Modeling COVID-19 Transmission in Closed Indoor Settings: An Agent-Based Approach with Comprehensive Sensitivity Analysis
Abstract
1. Introduction
2. Materials and Methods
2.1. Study Area and Data
2.2. The Agent-Based Model
2.2.1. Purpose and Patterns
2.2.2. Entities, State Variables, and Scales
2.2.3. Process Overview and Scheduling
2.2.4. Design Concepts
Sensing
Interaction
Stochasticity
Observation
2.2.5. Initialization
2.2.6. Input Data
2.2.7. Sub-Models
Model Initialization
Direct Transmission Process
Movement of Agents
Indirect Transmission Process
External Infection Process
Incubation and Quarantine Process
Agents’ Mortality Process
Recovery Process
2.3. Model Calibration
2.4. Sensitivity Analysis
3. Results
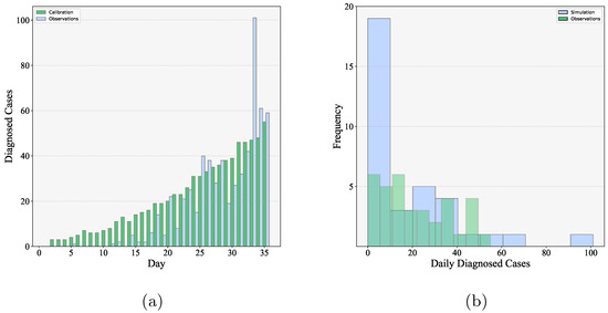
3.1. Calibration
3.2. Base Scenario Dynamics
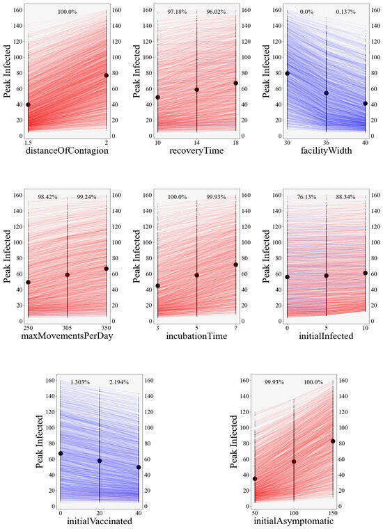
3.3. Sensitivity Analysis
3.3.1. Total Infections
3.3.2. Number of Infected Cases at Peak
3.3.3. The Peak Time Step
4. Discussion
5. Conclusions
Author Contributions
Funding
Institutional Review Board Statement
Informed Consent Statement
Data Availability Statement
Conflicts of Interest
Appendix A

Appendix B
Appendix B.1

Appendix B.2

References
- Chen, K.; Li, Y.; Zhou, R.; Jiang, X. A stochastic agent-based model to evaluate COVID-19 transmission influenced by human mobility. arXiv 2022. [Google Scholar] [CrossRef]
- Bouchnita, A.; Jebrane, A. A hybrid multi-scale model of COVID-19 transmission dynamics to assess the potential of non-pharmaceutical interventions. Chaos Solitons Fractals 2020, 138, 109941. [Google Scholar] [CrossRef]
- Noorimotlagh, Z.; Jaafarzadeh, N.; Martínez, S.S.; Mirzaee, S.A. A systematic review of possible airborne transmission of the COVID-19 virus (SARS-CoV-2) in the indoor air environment. Environ. Res. 2021, 193, 110612. [Google Scholar] [CrossRef]
- Bulfone, T.C.; Malekinejad, M.; Rutherford, G.W.; Razani, N. Outdoor Transmission of SARS-CoV-2 and Other Respiratory Viruses: A Systematic Review. J. Infect. Dis. 2020, 223, 550–561. [Google Scholar] [CrossRef]
- Zhang, A.; Zhen, Q.; Zheng, C.; Li, J.; Zheng, Y.; Du, Y.; Huang, Q.; Zhang, Q. Assessing the impact of architectural and behavioral interventions for controlling indoor COVID-19 infection risk: An agent-based approach. J. Build. Eng. 2023, 74, 106807. [Google Scholar] [CrossRef]
- Avram, F.; Adenane, R.; Ketcheson, D.I. A Review of Matrix SIR Arino Epidemic Models. Mathematics 2021, 9, 1513. [Google Scholar] [CrossRef]
- Lima, L.d.S. Fractional Stochastic Differential Equation Approach for Spreading of Diseases. Entropy 2022, 24, 719. [Google Scholar] [CrossRef]
- Adiga, A.; Dubhashi, D.; Lewis, B.; Marathe, M.; Venkatramanan, S.; Vullikanti, A. Mathematical Models for COVID-19 Pandemic: A Comparative Analysis. J. Indian Inst. Sci. 2020, 100, 793–807. [Google Scholar] [CrossRef]
- Vytla, V.; Ramakuri, S.K.; Peddi, A.; Kalyan Srinivas, K.; Nithish Ragav, N. Mathematical Models for Predicting COVID-19 Pandemic: A Review. J. Phys. Conf. Ser. 2021, 1797, 012009. [Google Scholar] [CrossRef]
- Shankar, S.; Mohakuda, S.S.; Kumar, A.; Nazneen, P.S.; Yadav, A.K.; Chatterjee, K.; Chatterjee, K. Systematic review of predictive mathematical models of COVID-19 epidemic. Med. J. Armed Forces India 2021, 77, S385–S392. [Google Scholar] [CrossRef]
- Zachreson, C.; Chang, S.; Harding, N.; Prokopenko, M. The effects of local homogeneity assumptions in metapopulation models of infectious disease. R. Soc. Open Sci. 2022, 9, 211919. [Google Scholar] [CrossRef]
- Mehdaoui, M. A review of commonly used compartmental models in epidemiology. arXiv 2021. [Google Scholar] [CrossRef]
- Seck-Tuoh-Mora, J.C.; Hernandez-Romero, N.; Lagos-Eulogio, P.; Medina-Marin, J.; Zuñiga-Peña, N.S. A continuous-state cellular automata algorithm for global optimization. Expert Syst. Appl. 2021, 177, 114930. [Google Scholar] [CrossRef]
- Li, J.; Xiang, T.; He, L. Modeling epidemic spread in transportation networks: A review. J. Traffic Transp. Eng. (Engl. Ed.) 2021, 8, 139–152. [Google Scholar] [CrossRef]
- Perez, L.; Dragicevic, S. An agent-based approach for modeling dynamics of contagious disease spread. Int. J. Health Geogr. 2009, 8, 50. [Google Scholar] [CrossRef]
- Li, C.Y.; Yin, J. A pedestrian-based model for simulating COVID-19 transmission on college campus. Transp. A Transp. Sci. 2023, 19, 2005182. [Google Scholar] [CrossRef]
- Hooshangi, N.; Alesheikh, A.A.; Panahi, M.; Lee, S. Urban search and rescue (USAR) simulation system: Spatial strategies for agent task allocation under uncertain conditions. Nat. Hazards Earth Syst. Sci. 2021, 21, 3449–3463. [Google Scholar] [CrossRef]
- Wilensky, U.; Rand, W. An Introduction to Agent-Based Modeling: Modeling Natural, Social, and Engineered Complex Systems with NetLogo; The MIT Press: Cambridge, MA, USA, 2015. [Google Scholar]
- Layie, P.; Kamla, V.C.; Kamgang, J.C.; Wono, Y.E. Agent-based modeling of malaria control through mosquito aquatic habitats management in a traditional sub-Sahara grouping. BMC Public Health 2021, 21, 487. [Google Scholar] [CrossRef]
- Rajabi, M.; Pilesjö, P.; Shirzadi, M.R.; Fadaei, R.; Mansourian, A. A spatially explicit agent-based modeling approach for the spread of Cutaneous Leishmaniasis disease in central Iran, Isfahan. Environ. Model. Softw. 2016, 82, 330–346. [Google Scholar] [CrossRef]
- Simões, J. An Agent-Based/Network Approach to Spatial Epidemics. In Agent-Based Models of Geographical Systems; Springer: Berlin/Heidelberg, Germany, 2012; pp. 591–610. [Google Scholar] [CrossRef]
- Beaudoin, A.; Isaac, A.G. Direct and indirect transmission of avian influenza: Results from a calibrated agent-based model. J. Econ. Interact. Coord. 2023, 18, 191–212. [Google Scholar] [CrossRef]
- Gopalappa, C.; Farnham, P.G.; Chen, Y.H.; Sansom, S.L. Progression and Transmission of HIV/AIDS (PATH 2.0): A New, Agent-Based Model to Estimate HIV Transmissions in the United States. Med. Decis. Mak. 2017, 37, 224–233. [Google Scholar] [CrossRef] [PubMed]
- Tabasi, M.; Alesheikh, A.A.; Kalantari, M.; Mollalo, A.; Hatamiafkoueieh, J. Spatio-Temporal Modeling of COVID-19 Spread in Relation to Urban Land Uses: An Agent-Based Approach. Sustainability 2023, 15, 13827. [Google Scholar] [CrossRef]
- Wang, L.; Li, X. Spatial epidemiology of networked metapopulation: An overview. Chin. Sci. Bull. 2014, 59, 3511–3522. [Google Scholar] [CrossRef]
- Humphries, R.; Spillane, M.; Mulchrone, K.; Wieczorek, S.; O’Riordain, M.; Hövel, P. A metapopulation network model for the spreading of SARS-CoV-2: Case study for Ireland. Infect. Dis. Model. 2021, 6, 420–437. [Google Scholar] [CrossRef]
- Calvetti, D.; Hoover, A.P.; Rose, J.; Somersalo, E. Metapopulation Network Models for Understanding, Predicting, and Managing the Coronavirus Disease COVID-19. Front. Phys. 2020, 8, 261. [Google Scholar] [CrossRef]
- Kasereka, S.K.; Zohinga, G.N.; Kiketa, V.M.; Ngoie, R.B.M.; Mputu, E.K.; Kasoro, N.M.; Kyandoghere, K. Equation-Based Modeling vs. Agent-Based Modeling with Applications to the Spread of COVID-19 Outbreak. Mathematics 2023, 11, 253. [Google Scholar] [CrossRef]
- Cuevas, E. An agent-based model to evaluate the COVID-19 transmission risks in facilities. Comput. Biol. Med. 2020, 121, 103827. [Google Scholar] [CrossRef]
- Rodríguez, A.; Cuevas, E.; Zaldivar, D.; Morales-Castañeda, B.; Sarkar, R.; Houssein, E.H. An agent-based transmission model of COVID-19 for re-opening policy design. Comput. Biol. Med. 2022, 148, 105847. [Google Scholar] [CrossRef]
- Borjigin, S.G.; He, Q.; Niemeier, D.A. COVID-19 transmission in U.S. transit buses: A scenario-based approach with agent-based simulation modeling (ABSM). Commun. Transp. Res. 2023, 3, 100090. [Google Scholar] [CrossRef]
- Gunaratne, C.; Reyes, R.; Hemberg, E.; O’Reilly, U.M. Evaluating efficacy of indoor non-pharmaceutical interventions against COVID-19 outbreaks with a coupled spatial-SIR agent-based simulation framework. Sci. Rep. 2022, 12, 6202. [Google Scholar] [CrossRef]
- Cui, Z.; Cai, M.; Zhu, Z.; Chen, G.; Xiao, Y. Impact of Indoor Mobility Behavior on the Respiratory Infectious Diseases Transmission Trends. IEEE Trans. Comput. Soc. Syst. 2024, 1–14. [Google Scholar] [CrossRef]
- Azuma, K.; Yanagi, U.; Kagi, N.; Kim, H.; Ogata, M.; Hayashi, M. Environmental factors involved in SARS-CoV-2 transmission: Effect and role of indoor environmental quality in the strategy for COVID-19 infection control. Environ. Health Prev. Med. 2020, 25, 66. [Google Scholar] [CrossRef]
- Karimian, H.; Fan, Q.; Li, Q.; Chen, Y.; Shi, J. Spatiotemporal transmission of infectious particles in environment: A case study of COVID-19. Chemosphere 2023, 335, 139065. [Google Scholar] [CrossRef]
- Reveil, M.; Chen, Y.H. Predicting and preventing COVID-19 outbreaks in indoor environments: An agent-based modeling study. Sci. Rep. 2022, 12, 16076. [Google Scholar] [CrossRef]
- Navaratnam, S.; Nguyen, K.; Selvaranjan, K.; Zhang, G.; Mendis, P.; Aye, L. Designing Post COVID-19 Buildings: Approaches for Achieving Healthy Buildings. Buildings 2022, 12, 74. [Google Scholar] [CrossRef]
- Amran, M.; Makul, N.; Fediuk, R.; Borovkov, A.; Ali, M.; Zeyad, A.M. A Review on Building Design as a Biomedical System for Preventing COVID-19 Pandemic. Buildings 2022, 12, 582. [Google Scholar] [CrossRef]
- Borgonovo, E.; Pangallo, M.; Rivkin, J.; Rizzo, L.; Siggelkow, N. Sensitivity analysis of agent-based models: A new protocol. Comput. Math. Organ. Theory 2022, 28, 52–94. [Google Scholar] [CrossRef]
- Italian Civil Protection Department. COVID-19 Italia, Monitoraggio Situ-Azione. Available online: https://github.com/pcm-dpc/COVID-19 (accessed on 30 April 2023).
- Italian National Institute of Statistics. Italian National Institute of Statistics. Available online: https://www.istat.it/en/ (accessed on 30 April 2023).
- Grimm, V.; Berger, U.; Bastiansen, F.; Eliassen, S.; Ginot, V.; Giske, J.; Goss-Custard, J.; Grand, T.; Heinz, S.K.; Huse, G.; et al. A standard protocol for describing individual-based and agent-based models. Ecol. Model. 2006, 198, 115–126. [Google Scholar] [CrossRef]
- Grimm, V.; Berger, U.; DeAngelis, D.L.; Polhill, J.G.; Giske, J.; Railsback, S.F. The ODD protocol: A review and first update. Ecol. Model. 2010, 221, 2760–2768. [Google Scholar] [CrossRef]
- Grimm, V.; Railsback, S.; Vincenot, C.; Berger, U.; Gallagher, C.; Deangelis, D.; Edmonds, B.; Ge, J.; Giske, J.; Groeneveld, J.; et al. The ODD Protocol for Describing Agent-Based and Other Simulation Models: A Second Update to Improve Clarity, Replication, and Structural Realism. J. Artif. Soc. Soc. Simul. 2020, 23, 7. [Google Scholar] [CrossRef]
- Cattaneo, A.; Vitali, A.; Mazzoleni, M.; Previdi, F. An agent-based model to assess large-scale COVID-19 vaccination campaigns for the Italian territory: The case study of Lombardy region. Comput. Methods Programs Biomed. 2022, 224, 107029. [Google Scholar] [CrossRef]
- Lhous, M.; Zakary, O.; Rachik, M.; Magri, E.M.; Tridane, A. Optimal Containment Control Strategy of the Second Phase of the COVID-19 Lockdown in Morocco. Appl. Sci. 2020, 10, 7559. [Google Scholar] [CrossRef]
- Mahdizadeh Gharakhanlou, N.; Mesgari, M.S.; Hooshangi, N. Developing an agent-based model for simulating the dynamic spread of Plasmodium vivax malaria: A case study of Sarbaz, Iran. Ecol. Inform. 2019, 54, 101006. [Google Scholar] [CrossRef]
- Karumanagoundar, K.; Raju, M.; Ponnaiah, M.; Kaur, P.; Viswanathan, V.; Rubeshkumar, P.; Sakthivel, M.; Shanmugiah, P.; Ganeshkumar, P.; Muthusamy, S.K.; et al. Secondary attack rate of COVID-19 among contacts and risk factors, Tamil Nadu, March–May 2020: A retrospective cohort study. BMJ Open 2021, 11, e051491. [Google Scholar] [CrossRef]
- Tian, T.; Huo, X. Secondary attack rates of COVID-19 in diverse contact settings, a meta-analysis. J. Infect. Dev. Ctries 2020, 14, 1361–1367. [Google Scholar] [CrossRef]
- Okhuese, A.V. Estimation of the probability of reinfection with COVID-19 by the susceptible-exposed-infectious-removed-undetectable-susceptible model. JMIR Public Health Surveill. 2020, 6, e19097. [Google Scholar] [CrossRef]
- Knobel, P.; Serra, C.; Grau, S.; Ibañez, R.; Diaz, P.; Ferrández, O.; Villar, R.; Lopez, A.F.; Pujolar, N.; Horcajada, J.P.; et al. Coronavirus disease 2019 (COVID-19) mRNA vaccine effectiveness in asymptomatic healthcare workers. Infect. Control Hosp. Epidemiol. 2021, 42, 1517–1519. [Google Scholar] [CrossRef]
- Mahdizadeh Gharakhanlou, N.; Hooshangi, N. Spatio-temporal simulation of the novel coronavirus (COVID-19) outbreak using the agent-based modeling approach (case study: Urmia, Iran). Inform. Med. Unlocked 2020, 20, 100403. [Google Scholar] [CrossRef]
- Kerr, C.C.; Stuart, R.M.; Mistry, D.; Abeysuriya, R.G.; Rosenfeld, K.; Hart, G.R.; Núñez, R.C.; Cohen, J.A.; Selvaraj, P.; Hagedorn, B.; et al. Covasim: An agent-based model of COVID-19 dynamics and interventions. PLoS Comput. Biol. 2021, 17, e1009149. [Google Scholar] [CrossRef]
- Wang, N.N.; Wang, Y.J.; Qiu, S.H.; Di, Z.R. Epidemic spreading with migration in networked metapopulation. Commun. Nonlinear Sci. Numer. Simul. 2022, 109, 106260. [Google Scholar] [CrossRef]
- Gong, Y.; Small, M. Epidemic spreading on metapopulation networks including migration and demographics. Chaos 2018, 28, 083102. [Google Scholar] [CrossRef]
- Azak, E.; Karadenizli, A.; Uzuner, H.; Karakaya, N.; Canturk, N.Z.; Hulagu, S. Comparison of an inactivated COVID-19 vaccine-induced antibody response with concurrent natural COVID-19 infection. Int. J. Infect. Dis. 2021, 113, 58–64. [Google Scholar] [CrossRef]
- Tiyo, B.T.; Schmitz, G.J.H.; Ortega, M.M.; da Silva, L.T.; de Almeida, A.; Oshiro, T.M.; Duarte, A.J.d.S. What Happens to the Immune System after Vaccination or Recovery from COVID-19? Life 2021, 11, 1152. [Google Scholar] [CrossRef]
- Sheikhi, F.; Yousefian, N.; Tehranipoor, P.; Kowsari, Z. Estimation of the basic reproduction number of Alpha and Delta variants of COVID-19 pandemic in Iran. PLoS ONE 2022, 17, e0265489. [Google Scholar] [CrossRef]
- Nishiura, H. Correcting the actual reproduction number: A simple method to estimate R0 from early epidemic growth data. Int. J. Environ. Res. Public Health 2010, 7, 291–302. [Google Scholar] [CrossRef]
- Locatelli, I.; Trächsel, B.; Rousson, V. Estimating the basic reproduction number for COVID-19 in Western Europe. PLoS ONE 2021, 16, e0248731. [Google Scholar] [CrossRef]








| Variable | Variable Type (Units) | Meaning |
|---|---|---|
| x | Real number (meters) | position of human agents |
| y | ||
| Real number | The probability of infection for normal human agents (Not vaccinated and without previous infection) | |
| Real number | The probability of infection of reinfected human agents | |
| Real number | The probability of infection of vaccinated human agents | |
| secretionRate | Real number | The amount of SARS-CoV-2 secretion by the infected agent |
| Real number | The probability of death of human agents | |
| Real number | The probability of movement of human agents in the environment | |
| Real number | The probability of small movement of human agents in the environment | |
| Integer; days | Incubation time | |
| Integer; days | Recovery time | |
| State | Integer | The state of human agents (susceptible, exposed, infected, recovered, deceased, quarantined) |
| Vaccinated | Boolean | Vaccinated and unvaccinated flag |
| Asymptomatic | Boolean | Symptomatic and asymptomatic flag |
| Reinfected | Boolean | Reinfection flag |
| Variable | Value | Reference/Source |
|---|---|---|
| x | - | |
| y | - | |
| [30,48,49] | ||
| [30,50] | ||
| [30,51] | ||
| secretionRate | [2] | |
| [30] | ||
| [30] | ||
| [30] | ||
| [52] | ||
| 14 | [52] | |
| State | Susceptible | - |
| Parameter | Value |
|---|---|
| populationSize | 200 |
| facilityWidth | 36 |
| facilityHeight | 36 |
| simulationDays | 365 |
| maxMovementsPerDay | 350 |
| maxRadiusLocalMovement | 5 |
| distanceOfContagion | 1.5 |
| initialNumberOfInfectedAgents | 0 |
| numberOfVaccinatedAgents | 0 |
| numberOfAsymptomaticAgents | 100 |
| externalInfectionParameter | 0.015 |
| indirectTransmissionDistance | 2 |
| decayRate | 0.25 |
| secretionRate | 0.008 |
| indirectTransmissionParameter | 0.015 |
| Parameter | Values | Base Scenario Value |
|---|---|---|
| distanceOfContagion | 1.5 | |
| recoveryTime | 14 | |
| facilityWidth | 36 | |
| facilityHeight | ||
| maxMovementsPerDay | 350 | |
| incubationTimeRange | [5, 6] | |
| initialNumberOfInfectedAgents | 0 | |
| numberOfVaccinatedAgents | 0 | |
| numberOfAsymptomaticAgents | 100 |
| Parameters * | Total Infected | Infected at Peak | Peak Time | |||||||||
|---|---|---|---|---|---|---|---|---|---|---|---|---|
| % Red Lines | Avg Diff | % Red Lines | Avg Diff | % Red Lines | Avg Diff | |||||||
| 100 | 0.89 | 100 | 37.38 | 12.52 | −23.28 | |||||||
| 99.45 | 99.03 | 0.29 | 0.28 | 97.18 | 96.02 | 9.95 | 8.09 | 65.70 | 66.94 | 1.69 | 1.80 | |
| 0.00 | 0.00 | −0.81 | −0.24 | 0.00 | 0.14 | −25.13 | −13.12 | 90.26 | 79.01 | 14.16 | 8.72 | |
| 99.51 | 99.03 | 0.29 | 0.26 | 98.42 | 99.24 | 9.48 | 7.89 | 32.92 | 15.43 | −1.92 | −7.11 | |
| 99.72 | 99.65 | 0.22 | 0.21 | 100 | 99.93 | 13.46 | 13.40 | 36.07 | 33.19 | −5.24 | −4.03 | |
| 50.68 | 44.17 | 0.012 | 0.00 | 76.13 | 88.34 | 1.63 | 3.27 | 0.07 | 0.27 | −46.23 | −17.83 | |
| 1.17 | 0.82 | −0.14 | −0.14 | 1.30 | 2.19 | −9.00 | −8.37 | 71.87 | 75.50 | 3.49 | 3.52 | |
| 100 | 100 | 0.44 | 0.50 | 99.93 | 100 | 21.80 | 25.86 | 48.35 | 36.21 | −4.28 | −5.18 | |
Disclaimer/Publisher’s Note: The statements, opinions and data contained in all publications are solely those of the individual author(s) and contributor(s) and not of MDPI and/or the editor(s). MDPI and/or the editor(s) disclaim responsibility for any injury to people or property resulting from any ideas, methods, instructions or products referred to in the content. |
© 2024 by the authors. Licensee MDPI, Basel, Switzerland. This article is an open access article distributed under the terms and conditions of the Creative Commons Attribution (CC BY) license (https://creativecommons.org/licenses/by/4.0/).
Share and Cite
Ebrahimi, A.H.; Alesheikh, A.A.; Hooshangi, N.; Sharif, M.; Mollalo, A. Modeling COVID-19 Transmission in Closed Indoor Settings: An Agent-Based Approach with Comprehensive Sensitivity Analysis. Information 2024, 15, 362. https://doi.org/10.3390/info15060362
Ebrahimi AH, Alesheikh AA, Hooshangi N, Sharif M, Mollalo A. Modeling COVID-19 Transmission in Closed Indoor Settings: An Agent-Based Approach with Comprehensive Sensitivity Analysis. Information. 2024; 15(6):362. https://doi.org/10.3390/info15060362
Chicago/Turabian StyleEbrahimi, Amir Hossein, Ali Asghar Alesheikh, Navid Hooshangi, Mohammad Sharif, and Abolfazl Mollalo. 2024. "Modeling COVID-19 Transmission in Closed Indoor Settings: An Agent-Based Approach with Comprehensive Sensitivity Analysis" Information 15, no. 6: 362. https://doi.org/10.3390/info15060362
APA StyleEbrahimi, A. H., Alesheikh, A. A., Hooshangi, N., Sharif, M., & Mollalo, A. (2024). Modeling COVID-19 Transmission in Closed Indoor Settings: An Agent-Based Approach with Comprehensive Sensitivity Analysis. Information, 15(6), 362. https://doi.org/10.3390/info15060362

