Next Article in Journal
A Method for Maintaining a Unique Kurume Kasuri Pattern of Woven Textile Classified by EfficientNet by Means of LightGBM-Based Prediction of Misalignments
Previous Article in Journal
AI in the Financial Sector: The Line between Innovation, Regulation and Ethical Responsibility
 
 
Font Type:
Arial Georgia Verdana
Font Size:
Aa Aa Aa
Line Spacing:
Column Width:
Background:
Article

Dynamic Evolution Model of Internet Financial Public Opinion

1
School of Cyber Science and Engineering, Southeast University, Nanjing 211189, China
2
School of Economics and Management, Southeast University, Nanjing 211189, China
3
College of Finance, Nanjing Agricultural University, Nanjing 210095, China
*
Author to whom correspondence should be addressed.
Information 2024, 15(8), 433; https://doi.org/10.3390/info15080433
Submission received: 6 June 2024 / Revised: 4 July 2024 / Accepted: 23 July 2024 / Published: 25 July 2024

Abstract

In the context of global economic digitalization, financial information is highly susceptible to internet financial public opinion due to the overwhelming and misleading nature of information on internet platforms. This paper delves into the core entities in the diffusion process of internet financial public opinions, including financial institutions, governments, media, and investors, and models the behavioral characteristics of these entities in the diffusion process. On this basis, we comprehensively use the multi-agent model and the SIR model to construct a dynamic evolution model of internet financial public opinion. We conduct a simulation analysis of the impact effects and interaction mechanisms of multi-agent behaviors in the financial market on the evolution of internet financial public opinion. The research results are as follows. Firstly, the financial institutions’ digitalization levels, government guidance, and the media authority positively promote the diffusion of internet financial public opinion. Secondly, the improvement of investors’ financial literacy can inhibit the diffusion of internet financial public opinion. Thirdly, under the interaction of multi-agent behaviors in the financial market, the effects of financial institutions’ digitalization level and investors’ financial literacy are more significant, while the effects of government guidance and media authority tend to converge.

1. Introduction

In the current context of an increasingly digitalized global economy, the internet has become a critical driving force for economic and social development. With the continuous recovery and steady development of China’s economy, the internet plays an irreplaceable role in promoting new industrialization and fostering new productivity. According to the 53rd “Statistical Report on China’s Internet Development”, as of December 2023, the number of internet users in China has reached 1.092 billion, an increase of 24.8 million compared to the same period last year, with an internet penetration rate of 77.5%. Meanwhile, the number of mobile internet users has increased to 1.091 billion, with 99.9% of them using mobile devices to access the internet. This data indicates that the internet is gradually replacing traditional media as the primary channel for the public to obtain information. However, the convenience of information dissemination also comes with potential risks. The pervasive and misleading nature of information can lead to public misunderstanding and overreaction to significant social events [1]. The anonymity and immediacy of internet broadcast enables information to spread rapidly; once unverified negative information is widely disseminated, it can easily create uncontrollable internet public opinion, causing unnecessary social panic [2]. Therefore, in-depth research on the formation mechanisms, dissemination paths, and impact effects of internet public opinion is crucial for effectively managing and guiding public opinion and maintaining social stability.
In modern society, dynamic research on internet public opinion is particularly critical for understanding and responding to social events. Current research primarily focuses on public health, emergency events, political decision-making, and corporate bankruptcy. For instance, Liu et al. developed a multi-stage internet public opinion risk grading model during the COVID-19 pandemic by analyzing over 2000 text data, revealing the trend of public opinion risk levels over time [3]. Huang et al. used social network analysis methods to study the dissemination and emotional evolution of internet public opinion in public emergency events, emphasizing the importance of effectively obtaining and guiding public opinion for social development [4]. Kim et al. employed deep learning techniques to analyze online public opinion in South Korea’s political environment [5]. By comparing traditional opinion polls and online sentiment analysis based on Twitter data, they revealed the independence and influence of internet public opinion in political decision-making. Jagodnik et al. examined social media data to study the internet attention and memory persistence before and after U.S. companies filed for Chapter 11 bankruptcy, finding that internet public opinion’s attention and memory patterns are influenced by the dynamics of event development [6]. Although existing literature covers various types of social events, research on internet financial public opinion is relatively scarce.
Facing this gap, instances of internet financial public opinion formed through a series of macroeconomic policies have further emphasized the importance of current research on internet financial public opinion in China’s financial market. Firstly, at the Central Economic Work Conference in December 2023, the importance of improving national financial literacy was highlighted. The government, by enhancing the coordination of macroeconomic policies and strengthening economic publicity through a series of authoritative media reports, aimed to improve the public’s understanding and perception of economic policies, thereby promoting the stable and healthy development of the financial market [7]. Secondly, the China Securities Regulatory Commission (CSRC) issued the “Regulations on the Management of Securities Transaction Fees for Publicly Offered Securities Investment Funds” in January 2024, emphasizing the optimization of transaction fee structures to reduce investors’ trading costs. This policy led to significant signs of recovery in the Chinese stock market, with the Shanghai Composite Index rising by 6.6% since the beginning of 2024, indicating a trend from decline to steady recovery. Lastly, China’s State Council issued “Several Opinions on Optimizing the Policy Environment for Equity Investments by Insurance Funds” in April 2024, pointing out that encouraging long-term equity investments would attract more medium-term and long-term funds to the market. After the implementation of this policy, the investment targets of insurance funds became more diversified, covering bank deposits, bonds, stocks, real estate, and financial derivatives. Moreover, more funds were invested in the real economy, enhancing market stability and long-term growth potential [8].
In today’s financial market, the impact of internet public opinion on the stock market, option market, and future market is gaining increasing attention. Audrino et al. used sentiment classification techniques and found that domestic investor sentiment and attention variables have additional predictive power for actual stock market volatility even after controlling for economic and financial predictor variables [9]. International investor sentiment also has significant predictive power for future returns in the Chinese stock market, particularly in extreme market conditions where negative sentiment from international investors has a more pronounced impact on stock returns [10]. Yang et al. demonstrated that fluctuations in stock sentiment led to synchronous movements in options prices, and both stock sentiment and expected options sentiment cause options prices to deviate from rational prices [11]. Additionally, investor sentiment significantly affects the pricing dynamics between the spot and futures markets. Lin et al. found that in high-sentiment market periods, even traders with informational advantages are reluctant to engage in arbitrage in the futures market, reducing the role of the futures market in price discovery [12]. In the crude oil futures market, Gong and Lin incorporated the Investor Fear Gauge (IFG) into a Heterogeneous Autoregressive (HAR) model and found that the IFG significantly improves the forecasting performance for crude oil futures volatility [13]. However, despite existing studies revealing the impact of internet public opinion on various financial markets, the literature on the specific diffusion process and dynamic evolution mechanisms of internet financial public opinion remains very limited.
Scholars have utilized the infectious disease model (SIR) to investigate the propagation of internet public opinion, as demonstrated by the works of Geng et al. [14], Li et al. [15], and Chen and Fan [16]. These studies predominantly focus on the influence and dynamic evolution of a single entity, such as media, on internet public sentiment. However, there remains a gap in the literature concerning the integration of multi-agent models with infectious disease models to holistically assess the impact and dynamic evolution of multiple stakeholders, including financial institutions, governments, media, and investors, on internet financial public opinion. This study aims to address this gap by modeling the behavioral characteristics of diverse entities—financial institutions, governments, media, and investors—during the dissemination of internet financial public opinion. By synergistically applying multi-agent models and the SIR infectious disease model, we develop a dynamic evolution model for internet financial public sentiment. Our simulation analyses elucidate the impact and interaction mechanisms of multi-agent behavior within the financial market on the evolution of internet financial public opinion.
The primary contributions of this paper are twofold. Firstly, we introduce a dynamic evolution model of internet financial public sentiment that amalgamates multi-agent models with the dynamics of infectious diseases. This model facilitates an in-depth analysis of the behavior of various entities within the financial market and unveils the intricate interplay of these behaviors under diverse market conditions, influencing the trajectory of public sentiment. Through simulation analyses, this research illustrates how financial institutions, governments, media, and investors generate and respond to public opinion in an online environment, consequently impacting market stability and policy efficacy. Secondly, this paper offers a novel perspective on the complex dynamics of the financial market in the digital age, particularly within a highly digitized and information-rich context. Our findings not only advance the comprehension of the mechanisms governing public opinion but also provide actionable strategic insights for policymakers and market regulators. These insights are crucial for the effective management and utilization of internet public opinion to sustain the stability and robust development of financial markets.
The structure of the paper is arranged as follows. The second part discusses the mechanism of the dynamic evolution of internet financial public opinion, analyzing its intrinsic mechanisms and transmission rules. The third part covers the network diffusion model of the dynamic evolution of internet financial public opinion, including model construction and model analysis. The fourth part examines the network topology characteristics of the dynamic evolution of internet financial public opinion. The fifth part presents simulation experiment analysis, including parameter settings, single-factor impact effect analysis, and multi-factor interaction effect analysis. The sixth part conducts robustness analysis by changing parameter settings. The seventh part concludes the paper and proposes policy recommendations.

2. The Mechanism of the Dynamic Evolution of Internet Financial Public Opinion

2.1. The Intrinsic Mechanism of the Dynamic Evolution of Internet Financial Public Opinion

Internet financial public opinion, as a significant form of information exchange in the financial market, profoundly impacts market stability and investor behavior. In recent years, academia has begun to focus on the dynamic evolution patterns of internet financial public opinion, especially by analogizing it to the spread and evolution mechanisms of infectious diseases, aiming to gain deeper insights into its impact mechanisms.

2.1.1. Sources of Public Opinion Diffusion

The sources of internet financial public opinion diffusion typically include, but are not limited to, market dynamics, policy changes, macroeconomic data, corporate news, and industry reports, all of which spread rapidly in cyberspace. The speed and scope of this information dissemination are significantly influenced by the characteristics of internet technology, particularly the rise of social media platforms, which have greatly accelerated the flow and diffusion range of information. Moreover, this information carries specific emotional tones, such as optimism, panic, trust, or skepticism, which propagate among financial market participants and influence their decision-making behavior. For instance, optimistic information may encourage investors to increase their investments, while panic-driven information might lead to rapid market selloffs [17]. Additionally, the transmission characteristics of this information and its associated emotions resemble biological pathogens in terms of invasiveness and infectivity. Invasiveness is reflected in the way information can quickly penetrate investors’ decision-making processes, affecting their psychology and behavior. Infectivity is demonstrated by the rapid spread of information and emotions among individuals, leading to collective market reactions. Therefore, in the infectious disease model of internet financial public opinion, research on the sources of public opinion diffusion not only involves the content and nature of information but also includes the dynamics of information dissemination, the extent of its influence, and its impact on financial market behavior. This requires a comprehensive analysis from the perspectives of information dissemination theory, behavioral finance, and network science to understand and predict the dynamic changes in financial markets under internet conditions more accurately.

2.1.2. Pathways of Public Opinion Dissemination

When exploring the pathways of internet financial public opinion dissemination, the role of social media and various online platforms cannot be overlooked. These platforms, due to their unique information dissemination mechanisms and vast user base, have become the primary channels for the rapid spread of financial information [18]. Firstly, the efficient information dissemination capability of social media and online platforms stems from their technical architecture and algorithmic design. These platforms, through personalized recommendation systems, real-time update mechanisms, and user-friendly interfaces, significantly lower the barriers to publishing and obtaining information. Users can receive a large amount of information related to the financial market in a very short time, including real-time news, analysis reports, and expert comments. Secondly, these platforms have a broad user base. Users from different backgrounds and interests gather on these platforms, forming diverse networks for receiving and disseminating information. This diversity not only promotes the rapid spread of information but also intensifies the varied interpretations and emotional responses, leading to complex impacts on the financial market [19]. Furthermore, user interaction behaviors such as sharing, commenting, and liking are key factors that accelerate information dissemination. These behaviors not only increase the visibility of information but also enhance its influence. For example, negative news about a listed company, after being widely shared and commented on, may quickly trigger negative market expectations for the company’s stock price, thereby affecting its performance. Moreover, the information dissemination on social media and online platforms exhibits significant group dynamics. The dissemination process on these platforms is often accompanied by the formation of group opinions and the amplification of emotions. These group dynamics have profound impacts on the financial market, affecting not only individual investors’ decisions but also potentially triggering collective market behaviors such as herd behavior or panic selling. Therefore, understanding and analyzing the role of social media and online platforms in the diffusion of internet financial public opinion is crucial for predicting and managing market volatility. This requires not only focusing on the content and quality of information but also paying attention to the dissemination pathways, speed, and social network structures, and how these factors influence the psychology and behavior of market participants.

2.1.3. The Process of Public Opinion Diffusion

In the diffusion stage of internet financial public opinion dissemination, the reception and internalization of information are crucial [20]. This stage involves how market participants interpret, process, and ultimately internalize the financial information they receive through internet platforms. This process is not merely a mechanical reception of information but a complex psychological and cognitive activity that includes various elements from psychology and behavioral finance. Firstly, the cognitive framework of individuals plays a central role in this process. The cognitive framework refers to the way individuals understand and interpret the world, which determines how they interpret the information received. This framework is usually influenced by an individual’s educational background, cultural environment, personal values, and past experiences. Therefore, even when faced with the same information, different individuals may have vastly different interpretations and reactions. Secondly, emotional states significantly impact the reception and internalization of information. Emotions can influence an individual’s attention allocation, speed of information processing, and the tendency of information interpretation. For example, under the influence of panic or excessive optimism, investors may develop biases in their risk and opportunity assessments, leading to irrational decisions [21]. Furthermore, past experiences also play an important role in information internalization. An individual’s historical experiences, especially those related to the financial market, affect how they interpret and react to new information. For instance, investors who have experienced market crashes may be more sensitive to negative market information. In this process, cognitive biases cannot be ignored. Cognitive biases refer to systematic errors in information processing. These biases, such as confirmation bias (the tendency to accept information that aligns with one’s beliefs) and availability heuristic (over-reliance on recent or prominent information), affect investors’ objective evaluation of information. Lastly, group behavior plays a critical role in the reception and internalization of information. On social media and online platforms, individuals are often influenced by the opinions and behaviors of others, which can lead to herd behavior or group polarization, further amplifying market volatility. In summary, the reception and internalization of information is a complex psychological and cognitive process involving individual cognitive frameworks, emotional states, past experiences, cognitive biases, and group behavior. Understanding this process is crucial for the in-depth analysis of the impact and dynamics of internet financial public opinion.

2.1.4. Immunity Mechanisms of Public Opinion

In the diffusion of internet financial public opinion, immunity mechanisms play a crucial role [22]. These mechanisms operate at both market and individual levels, aiming to identify, filter, and resist false or harmful information, thereby maintaining the health of the information ecosystem and preventing the disorderly spread of misinformation. The key aspects of these immunity mechanisms are as follows. Firstly, critical thinking is an essential immunity mechanism at the individual level. It involves independent thinking, logical analysis, and critical evaluation of received information. Through critical thinking, individuals can identify and question potentially misleading or inaccurate information, thereby avoiding blind following or overreaction. Secondly, fact-checking is the process of verifying the authenticity of information. This can be done by professional fact-checking agencies or through individuals cross-verifying information from multiple sources. Fact-checking helps uncover and correct false or misleading information and is a key link in maintaining information accuracy. Thirdly, official information released by government institutions, regulatory institutions, and other authoritative institutions is usually regarded as reliable. Information, guidelines, or warnings issued by these institutions can help market participants better understand the current market situation, reducing dependence on inaccurate or misleading information. Fourthly, enhancing public financial literacy and media literacy is a long-term immunity strategy. Through education and training, individuals can better understand the operating mechanisms of the financial market and improve their ability to identify and process complex information. Fifthly, with technological advancements, various software and applications have been developed to help identify and filter false or harmful information. For instance, some social media platforms use algorithms to flag or remove false information, while certain browser extensions can warn users of potentially unreliable websites [23]. Sixthly, social media platforms play a significant role in maintaining the health of the information ecosystem. By formulating and implementing relevant policies, such as information review mechanisms and user behavior guidelines, these platforms can reduce the spread of false or harmful information. In conclusion, the effective operation of these immunity mechanisms is crucial for preventing the disorderly diffusion of false or harmful information in the financial market. They not only help protect individual investors but also play an important role in maintaining the stability and health of the entire financial market.

2.1.5. Public Opinion Outbreak and Control

In the absence of effective immunity mechanisms, the rapid spread of negative information can indeed lead to a public opinion crisis akin to an epidemic outbreak. In such scenarios, the volatility of public opinion increases, potentially resulting in profound and complex impacts on the stability of financial markets and the behavior of participants. In this context, effective public opinion management and control strategies become particularly crucial [24]. The following are some key strategies and measures. Firstly, timely dissemination of accurate and transparent information is essential during a public opinion crisis. Government institutions, regulatory institutions and corporations should respond swiftly, providing comprehensive and accurate information to reduce market uncertainty and panic. Secondly, strengthening fact-checking efforts and timely rumor refutation are key to controlling the spread of negative public opinion. This includes monitoring and identifying false or misleading information and releasing verified information through official channels. Thirdly, as social media is the main channel for public opinion diffusion, effective communication on these platforms is crucial. This includes issuing official statements, participating in online conversations, and utilizing influencers to help spread accurate information. Fourthly, in the long term, enhancing public financial literacy is key to preventing public opinion crises. Through education and training, the public can better understand financial markets and improve their ability to identify and process complex information. Fifthly, corporations and institutions should establish contingency plans for public opinion crises, including crisis communication plans and emergency response teams. This helps ensure swift and orderly action during crises. Sixthly, continuous monitoring and analysis of public opinion dynamics can help institutions stay informed about developments and adjust response strategies accordingly. Seventhly, cross-departmental and cross-institutional cooperation is crucial in handling public opinion crises. This includes collaboration with government institutions, media organizations, and financial practitioners to jointly stabilize market sentiment. By implementing these strategies and measures, public opinion crises can be effectively managed and controlled, mitigating their negative impact on financial market stability and participant behavior [25]. However, it is important to note that public opinion management is a dynamic and complex process requiring flexible responses and constant adjustment of strategies to adapt to evolving situations.

2.2. Transmission Rules of the Dynamic Evolution of Internet Financial Public Opinion

Recent advancements in research have significantly contributed to the understanding of the propagation rules governing the dynamic evolution of internet financial public opinion. For instance, Hasib et al. [26] leveraged deep learning techniques to analyze social media data for predicting stock market volatility, whereas Seo et al. [27] utilized natural language processing to extract sentiment indicators from news articles to forecast market trends. Moreover, interdisciplinary research such as that by Hassanein et al. [28] integrated psychological and economic theories to examine the dissemination of investor sentiment via social media and its subsequent market impact. In addition, the application of dynamic evolution rules akin to the SIR model to financial public opinion has illustrated the potential of simulating information dissemination processes to comprehend and anticipate market dynamics. These developments have not only enhanced prediction accuracy but also broadened the scope of data sources and analytical methodologies. In our study, we extend these insights by adopting the classical SIR infectious disease model to devise a set of dynamic evolution rules tailored to internet financial public opinion. These rules will help better understand and predict the spread and changes of public opinion in the network. Firstly, leveraging the concepts from the classic SIR epidemic model, such as Susceptible individuals (those not yet infected), Infective individuals (those infected and capable of spreading the disease), and Recovered individuals (those who have recovered from the infection and gained immunity), this paper interprets related concepts involved in the dynamic evolution of internet financial public opinion. These include sources of public opinion diffusion, rational netizens, emotional netizens, critical netizens, public opinion diffusion rate, and public opinion immunity rate, as shown in Table 1. Through these rules, this paper aims to construct a theoretical framework capable of simulating and analyzing the dynamic evolution process of internet financial public opinion.
The diffusion sources of public opinion are the starting points of internet financial information, which can be news media, professional blogs, opinion leaders on social media, and so forth. These sources play a decisive role in the formation and spread of public opinion. The credibility, authority, and influence of the diffusion sources directly affect the efficiency and breadth of information dissemination. Rational netizens refer to those who are exposed to internet financial public opinion but have not yet begun to spread it, while emotional netizens are those who are influenced by public opinion and start disseminating information. The behavior of emotional netizens further expands the influence of public opinion as they share, comment on, or forward related information through social networks, forums, blogs, and other channels. Critical netizens are individuals who are exposed to information but remain unaffected by it and do not participate in spreading it. These netizens may have a sufficient understanding of internet finance, hold a skeptical attitude towards the information sources, or lack interest in the topic. Critical netizens can slow down the spread and scope of public opinion to a certain extent. The public opinion diffusion rate refers to the proportion of netizens influenced by public opinion among rational netizens. The level of this proportion depends on the attractiveness and relevance of the information, as well as the psychological state of the netizens exposed to it. On the other hand, the public opinion immunity rate refers to the proportion of netizens not influenced by public opinion among rational netizens, reflecting the overall societal resistance to that public opinion. In this model, the spread of public opinion can be seen as a dynamic process. Initially, the diffusion source releases internet financial-related information, followed by more and more rational netizens turning into emotional netizens, causing the rapid spread of internet financial public opinion. Over time, some netizens may turn into critical netizens, slowing down the spread of public opinion, and eventually, the process reaches a balance. The evolution of internet financial public opinion is also influenced by other factors such as the digitalization level of financial institutions [29], the effects of government guidance [30], media authority [22], and the financial literacy of investors [31].
Specifically, the information dissemination capability of financial institutions is positively correlated with their level of digitalization. Highly digitalized financial institutions can utilize advanced technological means, such as big data analytics, social media platforms, and mobile applications, to enhance the efficiency and breadth of information dissemination. This capability allows these institutions to spread information favorable rapidly and widely to themselves, thereby influencing public opinion and public perception to some extent. The effects of government guidance in the internet finance sector significantly impact public trust. Government policy orientation, regulatory measures, and positive market guidance and publicity are key factors shaping public awareness of internet finance. Effective policies and regulations can not only ensure market stability and user safety but also increase public trust and acceptance of the industry. Additionally, authoritative media play an important role in shaping public opinion about internet finance. As authoritative media are generally considered more reliable and objective, their reporting attitudes and angles often significantly influence public views and understanding. Therefore, the reporting methods and content choices of authoritative media have a crucial impact on forming positive or negative public opinions about internet finance. At the investor level, the degree of financial literacy is a key factor affecting their ability to judge and process information. Investors with low financial literacy are more likely to be influenced by emotional public opinion and become infective netizens, whereas investors with high financial literacy can analyze and judge information more rationally and objectively, making them less susceptible to unsubstantiated public opinion or rumors. Thus, the level of financial literacy among investors directly impacts the pathways of public opinion dissemination and the stability of public sentiment. In financial markets, information and public opinion have a direct impact on market stability. False or misleading information can lead to market volatility or panic selling. Therefore, understanding how public opinion affects market sentiment and investor behavior is crucial for maintaining market stability. In summary, the dynamic evolution of internet financial public opinion is a complex process involving various factors and participants. Understanding this process is essential for effectively managing and guiding public opinion, reducing negative impacts, maintaining market stability, and promoting the healthy development of the internet finance industry. Based on the above analytical framework and referring to the existing studies by [32,33], this paper sets the diffusion and dynamic evolution of internet financial public opinion among rational netizens (S), emotional netizens (I), and critical netizens (R), and follows the dynamic evolution rules illustrated in Figure 1.
  • Infection Process (SI): Assume that after the outbreak of internet financial public opinion, under the influence of the aforementioned factors, rational netizens (S) are likely to become emotional netizens (I) at a certain probability.
  • Immunity Process (IR): Assume that under the influence of the aforementioned factors, emotional netizens (I) are likely to become critical netizens (R) at a certain probability.
  • Direct Immunity Process (SR): Assume that under the influence of the aforementioned factors, rational netizens (S) are likely to directly become critical netizens (R) at a certain probability.
  • Dynamic Evolution Process: In each time period, new netizens may come into contact with internet financial public opinion (entry rate l ), while some netizens stop paying attention to this public opinion (exit rate φ ), reflecting the dynamic changes of financial public opinion information contacts in the internet environment.

3. Internet Financial Public Opinion Dynamic Evolution Network Diffusion Model

3.1. Model Construction

To develop a dynamic evolution model for internet financial public opinion, we meticulously established behavioral assumptions for financial institutions, the government, media, and investors, grounded in current economic theories and behavioral finance research [34,35,36,37]. Firstly, we postulate that financial institutions strive to maximize their profits by actively integrating digital tools to enhance service efficiency and customer satisfaction. Moreover, these institutions prioritize the accuracy and transparency of information during dissemination to uphold their market reputation. Secondly, we assume that the government prioritizes financial market stability, regulating information flow through policies and interventions, particularly during periods of market turbulence, to curb the spread of misinformation and prevent market manipulation. Thirdly, media entities are assumed to pursue a wide audience base and high credibility. While disseminating financial information, they emphasize both speed and accuracy; however, their content may be influenced by political or economic interests, potentially leading to biased or filtered information. Fourthly, the assumption regarding investor behavior is based on bounded rationality. Despite striving to make optimal investment decisions, investors are constrained by their information processing capabilities and emotional influences. We further posit that investor behavior is significantly impacted by their level of financial literacy, with more literate investors being more adept at processing complex information. Additionally, we assume H is the total number of netizens involved in the evolution process. s , i and r represent the proportions of rational netizens, emotional netizens, and critical netizens, respectively, such that s = S H , i = I H , r = R H , and s + i + r = 1   ( 0 s ,   i ,   r 1 ) . We also assume that at t time, the density of emotional netizens with degree k is i k ( t ) , and the probability of rational netizens connecting with emotional netizens is Θ ( t ) .
Given that market information can significantly impact individual behavior, we refer to the information diffusion model used in studies by [32,33]. Incorporating various factors influenced by the government in the dynamic evolution of internet financial public opinion, including financial institutions’ digitalization level [29], government guidance [30], and investors’ financial literacy [31], we define α as follows:
α = J ( 1 e Z F )
where J represents the financial institutions’ digitalization level ( 0 < J 1 ) , Z represents government guidance ( 0 < Z 1 ) , and F represents investors’ financial literacy ( 0 < F 1 ) .
Similarly, incorporating factors influenced by media, including financial institutions’ digitalization level [29], media authority [22], and investors’ financial literacy [31], we define ε as follows:
ε = J ( 1 e M F )
where J represents the financial institutions’ digitalization level ( 0 < J 1 ) , M represents media authority ( 0 < M 1 ) , and F represents investors’ financial literacy ( 0 < F 1 ) .
According to the mean-field theory [38] and the assumptions mentioned above, the differential equations of the dynamic evolution model of internet financial public opinion considering these influencing factors are as follows:
d s k ( t ) d t = l k α ε s k ( t ) Θ ( t ) β δ s k ( t ) d i k ( t ) d t = k α ε s k ( t ) Θ ( t ) μ δ i k ( t ) d r k ( t ) d t = μ δ i k ( t ) + β δ s k ( t ) φ r k ( t ) s k ( t ) + i k ( t ) + r k ( t ) = 1

3.2. Model Analysis

From the differential Equation (3), after setting the steady-state condition d i k ( t ) d t = 0 , the steady-state values i k ( t ) are as follows:
i k ( t ) = k α ε s k ( t ) Θ ( t ) μ δ = k l α ε Θ ( t ) β δ μ δ + k α ε μ δ Θ ( t )
Expressing the average density of emotional netizens as i = k P ( k ) i k ( t ) , from Equation (4), we obtain Θ ( t ) as follows:
Θ ( t ) = k k P ( k ) i k ( t ) s s P ( s ) = 1 k k k P ( k ) i k ( t )
where k represents the average degree of the network.
Since k = k k P ( k ) and k 2 = k k 2 P ( k ) , from Equations (4) and (5), we have the following:
Θ ( t ) = 1 k k k P ( k ) k l α ε Θ ( t ) β δ μ δ + k α ε μ δ Θ ( t )
Let Θ = Θ ( t ) ; Equation (6) has a trivial solution Θ = 0 . For a non-trivial solution Θ 0 , the necessary condition is as follows:
d d Θ 1 k k k P ( k ) k l α ε Θ β δ μ δ + k α ε μ δ Θ | Θ = 0 1
1 k k k P ( k ) k l α ε β δ μ δ 1
Thus, the basic reproduction number for the dynamic evolution of internet financial public opinion is as follows:
R 0 = l k k 2 P ( k ) α ε β δ μ δ k k P ( k ) = J l ( 2 e Z F e M F ) k k 2 P ( k ) β δ μ δ k k P ( k )
where R 0 represents the average number of rational netizens influenced by an emotional netizen before they turn into critical netizens, capturing the diffusion probability of internet financial public opinion. To obtain the basic reproduction number from Equation (9), we further need the degree distribution function P ( k ) of the network of the dynamic evolution of internet financial public opinion.
Building on the information diffusion model, this study further integrates critical factors influencing the dynamic evolution of internet financial public opinion. These factors include the digitalization level of financial institutions, the degree of government regulation, the authority of the media, and the financial literacy of investors. The strength of this comprehensive framework lies in its holistic approach and policy-oriented adaptability, enabling a profound reflection of market dynamics and the long-term effects of pertinent government policies. Nevertheless, the model’s complexity presents significant implementation challenges and relies heavily on precise data inputs. Moreover, the model’s focus on government regulation may introduce biases when analyzing the market’s natural behaviors, highlighting the need for ongoing adjustments and optimization in real-world applications.

4. Network Topology Characteristics of the Dynamic Evolution Network of Internet Financial Public Opinion

In the dynamic evolution network of internet financial public opinion, nodes represent netizens participating in the evolution process, and edges represent the relationships formed through the diffusion of internet financial public opinion among netizens. Referring to the studies by [32,33], the construction process of the internet financial public opinion dynamic network is described as follows.
At time t 0 , there are h 0 emotional netizens (disseminators of internet financial public opinion) and n 0 edges ( h 0 > 0 , n 0 > 0 ) .
In each time interval t i ( i = 1 , 2 , 3 ) , h rational netizens (receivers of internet financial public opinion) are added to the network, with each new netizen having w edges ( h > 0 , w > 0 ) .
In the absence of external environmental influences, new rational netizens randomly connect to existing emotional netizens (disseminators of internet financial public opinion) with probability p or preferentially connect with probability ( 1 p ) ( 0 p 1 ) . Considering external environmental influences, the random connection probability is given by the following:
p * = p F 2 J ( Z M ) 1 2
In the random connection process, the probability of any existing netizen i being selected is 1 h 0 + h t ; in the preferential connection process, the probability is i ( 0 i 1 ) :
i = k i j k j
where k i represents the degree of existing netizen i .
Based on the above algorithm, the rate of change of the degree k i of netizen i can be expressed as follows:
k i t = h w p * h 0 + h t + ( 1 p * ) h w i = h w p * h 0 + h t + ( 1 p * ) h w k i j k j
Given that j k j = 2 ( h w t + n 0 ) , Equation (12) can be transformed into the following:
k i t = h w p * h 0 + h t + ( 1 p * ) h w k i 2 ( h w t + n 0 )
When t , h t + h 0 h t , h w t + n 0 h w t . In addition, from the original conditions k j ( t j ) = h w , the solution to Equation (13) is as follows:
k i = ( h w + 2 w p * 1 p * ) ( t t i ) 1 p * 2 2 w p * 1 p *
Assuming that in each identical time interval, netizens enter the network, the probability density of node being selected at t i time is as follows:
P i = 1 h t + h 0
When k i < k , the probability density of node P ( k i ( t ) < k ) is given by the following:
P ( k i ( t ) < k ) = P ( t i > t [ k ( 1 p * ) + 2 w p * h w ( 1 p * ) + 2 w p * ] 2 1 p * ) = 1 P ( t i t [ k ( 1 p * ) + 2 w p * h w ( 1 p * ) + 2 w p * ] 2 1 p * )
Combining Equations (15) and (16), we obtain the following:
P ( k i ( t ) < k ) = 1 t h 0 + h t [ k ( 1 p * ) + 2 w p * h w ( 1 p * ) + 2 w p * ] 2 1 p *
and
lim t P ( k i ( t ) < k ) 1 1 h [ k ( 1 p * ) + 2 w p * h w ( 1 p * ) + 2 w p * ] 2 1 p *
From Equation (18), the degree distribution function of the dynamic evolution network of internet financial public opinion is as follows:
P ( k ) = P ( k i ( t ) < k ) k = 2 h [ h w ( 1 p * ) + 2 w p * ] [ k ( 1 p * ) + 2 w p * h w ( 1 p * ) + 2 w p * ] p * 3 1 p *
Substituting Equation (19) into Equation (9), we obtain the following:
R 0 = J l ( 2 e Z F e M F ) k k 2 P ( k ) β δ μ δ k k P ( k ) J l ( 2 e Z F e M F ) h w k 2 [ k ( 1 p * ) + 2 w p * ] p * 3 1 p * d k β δ μ δ h w k [ k ( 1 p * ) + 2 w p * ] p * 3 1 p * d k J l w ( 2 e Z F e M F ) [ h 2 ( h 2 4 h ) p F 2 J ( Z M ) 1 2 ( h 2 + 8 h 4 ) p 2 F 2 J ( Z M ) 1 2 + ( h 2 + 4 h 8 ) p 3 F 2 J ( Z M ) 1 2 + 4 p 4 F 2 J ( Z M ) 1 2 ] 2 β δ μ δ [ h p F 2 J ( Z M ) 1 2 + ( 1 2 h ) p 2 F 2 J ( Z M ) 1 2 + ( h 2 ) p 3 F 2 J ( Z M ) 1 2 + p 4 F 2 J ( Z M ) 1 2 ]
Using Equation (20), we can further analyze the impact of financial institutions’ digitalization level ( J ), government guidance ( Z ), media authority ( M ), and investors’ financial literacy ( F ) on the basic reproduction number ( R 0 ).

5. Simulation Experiment Analysis

5.1. Parameter Settings

This study adopts the core concepts and methodologies of infectious disease models to thoroughly explore the dynamic evolution process of internet financial public opinion. In constructing the model, we particularly focus on the initial population distribution, transmission rate, transition rate, basic reproduction number, and network structure. These parameters are crucial for understanding and predicting the spread and evolution of public opinion. The dynamic evolution network of internet financial public opinion is characterized by both randomness and preferential connection. This endogenous network property introduces uncertainty and selectivity in the spread of public opinion, thereby demanding higher precision and applicability of the model. Therefore, in constructing our model, we adopt a series of baseline parameter values to simulate and analyze the dynamic evolution process of public opinion more accurately. Establishing a reasonable initial population distribution is crucial for simulating the initial state of public opinion and its potential propagation dynamics. The selection of appropriate transmission and conversion rates is pivotal in determining the speed and efficiency with which public opinion spreads from one group to another. Setting an appropriate basic reproduction number is essential for evaluating the potential scope and speed of information dissemination within the public opinion model. Additionally, choosing suitable network structure parameters enables a more realistic simulation of public opinion spread in real-world networks. Based on these considerations, this study draws on the existing research of Chen et al. [32] and Kröger and Schlickeiser [33] to adopt a series of benchmark parameter values. These values are chosen based on a synthesis of theoretical research and empirical observations, aiming to achieve a more accurate simulation and analysis of the dynamic evolution of public opinion. Table 2 details these baseline parameter values. In subsequent sections, we will use these parameters to conduct simulation experiments to verify the model’s effectiveness and applicability.

5.2. Single Factor Impact Analysis

This section focuses on analyzing the impact of the level of financial institutions’ digitalization ( J ), government guidance ( Z ), media authority ( M ), and investors’ financial literacy ( F ) on the diffusion of internet financial public opinion, as measured by the basic reproduction number R 0 . The corresponding impact mechanisms are shown in Figure 2. Figure 2a reveals the impact of the digitalization level of financial institutions ( J ) on the diffusion of internet financial public opinion. Figure 2b illustrates the impact of government guidance ( Z ) on the diffusion of internet financial public opinion. Figure 2c shows the impact of media authority ( M ) on the diffusion of internet financial public opinion. Figure 2d demonstrates the impact of investors’ financial literacy ( F ) on the diffusion of internet financial public opinion. In these figures, the horizontal axes represent the levels of financial institutions’ digitalization ( J ), government guidance ( Z ), media authority ( M ), and investors’ financial literacy ( F ), with a range of (0, 1). The vertical axis represents the basic reproduction number R 0 , indicating the probability of internet financial public opinion diffusion.
As shown in Figure 2a, as the level of financial institutions’ digitalization ( J ) gradually increases, the basic reproduction number R 0 exhibits a clear monotonic increasing trend. This indicates that the level of digitalization of financial institutions is positively correlated with the probability of internet financial public opinion diffusion. Financial institutions with higher levels of digitalization typically possess broader coverage across social media and online platforms, facilitating the rapid dissemination of financial information and opinions to a wider audience. This observation aligns with the conclusions drawn by Aloulou et al. [34]. These institutions can more accurately identify and predict market trends through data analysis, thereby disseminating influential information at critical moments. As digital services increase, user engagement with financial institutions also grows. Users’ feedback and dissemination of financial information through social media and online platforms further enhance the diffusion effect of information. Overall, this trend reflects the significant impact of digitalization on the diffusion power of financial institutions’ public opinion. It also suggests that financial institutions need to prioritize public opinion management and information security during their digital transformation to ensure the positive effects of information dissemination and prevent potential negative impacts. Additionally, this shows that financial institutions can enhance interaction and influence with customers by increasing their digitalization level, thus gaining a competitive advantage in an increasingly competitive financial market.
As depicted in Figure 2b, as the extent of government guidance ( Z ) increases, the basic reproduction number R 0 exhibits a marginally decreasing upward trend. When the extent of government guidance ( Z ) exceeds 0.6, R 0 tends to stabilize. This indicates that the extent of government guidance is positively correlated with the probability of internet financial public opinion diffusion but with diminishing marginal returns. This is consistent with the perspectives of D’Andrea and Limodio [35]. The initial increase in government guidance is often accompanied by enhanced financial regulation, increased information disclosure requirements, and higher market entry barriers. These measures can effectively reduce bad information and misleading statements in the market, thereby increasing the probability of public opinion dissemination but at a slower growth rate. Once the government guidance reaches a certain level (0.6 in this case), the regulatory system is relatively well-established, and the information dissemination and processing mechanisms are more mature, making the spread of information more controlled and limiting the range of public opinion fluctuations. Therefore, even if the government continues to strengthen control, the probability of public opinion dissemination does not significantly increase. When the extent of government guidance remains high, market participants gradually adapt to the new regulatory environment. Financial institutions and investors place greater emphasis on compliance and the authenticity of information, resulting in internet financial public opinion that more accurately reflects the real state of the market rather than baseless speculation or manipulation. Additionally, the enhancement of government guidance is crucial for preventing financial risks, maintaining market order, and protecting investors’ rights. However, excessive guidance may also limit market competition and the free flow of information. Therefore, finding an appropriate balance that effectively regulates the financial market while ensuring its vitality and innovation is an important consideration for the government in financial regulation.
As revealed in Figure 2c, as media authority ( M ) increases, the basic reproduction number R 0 exhibits a marginally decreasing upward trend, and when media authority ( M ) exceeds 0.6, R 0 tends to stabilize. This finding also suggests that the media authority demonstrates a marginally diminishing increase in the probability of internet financial public opinion dissemination. This aligns with the conclusions of Bennett and Seyis [36]. At lower levels of media authority, as authority increases, the information disseminated by the media is more accepted and trusted by the public, thus increasing the speed and scope of information dissemination. Authoritative media usually have higher accuracy and credibility, making their financial information more likely to be widely disseminated. When media authority reaches a certain level (0.6 in this case), the market’s reaction to media reports becomes relatively mature and stable. At this point, further enhancement of media authority has diminishing returns in terms of dissemination capability, as the market already heavily relies on and trusts these authoritative media reports. As media authority increases, the quality and depth of reports generally improve. This means that information is not only widely disseminated but also more detailed and comprehensive, helping the audience better understand and analyze financial market dynamics. Highly authoritative media usually have a greater sense of responsibility for the content they disseminate, paying more attention to factual accuracy and fairness in reporting. This helps prevent the spread of false or misleading information and maintains financial market stability. In summary, the enhancement of media authority is a double-edged sword for the diffusion of financial information. On one hand, it ensures the accuracy and reliability of information, thereby promoting healthy public opinion formation; on the other hand, media must be careful to avoid becoming a single source of information to maintain the diversity and dynamic balance of market information. For financial market participants, understanding and correctly utilizing information from authoritative media is key to gaining market insights and making informed decisions.
As demonstrated in Figure 2d, as investors’ financial literacy ( F ) increases, the basic reproduction number R 0 exhibits an initially marginally increasing downward trend followed by a marginally decreasing downward trend. When investors’ financial literacy ( F ) exceeds 0.8, R 0 tends to stabilize. This indicates that investors’ financial literacy is negatively correlated with the probability of internet financial public opinion diffusion but with initially increasing and then decreasing marginal returns. In the early stages of low financial literacy, as financial knowledge and understanding gradually increase, investors become more actively involved in discussing and disseminating financial information. This increased participation promotes information dissemination to some extent, but as financial literacy improves, investors also become more cautious in processing information, leading to a marginally increasing downward trend in the spread rate. As financial literacy further increases, investors become more rational and precise in evaluating and disseminating financial information. They can more effectively identify inaccurate or misleading information and avoid spreading it. Thus, at higher stages of financial literacy, although information continues to spread, the dissemination speed of inaccurate or non-substantial information significantly slows down, resulting in a marginally decreasing downward trend in R 0 . When investors’ financial literacy reaches a high level (exceeding 0.8), the processing and dissemination of information in the market become more efficient and rational. At this point, the spread of public opinion is effectively controlled, and R 0 tends to stabilize. This trend indicates that investors’ financial literacy has a significant impact on the spread of financial market information and the formation of public opinion. This is consistent with the perspectives of Wang et al. [37]. As financial literacy improves, market participants become more rational and efficient in handling and disseminating information, helping to reduce the spread of misleading or inaccurate information and promoting the stability and healthy development of the financial market.

5.3. Multi-Factor Interaction Effect Analysis

In the previous section, we primarily examined the individual impacts of financial institutions’ digitalization ( J ), government guidance ( Z ), media authority ( M ), and investors’ financial literacy ( F ) on the diffusion of internet financial public opinion, as measured by the basic reproduction number R 0 . This section further analyzes the interaction effects of these factors. The multi-factor interaction effect analysis emphasizes that in considering the dynamics of the financial market, no single factor can be viewed in isolation. The digitalization process of financial institutions, government regulatory policies, the quality of media reporting, and the financial literacy of investors all interact, collectively shaping the market’s public opinion environment and stability. Understanding these complex interactions is crucial for formulating effective policies and guiding healthy market development.
Firstly, we analyze the interaction effects of investors’ financial literacy ( F ) and government guidance ( Z ) on the diffusion of internet financial public opinion. As depicted in Figure 3, this three-dimensional plot illustrates the interaction effects of investors’ financial literacy ( F ) and government guidance ( Z ) on the diffusion of internet financial public opinion. The x represents investors’ financial literacy ( F ), the y represents government guidance ( Z ), and the z represents the probability of internet financial public opinion diffusion, depicted by the basic reproduction number R 0 . From Figure 3, we observe that under the combined effect of investors’ financial literacy ( F ) and government guidance ( Z ), the probability of internet financial public opinion diffusion exhibits a marginally increasing decline followed by a marginally decreasing decline. When examining the trends along the horizontal and vertical axes, it is evident that the impact of investors’ financial literacy ( F ) is more significant compared to government guidance ( Z ).
This pattern suggests that at lower levels of financial literacy, as financial knowledge and understanding increase, investors become more actively involved in discussing and disseminating financial information. This increased participation promotes information dissemination to some extent, but as financial literacy improves, investors also become more cautious in processing information, leading to a marginally increasing downward trend in the spread rate. As financial literacy further increases, investors become more rational and precise in evaluating and disseminating financial information. They can more effectively identify inaccurate or misleading information and avoid spreading it. Thus, at higher stages of financial literacy, although information continues to spread, the dissemination speed of inaccurate or non-substantial information significantly slows down, resulting in a marginally decreasing downward trend in R 0 . When investors’ financial literacy reaches a high level (exceeding 0.8), the processing and dissemination of information in the market become more efficient and rational. At this point, the spread of public opinion is effectively controlled, and R 0 tends to stabilize. Government guidance plays a critical role in regulating information quality and preventing the spread of misleading information. Throughout the process of improving investors’ financial literacy, appropriate government guidance can further promote the healthy flow of market information. Government regulatory policies and measures should be combined with efforts to enhance public financial literacy to achieve optimal market regulation. In summary, the enhancement of investors’ financial literacy plays a more significant role throughout the process. As financial literacy increases, investors’ understanding and processing abilities improve, helping to reduce market overreactions and increase overall market efficiency and stability. Appropriate government guidance provides the necessary regulation and guidance to ensure healthy and orderly information dissemination.
Secondly, we analyze the interaction effects of investors’ financial literacy ( F ) and media authority ( M ) on the diffusion of internet financial public opinion. As illustrated in Figure 4, this three-dimensional plot illustrates the interaction effects of investors’ financial literacy ( F ) and media authority ( M ) on the diffusion of internet financial public opinion. The x represents investors’ financial literacy ( F ), the y represents media authority ( M ), and the z represents the probability of internet financial public opinion diffusion, depicted by the basic reproduction number R 0 . From Figure 4, we observe that under the combined effect of investors’ financial literacy ( F ) and media authority ( M ), the probability of internet financial public opinion diffusion exhibits a marginally increasing decline followed by a marginally decreasing decline. When examining the trends along the horizontal and vertical axes, it is evident that the impact of investors’ financial literacy ( F ) is more significant compared to media authority ( M ).
This pattern suggests that at lower levels of financial literacy, as financial knowledge and understanding increase, investors become more actively involved in discussing and disseminating financial information. This increased participation promotes information dissemination to some extent, but as financial literacy improves, investors also become more cautious in processing information, leading to a marginally increasing downward trend in the spread rate. As financial literacy further increases, investors become more rational and precise in evaluating and disseminating financial information. They can more effectively identify inaccurate or misleading information and avoid spreading it. Thus, at higher stages of financial literacy, although information continues to spread, the dissemination speed of inaccurate or non-substantial information significantly slows down, resulting in a marginally decreasing downward trend in R 0 . When investors’ financial literacy reaches a high level (exceeding 0.8), the processing and dissemination of information in the market become more efficient and rational. At this point, the spread of public opinion is effectively controlled, and R 0 tends to stabilize. Authoritative media usually provide more accurate and reliable financial information, which is crucial for guiding public understanding and response. The enhancement of media authority to a certain extent relies on the public’s financial literacy level. Investors with high financial literacy are better able to recognize authoritative media information, thereby enhancing the media’s influence. In summary, the enhancement of investors’ financial literacy plays a core role in this process. It not only directly affects how investors process and disseminate financial information but also influences their acceptance of media information. At the same time, the improvement of media authority helps to enhance the quality and dissemination effect of information, further promoting market stability and healthy development.
Thirdly, we analyze the interaction effects of investors’ financial literacy ( F ) and financial institutions’ digitalization level ( J ) on the diffusion of internet financial public opinion. As revealed in Figure 5, this three-dimensional plot illustrates the interaction effects of investors’ financial literacy ( F ) and financial institutions’ digitalization level ( J ) on the diffusion of internet financial public opinion. The x represents investors’ financial literacy ( F ), the y represents financial institutions’ digitalization level ( J ), and the z represents the probability of internet financial public opinion diffusion, depicted by the basic reproduction number R 0 . From Figure 5, we observe that under the combined effect of investors’ financial literacy ( F ) and financial institutions’ digitalization level ( J ), the probability of internet financial public opinion diffusion exhibits a convex pattern, first increasing and then decreasing. When examining the trends along the horizontal and vertical axes, it is evident that the impact of financial institutions’ digitalization level ( J ) is more significant compared to investors’ financial literacy ( F ).
This pattern suggests that when the digitalization level of financial institutions is low, their information dissemination capability is limited. As the digitalization level increases, financial institutions can more effectively use digital technologies to disseminate information, including through social media, websites, and other digital platforms. This enhances the speed and scope of financial information dissemination, leading to an increase in the probability of public opinion dissemination. When the digitalization level of financial institutions reaches a high degree, they are usually equipped with more advanced information management and analysis tools. This helps in more accurately targeting information dissemination, reducing ineffective and excessive information dissemination. Therefore, at higher levels of digitalization, the efficiency of public opinion dissemination may decrease, leading to a decline in the probability of dissemination. The improvement of investors’ financial literacy helps them better understand and analyze financial information, reducing the spread of misleading information. Investors’ financial literacy interacts with the digitalization level of financial institutions. High-literacy investors may more effectively utilize digital financial services and tools, thereby influencing the way and extent of information dissemination. In summary, the digitalization level of financial institutions plays a more significant role, especially in the early stages of information dissemination. As the digitalization level of financial institutions increases, information dissemination becomes faster and more widespread. However, in a highly digitalized environment, information dissemination becomes more precise and effective, reducing unnecessary public opinion fluctuations.
Fourthly, we analyze the interaction effects of government guidance ( Z ) and media authority ( M ) on the diffusion of internet financial public opinion. As illustrated in Figure 6, this three-dimensional plot illustrates the interaction effects of government guidance ( Z ) and media authority (M) on the diffusion of internet financial public opinion. The x represents government guidance ( Z ), the y represents media authority ( M ), and the z represents the probability of internet financial public opinion diffusion, depicted by the basic reproduction number R 0 . From Figure 6, we observe that under the combined effect of government guidance ( Z ) and media authority ( M ), the probability of internet financial public opinion diffusion exhibits a marginally decreasing upward trend. When examining the trends along the horizontal and vertical axes, it is evident that the impact of government guidance ( Z ) and media authority ( M ) tend to converge.
This pattern suggests that the enhancement of government guidance usually means stricter regulation and guidance of the financial market. This regulation may include norms for financial information disclosure, crackdowns on market manipulation, and enhanced investor protection. Government policies and actions can influence how financial information is disseminated, particularly through official communications via media and public channels. The enhancement of media authority typically brings higher quality and more credible information dissemination. Authoritative media can provide in-depth, accurate financial analysis, helping to shape public understanding of the financial market. Media play a crucial role in interpreting and disseminating government policies. High-authority media may be more effective in explaining government financial policies, influencing public perception and response to these policies. In summary, the marginally decreasing upward trend shown in Figure 6 indicates that under the combined effect of government guidance and media authority, the probability of internet financial public opinion diffusion initially increases with the enhancement of both factors. This converging impact effect suggests that government regulatory strategies and media authority play complementary roles in financial information diffusion. Effective government guidance combined with authoritative media information dissemination jointly promotes healthy circulation and the public understanding of financial market information.
Fifthly, we analyze the interaction effects of government guidance ( Z ) and financial institutions’ digitalization level ( J ) on the diffusion of internet financial public opinion. As described in Figure 7, this three-dimensional plot illustrates the interaction effects of government guidance ( Z ) and financial institutions’ digitalization level ( J ) on the diffusion of internet financial public opinion. The x represents government guidance ( Z ), the y represents financial institutions’ digitalization level ( J ), and the z represents the probability of internet financial public opinion diffusion, depicted by the basic reproduction number R 0 . From Figure 7, we observe that under the combined effect of government guidance ( Z ) and financial institutions’ digitalization level ( J ), the probability of internet financial public opinion diffusion exhibits a clear monotonic increasing trend. When examining the trends along the horizontal and vertical axes, it is evident that the impact of financial institutions’ digitalization level ( J ) is more significant.
This pattern suggests that as the digitalization level of financial institutions increases, their information dissemination capability is enhanced. This includes the broader use of social media, more effective online services, and more advanced data analysis and processing capabilities. These factors collectively increase the speed and scope of financial information diffusion, leading to an increase in the probability of public opinion dissemination. Highly digitalized financial institutions can respond to market changes more quickly and effectively conduct information release and updates, further promoting the rapid spread of public opinion. The strengthening of government guidance usually means tighter regulation of the financial market, including the review and control of financial information. This may influence information dissemination to some extent. Government policies can affect the digitalization strategies of financial institutions, including emphasizing security and compliance in the digitalization process, which also indirectly affects information dissemination and public opinion formation. In summary, the monotonic increasing trend shown in Figure 7 indicates that under the combined effect of government guidance and financial institutions’ digitalization level, the probability of internet financial public opinion diffusion continues to increase. In this context, the digitalization level of financial institutions plays a more significant role, especially in information dissemination and public opinion formation. As financial institutions continuously enhance their digitalization capabilities, information dissemination becomes faster and more widespread, leading to an overall increase in the probability of public opinion dissemination. This trend emphasizes the crucial role of financial institutions’ digitalization process in financial information diffusion and management and the impact of the digital environment on government policy formulation.
Finally, we analyze the interaction effects of media authority ( M ) and financial institutions’ digitalization level ( J ) on the diffusion of internet financial public opinion. As revealed in Figure 8, this three-dimensional plot illustrates the interaction effects of media authority ( M ) and financial institutions’ digitalization level ( J ) on the diffusion of internet financial public opinion. The x represents media authority ( M ), the y represents financial institutions’ digitalization level ( J ), and the z-axis represents the probability of internet financial public opinion diffusion, depicted by the basic reproduction number R 0 . From Figure 8, we observe that under the combined effect of media authority ( M ) and financial institutions’ digitalization level ( J ), the probability of internet financial public opinion diffusion exhibits a clear monotonic increasing trend. When examining the trends along the horizontal and vertical axes, it is evident that the impact of financial institutions’ digitalization level ( J ) is more significant.
This pattern suggests that as the digitalization level of financial institutions increases, they can more effectively use technological means to disseminate information. This includes information release and interaction through social media, mobile applications, and online platforms, thereby accelerating and expanding the scope of financial information diffusion. Highly digitalized financial institutions can utilize advanced data analysis tools to identify and predict market trends and customize targeted information, enhancing the precision and effectiveness of information dissemination. Authoritative media, due to their accuracy and reliability, typically play an important role in financial information diffusion. Their reports on the financial market usually have high influence and can guide public opinion and market trends. The interaction between media authority and financial institutions’ digitalization level jointly influences the efficiency of information dissemination. Highly digitalized financial institutions are more likely to release important information through authoritative media channels, leveraging the media’s influence to enhance the effect of information dissemination. In summary, the monotonic increasing trend demonstrated in Figure 8 reflects that under the combined effect of media authority and financial institutions’ digitalization level, the ability of financial information to spread on the internet gradually increases. Although media authority has an important impact on information dissemination, the digitalization level of financial institutions plays a more critical role in this process. As financial institutions further enhance their digitalization capabilities, the speed and breadth of financial information diffusion are significantly improved, which is crucial for forming broad market consensus and understanding.

6. Robustness Analysis

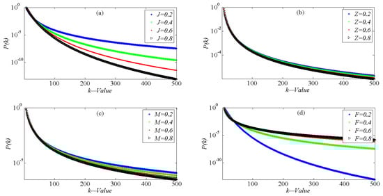
This section conducts a robustness analysis of the network topology of the dynamic evolution of internet financial public opinion. To separately analyze the effects of financial institutions’ digitalization level ( J ), government guidance ( Z ), media authority ( M ), and investors’ financial literacy ( F ) on the network topology of the dynamic evolution of internet financial public opinion, we plot the function graphs of the degree distribution of the network under these factors at different levels. The graphs are depicted in Figure 9a–d. The horizontal axis represents the degree of network nodes, while the vertical axis represents the degree distribution of the network nodes.
From Figure 9a, we can see that the degree distribution of the network under the influence of financial institutions’ digitalization levels at 0.2, 0.4, 0.6, and 0.8 exhibits a marginally decreasing trend. As the digitalization level increases, the degree distribution of the network significantly decreases, leading to a dispersion effect in the network structure. This indicates that as the digitalization level of financial institutions improves, the channels for information dissemination become more diverse and widespread, resulting in a more decentralized information spread that is not concentrated in a few nodes.
From Figure 9b, we can see that the degree distribution of the network under the influence of government guidance levels at 0.2, 0.4, 0.6, and 0.8 also reveals a marginally decreasing trend. However, the variation in government guidance does not significantly affect the degree distribution of the network, resulting in a clustering effect in the network structure. The increase in government guidance, despite showing a marginally decreasing trend, does not significantly impact the degree distribution. This could be because government regulation and guidance tend to centralize information in specific official or officially recognized channels, leading to a clustering effect in the network structure.
From Figure 9c, we can see that the degree distribution of the network under the influence of media authority levels at 0.2, 0.4, 0.6, and 0.8 demonstrates a marginally decreasing trend. Similar to the impact of government guidance, the variation in media authority does not significantly affect the degree distribution of the network, resulting in a clustering effect. As media authority increases, the information may become more centralized around authoritative media, leading to a clustering effect in the network structure.
From Figure 9d, we can see that the degree distribution of the network under the influence of investors’ financial literacy levels at 0.2, 0.4, 0.6, and 0.8 presents a marginally decreasing trend. As investors’ financial literacy increases, the degree distribution significantly increases, leading to a dispersion effect in the network structure. Higher financial literacy enables investors to participate more widely and deeply in financial information discussions and diffusion, resulting in a more decentralized information spread.
In summary, the effects of financial institutions’ digitalization level ( J ), government guidance ( Z ), media authority ( M ), and investors’ financial literacy ( F ) on the network topology of the dynamic evolution of internet financial public opinion all exhibit a marginally decreasing trend in degree distribution, indicating a certain degree of network structure robustness. This robustness reflects the ability of the financial information diffusion network to adapt to changes in different factors while maintaining structural stability. Moreover, changes in financial institutions’ digitalization level ( J ) and investors’ financial literacy ( F ) lead to a dispersion effect in the network structure, while changes in government guidance ( Z ) and media authority ( M ) lead to a clustering effect.
With the increasing digitalization of financial institutions, the application of information technology enables financial information to disseminate rapidly and broadly. This swift propagation not only enhances the accessibility of market information but also empowers investors to acquire information from diverse sources, thereby diminishing the influence of any single information source. Concurrently, the improvement in investors’ financial literacy enables them to better comprehend and process this information, further facilitating its decentralized dissemination. In such an environment, the network structure of public opinion formation tends to become decentralized. The multiplicity of information sources and the enhanced information-processing capabilities of investors reinforce the independence of nodes within the network, reducing reliance on single, highly influential nodes (such as major media outlets or authoritative institutions). Enhanced government regulation, particularly in highly sensitive financial market environments, can control the flow and processing of information through policy instruments and direct interventions. This often leads to the concentration and dissemination of information through government-designated media or channels. Moreover, the influence of authoritative media strengthens the centralized dissemination of information, especially during periods of high market uncertainty, when investors are more likely to rely on these perceived credible sources. Due to the regulation of information flow and the centralized dissemination by authoritative media, the dynamic evolution network structure of internet financial public opinion tends to form clusters. In this structure, information dissemination is primarily concentrated among a few key nodes that play central roles in opinion formation and influence transmission.
In conclusion, the digitalization of financial institutions and the improvement in investors’ financial literacy promote the decentralized dissemination of financial information within the network, whereas government regulation and media authority enhance its centralized dissemination. The interaction of these two trends delineates the dynamic network structure of internet financial public opinion, which is crucial for understanding and managing the evolution of financial market sentiments. This understanding not only aids in the stable operation of financial markets but also provides strategic guidance for policymakers and market participants in addressing potential market disruptions.

7. Summary

This paper delves into the core entities involved in the diffusion of internet financial public opinion, including financial institutions, governments, media, and investors. We model the behavioral characteristics of these entities in the context of internet financial public opinion diffusion and analyze the dynamic evolution mechanisms of such public opinion. By integrating a multi-agent model and the SIR model, we construct a dynamic evolution model of internet financial public opinion and conduct simulation analyses on the impact effects and interaction mechanisms of multi-agent behaviors in the financial market. In summary, this paper integrates multiple factors such as technological progress, government policies, media influence, and public financial literacy to provide a comprehensive framework for analyzing and understanding the dynamics and diffusion mechanisms of internet financial public opinion. By understanding how these multidimensional factors interact to shape the formation and evolution of financial public opinion, decision-makers and market participants can more effectively manage and guide the dynamics of financial market public opinion. Overall, this paper applies the traditional SIR model to the financial domain, providing a powerful analytical tool for understanding the complex dynamics of financial public opinion, with significant practical implications for the stability and healthy development of financial markets.
Although current research on the dynamic evolution of internet financial public opinion offers valuable insights for understanding and predicting the dissemination of financial sentiments, it also presents certain limitations that may affect its broad applicability and in-depth analysis. Firstly, these studies often depend on publicly available data, which might not comprehensively cover financial transactions or investor behaviors. The constraints in data accuracy and timeliness can further affect the reliability of the findings. Secondly, to simulate financial public opinion networks, researchers typically simplify complex realities by employing models based on assumptions such as rational market behavior or uniform information dissemination. These simplifications and assumptions may constrain the practical applicability of the research.
To advance the understanding of the dynamic evolution of internet financial public opinion, future research should expand in two primary directions. Firstly, it should integrate empirical data to validate theoretical models, employing case studies or historical data from financial markets to enhance the credibility and practical relevance of the findings. Secondly, it should explore the potential risks and negative impacts associated with digitalization and financial literacy, such as misinformation and market manipulation, to support a more comprehensive and balanced perspective. These expanded research efforts can not only highlight the limitations of current studies but also provide more practical guidance for financial market decision-makers, assisting them in navigating the new challenges posed by the digital era.

Author Contributions

Conceptualization, C.Y., J.H. and Q.M.; Methodology, C.Y., J.H. and Q.M.; Validation, C.Y. and Q.M.; Data curation, C.Y. and Q.M.; Writing—original draft, C.Y., Q.M. and X.L.; Writing—review and editing, C.Y., Q.M. and X.L.; Supervision, J.H. and Q.M. All authors have read and agreed to the published version of the manuscript.

Funding

The authors are grateful for the Post Doctoral Science Foundation of China (2022M711649) and the the Humanities and Social Sciences Fund Project for Basic Scientific Research Business Expenses of Central Universities (SKYC2021021).

Institutional Review Board Statement

Not applicable.

Informed Consent Statement

Not applicable.

Data Availability Statement

Data are available on request from the authors.

Conflicts of Interest

The authors have no relevant financial or non-financial interests to disclose.

References

  1. Smith, T.C.; Reiss, D.R. Digging the rabbit hole, COVID-19 edition: Anti-vaccine themes and the discourse around COVID-19. Microbes Infect. 2020, 22, 608–610. [Google Scholar] [CrossRef] [PubMed]
  2. Lelisho, M.E.; Pandey, D.; Alemu, B.D.; Pandey, B.K.; Tareke, S.A. The negative impact of social media during COVID-19 pandemic. Trends Psychol. 2023, 31, 123–142. [Google Scholar] [CrossRef]
  3. Liu, J.; Liu, L.; Tu, Y.; Li, S.; Li, Z. Multi-stage Internet public opinion risk grading analysis of public health emergencies: An empirical study on Microblog in COVID-19. Inf. Process. Manag. 2022, 59, 102796. [Google Scholar] [CrossRef] [PubMed]
  4. Huang, W.; Wang, Q.; Cao, J. Tracing public opinion propagation and emotional evolution based on public emergencies in social networks. Int. J. Comput. Commun. Control 2018, 13, 129–142. [Google Scholar]
  5. Kim, D.; Chung, C.J.; Eom, K. Measuring online public opinion for decision making: Application of deep learning on political context. Sustainability 2022, 14, 4113. [Google Scholar] [CrossRef]
  6. Jagodnik, K.M.; Dekel, S.; Bartal, A. Persistence of collective memory of corporate bankruptcy events discussed on X (Twitter) is influenced by pre-bankruptcy public attention. Sci. Rep. 2024, 14, 6552. [Google Scholar] [CrossRef] [PubMed]
  7. Zou, J.; Deng, X. Financial literacy, housing value and household financial market participation: Evidence from urban China. China Econ. Rev. 2019, 55, 52–66. [Google Scholar] [CrossRef]
  8. Song, Z.; Xiong, W. Risks in China’s financial system. Annu. Rev. Financ. Econ. 2018, 10, 261–286. [Google Scholar] [CrossRef]
  9. Audrino, F.; Sigrist, F.; Ballinari, D. The impact of sentiment and attention measures on stock market volatility. Int. J. Forecast. 2020, 36, 334–357. [Google Scholar] [CrossRef]
  10. Li, Z.; Wang, S.; Hu, M. International investor sentiment and stock returns: Evidence from China. Invest. Anal. J. 2021, 50, 60–76. [Google Scholar]
  11. Yang, C.; Gao, B.; Yang, J. Option pricing model with sentiment. Rev. Deriv. Res. 2016, 19, 147–164. [Google Scholar] [CrossRef]
  12. Lin, C.B.; Chou, R.K.; Wang, G.H.K. Investor sentiment and price discovery: Evidence from the pricing dynamics between the futures and spot markets. J. Bank. Financ. 2018, 90, 17–31. [Google Scholar] [CrossRef]
  13. Gong, X.; Lin, B. The incremental information content of investor fear gauge for volatility forecasting in the crude oil futures market. Energy Econ. 2018, 74, 370–386. [Google Scholar] [CrossRef]
  14. Geng, L.; Yang, S.; Wang, K.; Zhou, Q.; Geng, L. Modeling public opinion dissemination in a multilayer network with SEIR model based on real social networks. Eng. Appl. Artif. Intell. 2023, 125, 106719. [Google Scholar] [CrossRef]
  15. Li, Q.; Du, Y.J.; Li, Z.Y.; Hu, J.; Hu, R.; Lv, B.; Jia, P. HK–SEIR model of public opinion evolution based on communication factors. Eng. Appl. Artif. Intell. 2021, 100, 104192. [Google Scholar] [CrossRef]
  16. Chen, N.; Fan, H. Credit risk contagion and optimal dual control—An SIS/R model. Math. Comput. Simul. 2023, 210, 448–472. [Google Scholar] [CrossRef]
  17. Nareswari, N.; Balqista, A.S.; Negoro, N.P. The impact of behavioral aspects on investment decision making. J. Manaj. Dan Keuang. 2021, 10, 15–27. [Google Scholar] [CrossRef]
  18. Hoeft, F. Internal combustion engine to electric vehicle retrofitting: Potential customer’s needs, public perception and business model implications. Transp. Res. Interdiscip. Perspect. 2021, 9, 100330. [Google Scholar] [CrossRef]
  19. O’Donnell, N.; Shannon, D.; Sheehan, B. The impact of monetary policy interventions on banking sector stocks: An empirical investigation of the COVID-19 crisis. Financ. Innov. 2024, 10, 44. [Google Scholar] [CrossRef]
  20. Chen, L.; Chen, J.; Xia, C. Social network behavior and public opinion manipulation. J. Inf. Secur. Appl. 2022, 64, 103060. [Google Scholar] [CrossRef]
  21. Novianggie, V.; Asandimitra, N. The influence of behavioral bias, cognitive bias, and emotional bias on investment decision for college students with financial literacy as the moderating variable. Int. J. Acad. Res. Account. Financ. Manag. Sci. 2019, 9, 92–107. [Google Scholar]
  22. Liu, L.; Tu, Y.; Zhou, X. How local outbreak of COVID-19 affect the risk of internet public opinion: A Chinese social media case study. Technol. Soc. 2022, 71, 102113. [Google Scholar] [CrossRef] [PubMed]
  23. Guo, B.; Ding, Y.; Yao, L.; Liang, Y.; Yu, Z. The future of false information detection on social media: New perspectives and trends. ACM Comput. Surv. (CSUR) 2020, 53, 1–36. [Google Scholar] [CrossRef]
  24. Shammi, M.; Bodrud-Doza, M.; Islam, A.R.M.T.; Rahman, M.M. Strategic assessment of COVID-19 pandemic in Bangladesh: Comparative lockdown scenario analysis, public perception, and management for sustainability. Environ. Dev. Sustain. 2021, 23, 6148–6191. [Google Scholar] [CrossRef] [PubMed]
  25. Han, X.; Wang, J.; Zhang, M.; Wang, X. Using social media to mine and analyze public opinion related to COVID-19 in China. Int. J. Environ. Res. Public Health 2020, 17, 2788. [Google Scholar] [CrossRef] [PubMed]
  26. Hasib, K.M.; Islam, M.R.; Sakib, S.; Akbar, M.A.; Razzak, I.; Alam, M.S. Depression detection from social networks data based on machine learning and deep learning techniques: An interrogative survey. IEEE Trans. Comput. Soc. Syst. 2023, 10, 1568–1586. [Google Scholar] [CrossRef]
  27. Seo, B.; Lee, Y.; Cho, H. Measuring News Sentiment of Korea Using Transformer. Korean Econ. Rev. 2024, 40, 149–176. [Google Scholar]
  28. Hassanein, A.; Mostafa, M.M.; Benameur, K.B.; Al-Khasawneh, J.A. How do big markets react to investors’ sentiments on firm tweets? J. Sustain. Financ. Investig. 2024, 14, 1–23. [Google Scholar] [CrossRef]
  29. Pintér, É.; Bagó, P.; Berényi, L.; Molnár, L.; Deutsch, N.; Pintér, T. How do Digitalization and the Fintech Phenomenon Affect Financial Decision-Making in the Younger Generation? Acta Polytech. Hung. 2021, 18, 191–208. [Google Scholar] [CrossRef]
  30. Asare, A.O.; Yap, R.; Truong, N.; Sarpong, E.O. The pandemic semesters: Examining public opinion regarding online learning amidst COVID-19. J. Comput. Assist. Learn. 2021, 37, 1591–1605. [Google Scholar] [CrossRef]
  31. Koskelainen, T.; Kalmi, P.; Scornavacca, E.; Vartiainen, T. Financial literacy in the digital age—A research agenda. J. Consum. Aff. 2023, 57, 507–528. [Google Scholar] [CrossRef]
  32. Chen, T.; Wang, L.; Wang, J.; Yang, Q. A network diffusion model of food safety scare behavior considering information transparency. Complexity 2017, 2017, 5724925. [Google Scholar] [CrossRef]
  33. Kröger, M.; Schlickeiser, R. Analytical solution of the SIR-model for the temporal evolution of epidemics. Part A: Time-independent reproduction factor. J. Phys. A Math. Theor. 2020, 53, 505601. [Google Scholar] [CrossRef]
  34. Aloulou, M.; Grati, R.; Al-Qudah, A.A.; Al-Okaily, M. Does FinTech adoption increase the diffusion rate of digital financial inclusion? A study of the banking industry sector. J. Financ. Report. Account. 2024, 22, 289–307. [Google Scholar] [CrossRef]
  35. D’Andrea, A.; Limodio, N. High-speed internet, financial technology, and banking. Manag. Sci. 2024, 70, 773–798. [Google Scholar] [CrossRef]
  36. Bennett, A.; Seyis, D. The online market’s invisible hand: Internet media and rising populism. Political Stud. 2023, 71, 655–675. [Google Scholar] [CrossRef]
  37. Wang, Q.; Liu, C.; Lan, S. Digital literacy and financial market participation of middle-aged and elderly adults in China. Econ. Political Stud. 2023, 11, 441–468. [Google Scholar] [CrossRef]
  38. Chen, Y.C.; Lu, P.E.; Chang, C.S.; Liu, T.H. A time-dependent SIR model for COVID-19 with undetectable infected persons. IEEE Trans. Netw. Sci. Eng. 2020, 7, 3279–3294. [Google Scholar] [CrossRef]
Figure 1. Dynamic evolution rules of internet financial public opinion.
Figure 1. Dynamic evolution rules of internet financial public opinion.
Information 15 00433 g001
Figure 2. Impact mechanisms on the diffusion of internet financial public opinion. (a) The relationship between the level of financial institutions’ digitalization and the probability of internet financial public opinion diffusion. (b) The relationship between the extent of government guidance and the probability of internet financial public opinion diffusion. (c) The relationship between media authority and the probability of internet financial public opinion diffusion. (d) The relationship between investors’ financial literacy and the probability of internet financial public opinion diffusion.
Figure 2. Impact mechanisms on the diffusion of internet financial public opinion. (a) The relationship between the level of financial institutions’ digitalization and the probability of internet financial public opinion diffusion. (b) The relationship between the extent of government guidance and the probability of internet financial public opinion diffusion. (c) The relationship between media authority and the probability of internet financial public opinion diffusion. (d) The relationship between investors’ financial literacy and the probability of internet financial public opinion diffusion.
Information 15 00433 g002
Figure 3. Interaction effects of investors’ financial literacy ( F ) and government guidance ( Z ) on internet financial public opinion diffusion.
Figure 3. Interaction effects of investors’ financial literacy ( F ) and government guidance ( Z ) on internet financial public opinion diffusion.
Information 15 00433 g003
Figure 4. Interaction effects of investors’ financial literacy ( F ) and media authority ( M ) on internet financial public opinion diffusion.
Figure 4. Interaction effects of investors’ financial literacy ( F ) and media authority ( M ) on internet financial public opinion diffusion.
Information 15 00433 g004
Figure 5. Interaction effects of investors’ financial literacy ( F ) and financial institutions’ digitalization level ( J ) on internet financial public opinion diffusion.
Figure 5. Interaction effects of investors’ financial literacy ( F ) and financial institutions’ digitalization level ( J ) on internet financial public opinion diffusion.
Information 15 00433 g005
Figure 6. Interaction effects of government guidance ( Z ) and media authority ( M ) on internet financial public opinion diffusion.
Figure 6. Interaction effects of government guidance ( Z ) and media authority ( M ) on internet financial public opinion diffusion.
Information 15 00433 g006
Figure 7. Interaction effects of government guidance ( Z ) and financial institutions’ digitalization level ( J ) on internet financial public opinion piffusion.
Figure 7. Interaction effects of government guidance ( Z ) and financial institutions’ digitalization level ( J ) on internet financial public opinion piffusion.
Information 15 00433 g007
Figure 8. Interaction effects of media authority ( M ) and financial institutions’ digitalization level ( J ) on internet financial public opinion diffusion.
Figure 8. Interaction effects of media authority ( M ) and financial institutions’ digitalization level ( J ) on internet financial public opinion diffusion.
Information 15 00433 g008
Figure 9. Robustness analysis. (a) The degree distribution of the network under the influence of different financial institutions’ digitalization levels. (b) The degree distribution of the network under the influence of different government guidance levels. (c) The degree distribution of the network under the influence of different media authority levels. (d) The degree distribution of the network under the influence of different investors’ financial literacy levels.
Figure 9. Robustness analysis. (a) The degree distribution of the network under the influence of different financial institutions’ digitalization levels. (b) The degree distribution of the network under the influence of different government guidance levels. (c) The degree distribution of the network under the influence of different media authority levels. (d) The degree distribution of the network under the influence of different investors’ financial literacy levels.
Information 15 00433 g009
Table 1. Related concepts in the dynamic evolution of internet financial public opinion.
Table 1. Related concepts in the dynamic evolution of internet financial public opinion.
ConceptDefinition
Public Opinion Diffusion SourcesThe related points of internet financial information
Rational NetizensIndividuals who are exposed to internet financial public opinion but have not yet spread it.
Emotional NetizensIndividuals influenced by internet financial public opinion who actively spread information.
Critical NetizensIndividuals exposed to internet financial public opinion but unaffected by it and do not participate in spreading it.
Public Opinion Diffusion RateThe proportion of netizens influenced by public opinion among rational netizens.
Public Opinion Immunity RateThe proportion of netizens not influenced by public opinion among rational netizens.
Table 2. Baseline Parameter Values of the Model.
Table 2. Baseline Parameter Values of the Model.
ParameterDescriptionParameter ValueVariation Range
H Initial Total Number of Netizens500Positive Number
m Number of New Rational Netizen Nodes5Positive Number
η Number of Edges for New Rational Netizens5Positive Number
p Connection Probability Between New Rational and Emotional Netizens0.3(0, 1]
l Netizen Entry Rate0.01(0, 1]
φ Netizen Exit Rate0.01(0, 1]
J Level of Financial Institutions’ Digitalization0.3(0, 1]
Z Government Guidance0.4(0, 1]
M Media Authority0.3(0, 1]
F Investors’ Financial Literacy0.2(0, 1]
Disclaimer/Publisher’s Note: The statements, opinions and data contained in all publications are solely those of the individual author(s) and contributor(s) and not of MDPI and/or the editor(s). MDPI and/or the editor(s) disclaim responsibility for any injury to people or property resulting from any ideas, methods, instructions or products referred to in the content.

Share and Cite

MDPI and ACS Style

Yu, C.; He, J.; Ma, Q.; Liu, X. Dynamic Evolution Model of Internet Financial Public Opinion. Information 2024, 15, 433. https://doi.org/10.3390/info15080433

AMA Style

Yu C, He J, Ma Q, Liu X. Dynamic Evolution Model of Internet Financial Public Opinion. Information. 2024; 15(8):433. https://doi.org/10.3390/info15080433

Chicago/Turabian Style

Yu, Chao, Jianmin He, Qianting Ma, and Xinyu Liu. 2024. "Dynamic Evolution Model of Internet Financial Public Opinion" Information 15, no. 8: 433. https://doi.org/10.3390/info15080433

APA Style

Yu, C., He, J., Ma, Q., & Liu, X. (2024). Dynamic Evolution Model of Internet Financial Public Opinion. Information, 15(8), 433. https://doi.org/10.3390/info15080433

Note that from the first issue of 2016, this journal uses article numbers instead of page numbers. See further details here.

Article Metrics

Back to TopTop