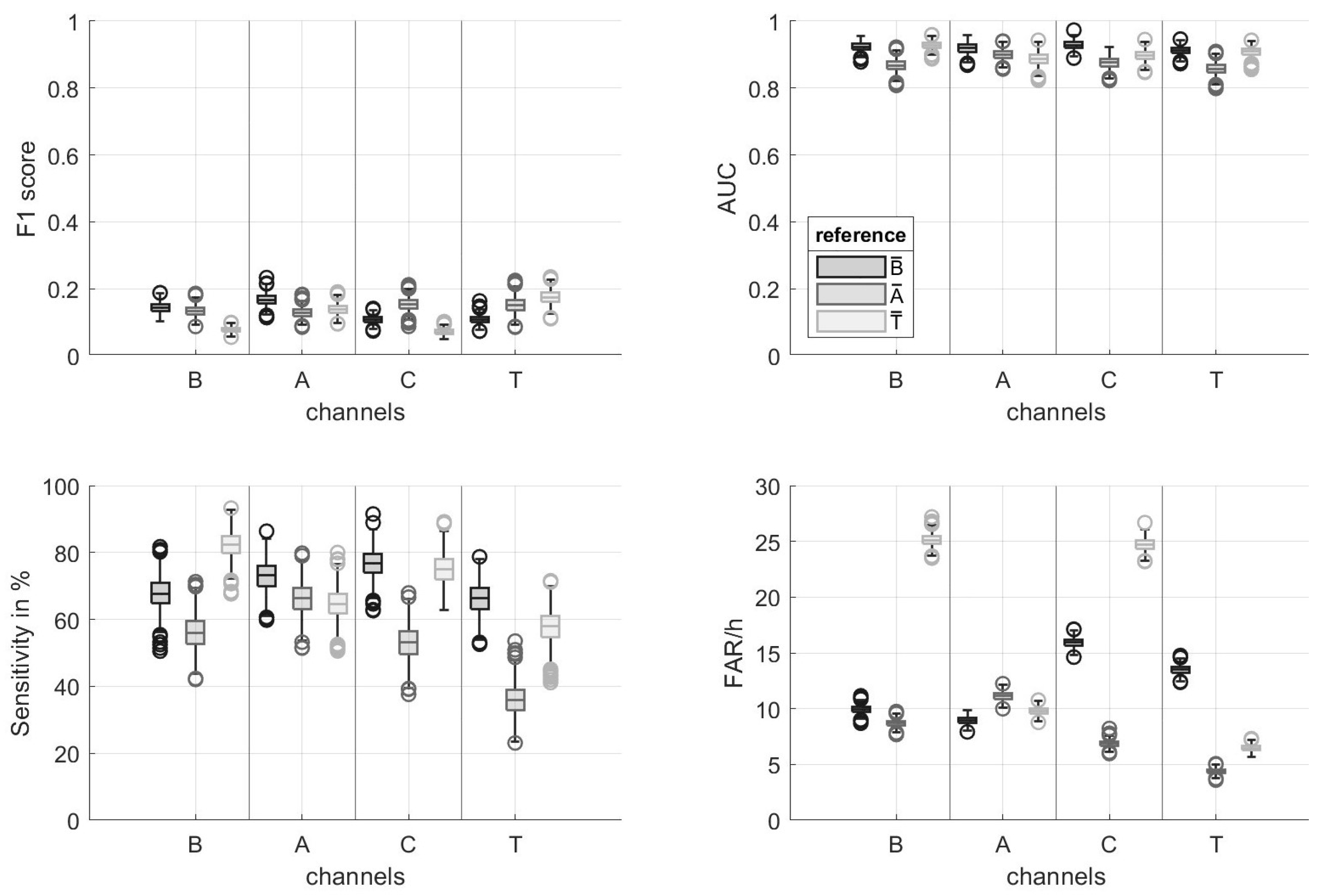
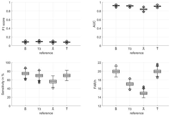
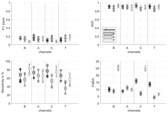
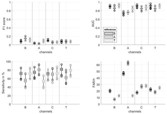
3.1. Channel and Reference Analysis
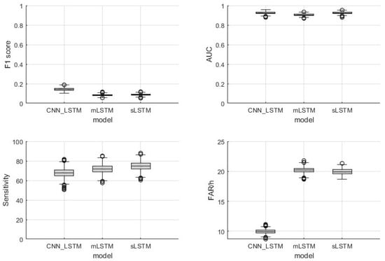
3.2. Single- and Multi-Channel Classification
3.3. Differences in the Classification of Motor and Non-Motor Seizures
4. Discussion
5. Conclusions
Author Contributions
Funding
Institutional Review Board Statement
Informed Consent Statement
Data Availability Statement
Acknowledgments
Conflicts of Interest
Abbreviations
| FIAS | focal impaired awareness seizures |
| FAS | focal awareness seizures |
| ESD | epileptic seizure detection |
| EEG | electroencephalography |
| BTE | behind-the-ear |
| TLE | temporal lobe epilepsy |
| DNN | deep neural network |
| CNN | convolutional neural network |
| RNN | recurrent neural network |
| LSTM | a long short-term memory |
| sLSTM | single-channel LSTM |
| mMSTL | multi-channel LSTM |
References
- Surges, R.; Elger, C. Mortality and sudden unexpected death in epilepsy (SUDEP). Fortschritte Der Neurol. Psychiatr. 2014, 82, 414–426. [Google Scholar]
- Hoppe, C.; Poepel, A.; Elger, C.E. Epilepsy: Accuracy of patient seizure counts. Arch. Neurol. 2007, 64, 1595–1599. [Google Scholar] [CrossRef]
- Homan, R.W.; Herman, J.; Purdy, P. Cerebral location of international 10–20 system electrode placement. Electroencephalogr. Clin. Neurophysiol. 1987, 66, 376–382. [Google Scholar] [CrossRef] [PubMed]
- Pacia, S.V.; Doyle, W.K.; Friedman, D.; Bacher, D.H.; Kuzniecky, R.I. Intracranial EEG validation of single-channel subgaleal EEG for seizure identification. J. Clin. Neurophysiol. 2022, 39, 283–288. [Google Scholar] [CrossRef]
- Weisdorf, S.; Duun-Henriksen, J.; Kjeldsen, M.J.; Poulsen, F.R.; Gangstad, S.W.; Kjær, T.W. Ultra-long-term subcutaneous home monitoring of epilepsy—490 days of EEG from nine patients. Epilepsia 2019, 60, 2204–2214. [Google Scholar] [CrossRef]
- Bleichner, M.G.; Debener, S. Concealed, unobtrusive ear-centered EEG acquisition: cEEGrids for transparent EEG. Front. Hum. Neurosci. 2017, 11, 163. [Google Scholar] [CrossRef] [PubMed]
- Muhlhofer, W.; Tan, Y.L.; Mueller, S.G.; Knowlton, R. MRI-negative temporal lobe epilepsy—What do we know? Epilepsia 2017, 58, 727–742. [Google Scholar] [CrossRef]
- Gu, Y.; Cleeren, E.; Dan, J.; Claes, K.; Paesschen, W.V.; Huffel, S.V.; Hunyadi, B. Comparison between scalp EEG and behind-the-ear EEG for development of a wearable seizure detection system for patients with focal epilepsy. Sensors 2018, 18, 29. [Google Scholar] [CrossRef] [PubMed]
- Vandecasteele, K.; De Cooman, T.; Dan, J.; Cleeren, E.; Van Huffel, S.; Hunyadi, B.; Van Paesschen, W. Visual seizure annotation and automated seizure detection using behind-the-ear electroencephalographic channels. Epilepsia 2020, 61, 766–775. [Google Scholar] [CrossRef] [PubMed]
- Shoeb, A.H.; Guttag, J.V. Application of machine learning to epileptic seizure detection. In Proceedings of the ICML, Haifa, Israel, 21–24 June 2010. [Google Scholar]
- Tzimourta, K.D.; Tzallas, A.T.; Giannakeas, N.; Astrakas, L.G.; Tsalikakis, D.G.; Angelidis, P.; Tsipouras, M.G. A robust methodology for classification of epileptic seizures in EEG signals. Health Technol. 2019, 9, 135–142. [Google Scholar] [CrossRef]
- Lahmiri, S.; Shmuel, A. Accurate classification of seizure and seizure-free intervals of intracranial EEG signals from epileptic patients. IEEE Trans. Instrum. Meas. 2018, 68, 791–796. [Google Scholar] [CrossRef]
- Jana, G.C.; Sharma, R.; Agrawal, A. A 1D-CNN-Spectrogram Based Approach for Seizure Detection from EEG Signal; Elsevier B.V.: Amsterdam, The Netherlands, 2020; Volume 167, pp. 403–412. [Google Scholar] [CrossRef]
- Acharya, U.R.; Oh, S.L.; Hagiwara, Y.; Tan, J.H.; Adeli, H. Deep convolutional neural network for the automated detection and diagnosis of seizure using EEG signals. Comput. Biol. Med. 2018, 100, 270–278. [Google Scholar] [CrossRef] [PubMed]
- Le, T.X.; Le, T.T.; Dinh, V.V.; Tran, Q.L.; Nguyen, L.T.; Nguyen, D.T. Deep learning for epileptic spike detection. VNU J. Sci. Comput. Sci. Commun. Eng. 2018, 33, 1–13. [Google Scholar]
- Manaswi, N.K. Rnn and lstm. In Deep Learning with Applications Using Python; Springer: Berlin/Heidelberg, Germany, 2018; pp. 115–126. [Google Scholar]
- Hochreiter, S.; Schmidhuber, J. Long short-term memory. Neural Comput. 1997, 9, 1735–1780. [Google Scholar] [CrossRef] [PubMed]
- Hussein, R.; Palangi, H.; Ward, R.K.; Wang, Z.J. Optimized deep neural network architecture for robust detection of epileptic seizures using EEG signals. Clin. Neurophysiol. 2019, 130, 25–37. [Google Scholar] [CrossRef] [PubMed]
- Andrzejak, R.G.; Lehnertz, K.; Mormann, F.; Rieke, C.; David, P.; Elger, C.E. Indications of nonlinear deterministic and finite-dimensional structures in time series of brain electrical activity: Dependence on recording region and brain state. Phys. Rev. E 2001, 64, 061907. [Google Scholar] [CrossRef] [PubMed]
- Bouaziz, B.; Chaari, L.; Batatia, H.; Quintero-Rincón, A. Epileptic seizure detection using a convolutional neural network. In Digital Health Approach for Predictive, Preventive, Personalised and Participatory Medicine; Springer: Berlin/Heidelberg, Germany, 2019; pp. 79–86. [Google Scholar]
- Choi, G.; Park, C.; Kim, J.; Cho, K.; Kim, T.J.; Bae, H.; Min, K.; Jung, K.Y.; Chong, J. A Novel Multi-scale 3D CNN with Deep Neural Network for Epileptic Seizure Detection. In Proceedings of the 2019 IEEE International Conference on Consumer Electronics (ICCE), Las Vegas, NV, USA, 11–13 January 2019; pp. 1–2. [Google Scholar] [CrossRef]
- Golmohammadi, M.; Ziyabari, S.; Shah, V.; Von Weltin, E.; Campbell, C.; Obeid, I.; Picone, J. Gated recurrent networks for seizure detection. In Proceedings of the 2017 IEEE Signal Processing in Medicine and Biology Symposium (SPMB), Philadelphia, PA, USA, 2 December 2017; pp. 1–5. [Google Scholar]
- Obeid, I.; Picone, J. The temple university hospital EEG data corpus. Front. Neurosci. 2016, 10, 196. [Google Scholar] [CrossRef]
- Graves, A.; Schmidhuber, J. Framewise phoneme classification with bidirectional LSTM networks. In Proceedings of the 2005 IEEE International Joint Conference on Neural Networks, Montreal, QC, Canada, 31 July–4 August 2005; Volume 4, pp. 2047–2052. [Google Scholar] [CrossRef]
- Golmohammadi, M.; Shah, V.; Obeid, I.; Picone, J. Deep Learning Approaches for Automated Seizure Detection from Scalp Electroencephalograms. In Signal Processing in Medicine and Biology: Emerging Trends in Research and Applications; Springer International Publishing: Cham, Switzerland, 2020; pp. 235–276. [Google Scholar] [CrossRef]
- Kingma, D.P.; Ba, J. Adam: A method for stochastic optimization. arXiv 2014, arXiv:1412.6980. [Google Scholar]
- Houta, S.; Bisgin, P.; Dulich, P. Machine learning methods for detection of Epileptic seizures with long-term wearable devices. In Proceedings of the Eleventh International Conference on eHealth, Telemedicine, and Social Medicine, Athens, Greece, 24–28 February 2019. [Google Scholar]
- He, H.; Garcia, E.A. Learning from Imbalanced Data. IEEE Trans. Knowl. Data Eng. 2009, 21, 1263–1284. [Google Scholar] [CrossRef]
- Devi, D.; Biswas, S.K.; Purkayastha, B. A Review on Solution to Class Imbalance Problem: Undersampling Approaches. In Proceedings of the 2020 International Conference on Computational Performance Evaluation (ComPE), Shillong, India, 2–4 July 2020; pp. 626–631. [Google Scholar] [CrossRef]
- Stone, M. Cross-validatory choice and assessment of statistical predictions. J. R. Stat. Soc. Ser. B (Methodol.) 1974, 36, 111–133. [Google Scholar] [CrossRef]
- Tibshirani, R.J.; Efron, B. An introduction to the bootstrap. Monogr. Stat. Appl. Probab. 1993, 57, 1–436. [Google Scholar]
- Semah, F.; Picot, M.C.; Adam, C.; Broglin, D.; Arzimanoglou, A.; Bazin, B.; Cavalcanti, D.; Baulac, M. Is the underlying cause of epilepsy a major prognostic factor for recurrence? Neurology 1998, 51, 1256–1262. [Google Scholar] [CrossRef]
- Maia, P.; Lopes, E.; Hartl, E.; Vollmar, C.; Noachtar, S.; Cunha, J.P.S. Multimodal Approach for Epileptic Seizure Detection in Epilepsy Monitoring Units; Springer: Berlin/Heidelberg, Germany, 2020; Volume 76, pp. 1093–1104. [Google Scholar] [CrossRef]
- Vandecasteele, K.; De Cooman, T.; Gu, Y.; Cleeren, E.; Claes, K.; Paesschen, W.V.; Huffel, S.V.; Hunyadi, B. Automated epileptic seizure detection based on wearable ECG and PPG in a hospital environment. Sensors 2017, 17, 2338. [Google Scholar] [CrossRef]
- Liu, Y.; Sivathamboo, S.; Goodin, P.; Bonnington, P.; Kwan, P.; Kuhlmann, L.; O’Brien, T.; Perucca, P.; Ge, Z. Epileptic Seizure Detection Using Convolutional Neural Network: A Multi-Biosignal study. In Proceedings of the Australasian Computer Science Week Multiconference, Melbourne, VIC, Australia, 4–6 February 2020; Association for Computing Machinery: New York, NY, USA, 2020. [Google Scholar] [CrossRef]








| Motor | Models | Channel Regions | Reference |
|---|---|---|---|
| motor m non-motor n both | CNN-LSTM mLSTM | B, T, C, A | , , |
| sLSTM | , , , |
| Training | Test | ||||||
|---|---|---|---|---|---|---|---|
| 42 Patients | 14 Patients | ||||||
| 8 h | 101 h | ||||||
| motor | non-motor | motor | non-motor | ||||
| 27 Patients | 15 Patients | 5 Patients | 9 Patients | ||||
| 5 h | 3 h | 60.5 h | 40.5 h | ||||
| ictal | inter | ictal | inter | ictal | inter | ictal | inter |
| 125 min | 186 min | 66 min | 99 min | 32 min | 60 h | 17 min | 40 h |
| Method | F1 Score | FAR/h | Sensitivity in % |
|---|---|---|---|
| Under-sampling | 0.144 | 9.9 | 68.0 |
| Over-sampling | 0.091 | 10.9 | 61.5 |
| Overlap | 0.073 | 22.8 | 70.8 |
| Noise addition | 0.064 | 26.2 | 70.0 |
Disclaimer/Publisher’s Note: The statements, opinions and data contained in all publications are solely those of the individual author(s) and contributor(s) and not of MDPI and/or the editor(s). MDPI and/or the editor(s) disclaim responsibility for any injury to people or property resulting from any ideas, methods, instructions or products referred to in the content. |
© 2025 by the authors. Licensee MDPI, Basel, Switzerland. This article is an open access article distributed under the terms and conditions of the Creative Commons Attribution (CC BY) license (https://creativecommons.org/licenses/by/4.0/).
Share and Cite
El-Dajani, N.; Wilhelm, T.F.L.; Baumann, J.; Surges, R.; Meyer, B.T. Patient-Independent Epileptic Seizure Detection with Reduced EEG Channels and Deep Recurrent Neural Networks. Information 2025, 16, 20. https://doi.org/10.3390/info16010020
El-Dajani N, Wilhelm TFL, Baumann J, Surges R, Meyer BT. Patient-Independent Epileptic Seizure Detection with Reduced EEG Channels and Deep Recurrent Neural Networks. Information. 2025; 16(1):20. https://doi.org/10.3390/info16010020
Chicago/Turabian StyleEl-Dajani, Nadine, Tim Friedrich Lutz Wilhelm, Jan Baumann, Rainer Surges, and Bernd T. Meyer. 2025. "Patient-Independent Epileptic Seizure Detection with Reduced EEG Channels and Deep Recurrent Neural Networks" Information 16, no. 1: 20. https://doi.org/10.3390/info16010020
APA StyleEl-Dajani, N., Wilhelm, T. F. L., Baumann, J., Surges, R., & Meyer, B. T. (2025). Patient-Independent Epileptic Seizure Detection with Reduced EEG Channels and Deep Recurrent Neural Networks. Information, 16(1), 20. https://doi.org/10.3390/info16010020

