Robust Mixed-Rate Region-of-Interest-Aware Video Compressive Sensing for Transmission Line Surveillance Video
Abstract
1. Introduction
- We propose a dual-scale video-frame compressive sensing method based on dilated convolution. When the size of the sampling matrix is fixed, dilated convolution is used to extract image features of different scales and achieve compressed sampling at both large and small scales, which helps to improve the quality of video frame reconstruction.
- We propose a memory-efficient video frame compressed sensing reconstruction algorithm. Compared with existing methods, the proposed compressed sensing reconstruction algorithm based on reversible neural network can be trained under limited memory.
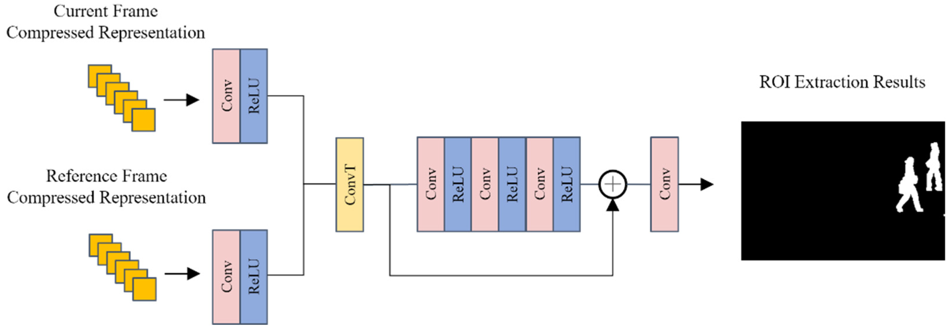
- We propose an ROI extraction method based on compressed representation, which can quickly extract an ROI area of the original image size on compressed representation under high noise level. Compared with existing methods, the proposed method more accurately extracts the ROI area, thus improving the compression sampling ratio.
2. Related Work
3. Proposed Method
3.1. Overview
3.2. Dual-Scale Compressive Sampling Based on Dilated Convolution
3.3. Video Frame Reconstruction Network Based on Reversible Neural Network
3.4. ROI Extraction Based on Compressive Sensing
3.5. Method Adaptation Across Multiple Scenarios
4. Results
4.1. Experiment Settings
4.2. Experiment Metrics
4.2.1. Reconstruction Quality
4.2.2. ROI Extraction Accuracy
4.3. Experiment Results
4.3.1. Video Frame Reconstruction Quality
4.3.2. Ablation Study of Proposed Dual-Scale Sampling
4.3.3. Changing Detection and Extraction on Compressed Representation
4.4. Experiment on Real Surveillance Video Dataset
4.5. Training Memory Consumption
5. Conclusions
Author Contributions
Funding
Institutional Review Board Statement
Informed Consent Statement
Data Availability Statement
Acknowledgments
Conflicts of Interest
References
- Candès, E.J.; Romberg, J.K.; Tao, T. Stable Signal Recovery from Incomplete and Inaccurate Measurements. Comm. Pure Appl. Math. 2006, 59, 1207–1223. [Google Scholar] [CrossRef]
- Iliadis, M.; Spinoulas, L.; Katsaggelos, A.K. DeepBinaryMask: Learning a Binary Mask for Video Compressive Sensing. Digit. Signal Process. 2020, 96, 102591. [Google Scholar] [CrossRef]
- Adler, A.; Elad, M.; Hel-Or, Y. Compressed Learning: A Deep Neural Network Approach. IEEE Trans. Signal Process. 2017, 65, 5687–5699. [Google Scholar]
- Iliadis, M.; Spinoulas, L.; Katsaggelos, A.K. Deep Fully-Connected Networks for Video Compressive Sensing. Digit. Signal Process. 2018, 72, 9–18. [Google Scholar] [CrossRef]
- Masci, J.; Meier, U.; Ciresan, D.; Schmidhuber, J. Stacked Convolutional Auto-Encoders for Hierarchical Feature Extraction. In Proceedings of the International Conference on Artificial Neural Networks, Espoo, Finland, 14–17 June 2011; Springer: Berlin/Heidelberg, Germany, 2011; pp. 52–59. [Google Scholar]
- Bora, A.; Jalal, A.; Price, E.; Dimakis, A.G. Compressed Sensing Using Generative Models. In Proceedings of the 34th International Conference on Machine Learning-Volume 70, Sydney, Australia, 6–11 August 2017; pp. 537–546. [Google Scholar]
- Dong, C.; Loy, C.C.; He, K.; Tang, X. Image Super-Resolution Using Deep Convolutional Networks. IEEE Trans. Pattern Anal. Mach. Intell. 2015, 38, 295–307. [Google Scholar] [CrossRef] [PubMed]
- Liu, D.; Wen, B.; Fan, Y.; Loy, C.C.; Huang, T.S. Non-Local Recurrent Network for Image Restoration. In Proceedings of the 32nd Conference on Neural Information Processing Systems (NeurIPS 2018), Montréal, ON, Canada, 2–8 December 2018; pp. 1673–1682. [Google Scholar]
- He, K.; Zhang, X.; Ren, S.; Sun, J. Deep Residual Learning for Image Recognition. In Proceedings of the IEEE Conference on Computer Vision and Pattern Recognition, Las Vegas, NV, USA, 27–30 June 2016; pp. 770–778. [Google Scholar]
- Yuan, X. Generalized Alternating Projection Based Total Variation Minimization for Compressive Sensing. In Proceedings of the IEEE International Conference on Image Processing (ICIP), Phoenix, AZ, USA, 25–28 September 2016; pp. 2539–2543. [Google Scholar]
- Yuan, X.; Liu, Y.; Suo, J.; Dai, Q. Plug-and-Play Algorithms for Large-Scale Snapshot Compressive Imaging. In Proceedings of the IEEE/CVF Conference on Computer Vision and Pattern Recognition (CVPR), Seattle, WA, USA, 13–19 June 2020; pp. 1444–1454. [Google Scholar]
- Cheng, Z.; Lu, R.; Wang, Z.; Zhang, H.; Chen, B.; Meng, Z.; Yuan, X. BIRNAT: Bidirectional Recurrent Neural Networks with Adversarial Training for Video Snapshot Compressive Imaging. In Proceedings of the European Conference on Computer Vision, Glasgow, UK, 23–28 August 2020; Springer: Cham, Switzerland, 2020; pp. 258–275. [Google Scholar]
- Z, W.; Zhang, J.; Mou, C. Dense Deep Unfolding Network with 3D-CNN Prior for Snapshot Compressive Imaging. In Proceedings of the IEEE/CVF International Conference on Computer Vision (ICCV), Montreal, QC, Canada, 10–17 October 2021; pp. 4872–4881. [Google Scholar]
- Wang, L.; Cao, M.; Zhong, Y.; Yuan, X. Spatial-Temporal Transformer for Video Snapshot Compressive Imaging. arXiv 2022, arXiv:2209.01578. [Google Scholar] [CrossRef] [PubMed]
- Zhao, C.; Ma, S.; Zhang, J.; Xiong, R.; Gao, W. Video Compressive Sensing Reconstruction via Reweighted Residual Sparsity. IEEE Trans. Circuits Syst. Video Technol. 2017, 27, 1182–1195. [Google Scholar] [CrossRef]
- Kulkarni, K.; Lohit, S.; Turaga, P.; Kerviche, R.; Ashok, A. ReconNet: Non-Iterative Reconstruction of Images from Compressively Sensed Measurements. In Proceedings of the IEEE Conference on Computer Vision and Pattern Recognition (CVPR), Las Vegas, NV, USA, 27–30 June 2016; pp. 449–458. [Google Scholar]
- Xie, X.; Wang, Y.; Shi, G.; Wang, C.; Du, J.; Han, X. Adaptive Measurement Network for CS Image Reconstruction. In Proceedings of the Computer Vision: Second CCF Chinese Conference, CCCV 2017, Tianjin, China, 11–14 October 2017; Proceedings, Part II. Springer: Singapore, 2017; pp. 407–417. [Google Scholar]
- Xu, K.; Ren, F. CSVideoNet: A Real-Time End-to-End Learning Framework for High-Frame-Rate Video Compressive Sensing. In Proceedings of the IEEE Winter Conference on Applications of Computer Vision (WACV), Lake Tahoe, NV, USA, 12–15 March 2018; pp. 1680–1688. [Google Scholar]
- Yang, F.; Jiang, H.; Shen, Z.; Deng, W.; Metaxas, D. Adaptive Low Rank and Sparse Decomposition of Video Using Compressive Sensing. In Proceedings of the IEEE International Conference on Image Processing, Melbourne, VIC, Australia, 15–18 September 2013; pp. 1016–1020. [Google Scholar]
- Wu, L.; Huang, K.; Shen, H.; Gao, L. Foreground-Background Parallel Compression with Residual Encoding for Surveillance Video. IEEE Trans. Circuits Syst. Video Technol. 2021, 31, 2711–2724. [Google Scholar] [CrossRef]
- Du, J.; Xie, X.; Shi, G. Multi-Rate Video Compressive Sensing for Fixed Scene Measurement. In Proceedings of the The 5th International Conference on Video and Image Processing, Hayward, CA, USA, 22–25 December 2021; ACM: New York, NY, USA, 2021; pp. 177–183. [Google Scholar]
- Gomez, A.N.; Ren, M.; Urtasun, R.; Grosse, R.B. The Reversible Residual Network: Backpropagation Without Storing Activations. In Proceedings of the 31st Conference on Neural Information Processing Systems (NIPS 2017), Long Beach, CA, USA, 4–9 December 2017; Volume 30. [Google Scholar]
- Jacobsen, J.H.; Smeulders, A.W.; Oyallon, E. i-revnet: Deep Invertible Networks. arXiv 2018, arXiv:1802.07088. [Google Scholar]
- Goyette, N.; Jodoin, P.-M.; Porikli, F.; Konrad, J.; Ishwar, P. Changedetection.net: A New Change Detection Benchmark Dataset. In Proceedings of the IEEE Computer Society Conference on Computer Vision and Pattern Recognition Workshops, Providence, RI, USA, 16–21 June 2012; pp. 1–8. [Google Scholar]
- Elgammal, A.; Harwood, D.; Davis, L. Non-Parametric Model for Background Subtraction. In Proceedings of the Computer Vision—ECCV 2000: 6th European Conference on Computer Vision, Dublin, Ireland, 26 June–1 July 2000; Proceedings, Part II. Springer: Berlin/Heidelberg, Germany, 2000; pp. 751–767. [Google Scholar]








| Measurement Rate | Module | Feature Maps | Kernel Size | Stride | Padding | Dilation Rate |
|---|---|---|---|---|---|---|
| Low | all | 12 | - | - | - | - |
| D-Conv | 6 | (16, 16) | (16, 16) | (8, 8) | 2 | |
| Conv | 6 | (16, 16) | (16, 16) | (16, 16) | 1 | |
| High | all | 120 | - | - | - | - |
| D-Conv | 60 | (16, 16) | (16, 16) | (8, 8) | 2 | |
| Conv | 60 | (16, 16) | (16, 16) | (16, 16) | 1 |
| Process | Layers | Input Size | Output Size |
|---|---|---|---|
| ConvT | 1 | (37, 45, 12) or (37, 45, 120) | (576, 704, 3) |
| ReLU&Conv | 1 | (576, 704, 3) | (576, 704, 64) |
| RevConv | 17 | (576, 704, 64) | (576, 704, 64) |
| ReLU&Conv | 2 | (576, 704, 64) | (576, 704, 3) |
| Process | Layers | Input Size | Output Size |
|---|---|---|---|
| Conv + ReLU | 1 | (37, 45, 12) | (37, 45, 12) |
| Concatenate | 1 | (37, 45, 12) + (37, 45, 12) | (37, 45, 24) |
| ConvT | 1 | (37, 45, 24) | (576, 704, 24) |
| Conv + ReLU | 3 | (576, 704, 3) | (576, 704, 24) |
| Conv | 1 | (576, 704, 24) | (576, 704, 2) |
| Method | PSNR | SSIM |
|---|---|---|
| SVD | 29.49 | 0.7463 |
| DCT | 20.45 | 0.5714 |
| ReconNet [16] | 18.61 | 0.4069 |
| MRVCS [21] | 33.04 | 0.9145 |
| D2VCS (ours) | 34.71 | 0.9320 |
| Method | PSNR | SSIM |
|---|---|---|
| SVD | 21.91 | 0.5628 |
| DCT | 17.65 | 0.5242 |
| ReconNet | 19.62 | 0.4160 |
| MRVCS | 25.22 | 0.6733 |
| D2VCS (ours) | 26.47 | 0.6839 |
| Method | Dual-Scale Sampling | PSNR | SSIM |
|---|---|---|---|
| MRVCS | × | 33.04 | 0.9145 |
| MRVCS | √ | 33.65 | 0.9158 |
| D2VCS (ours) | × | 34.71 | 0.9320 |
| D2VCS (ours) | √ | 35.06 | 0.9396 |
| Method | Dual-Scale Sampling | PSNR | SSIM |
|---|---|---|---|
| MRVCS | × | 25.22 | 0.6733 |
| MRVCS | √ | 25.68 | 0.6795 |
| D2VCS (ours) | × | 26.47 | 0.6839 |
| D2VCS (ours) | √ | 27.72 | 0.7034 |
| Method | Precision | Recall | F1-Score |
|---|---|---|---|
| MoG | 0.7079 | 0.6964 | 0.7021 |
| KDE | 0.6883 | 0.6434 | 0.6632 |
| MRVCS | 0.1816 | 0.9504 | 0.3041 |
| D2VCS | 0.9263 | 0.8881 | 0.9062 |
| Method | Precision | Recall | F1-Score |
|---|---|---|---|
| MoG | 0.1095 | 0.7717 | 0.1895 |
| KDE | 0.1670 | 0.6662 | 0.2624 |
| MRVCS | 0.1789 | 0.9518 | 0.3011 |
| D2VCS | 0.9192 | 0.8692 | 0.8925 |
| Method | Precision | Recall | F1-Score |
|---|---|---|---|
| MoG | 0.0588 | 0.7658 | 0.1084 |
| KDE | 0.0501 | 0.7308 | 0.0931 |
| MRVCS | 0.1816 | 0.9542 | 0.3044 |
| D2VCS | 0.8055 | 0.8403 | 0.8194 |
| Method | KDE | MoG | MRVCS | D2VCS |
|---|---|---|---|---|
| Time | 11.6 ms | 13.1 ms | 2.1 ms | 4.7 ms |
| Video | PSNR | SSIM | Predict MR (%) |
|---|---|---|---|
| CD.Net Pedestrian Dataset | 28.47 | 0.7239 | 1.7195 |
| Transmission line at night | 29.28 | 0.8689 | 2.1806 |
| Transmission line in rainy conditions | 28.34 | 0.7280 | 1.5244 |
| Transmission line in sunny conditions | 26.36 | 0.6525 | 1.5092 |
| Method | MRVCS | D2VCS (Ours) |
|---|---|---|
| Memory Consumption | 4832 MiB | 3968 MiB |
Disclaimer/Publisher’s Note: The statements, opinions and data contained in all publications are solely those of the individual author(s) and contributor(s) and not of MDPI and/or the editor(s). MDPI and/or the editor(s) disclaim responsibility for any injury to people or property resulting from any ideas, methods, instructions or products referred to in the content. |
© 2024 by the authors. Licensee MDPI, Basel, Switzerland. This article is an open access article distributed under the terms and conditions of the Creative Commons Attribution (CC BY) license (https://creativecommons.org/licenses/by/4.0/).
Share and Cite
Gao, L.; Ma, Z.; Han, S.; Zhao, T.; Liu, Q.; Fu, Z. Robust Mixed-Rate Region-of-Interest-Aware Video Compressive Sensing for Transmission Line Surveillance Video. Information 2024, 15, 555. https://doi.org/10.3390/info15090555
Gao L, Ma Z, Han S, Zhao T, Liu Q, Fu Z. Robust Mixed-Rate Region-of-Interest-Aware Video Compressive Sensing for Transmission Line Surveillance Video. Information. 2024; 15(9):555. https://doi.org/10.3390/info15090555
Chicago/Turabian StyleGao, Lisha, Zhoujun Ma, Shuo Han, Tiancheng Zhao, Qingcheng Liu, and Zhangjie Fu. 2024. "Robust Mixed-Rate Region-of-Interest-Aware Video Compressive Sensing for Transmission Line Surveillance Video" Information 15, no. 9: 555. https://doi.org/10.3390/info15090555
APA StyleGao, L., Ma, Z., Han, S., Zhao, T., Liu, Q., & Fu, Z. (2024). Robust Mixed-Rate Region-of-Interest-Aware Video Compressive Sensing for Transmission Line Surveillance Video. Information, 15(9), 555. https://doi.org/10.3390/info15090555

