Regularized Mislevy-Wu Model for Handling Nonignorable Missing Item Responses
Abstract
1. Introduction
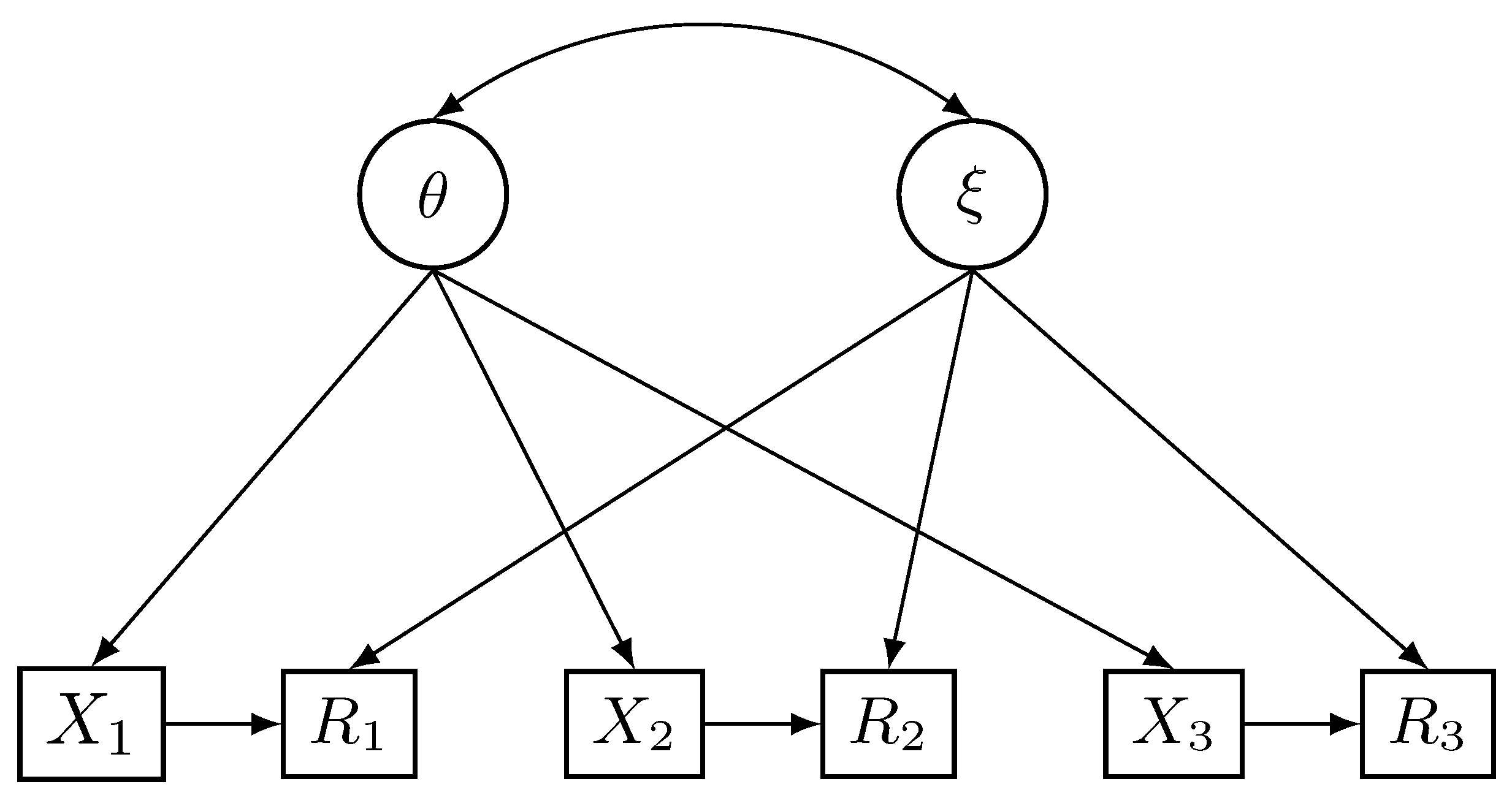
2. Mislevy-Wu Model
Regularized Mislevy-Wu Model
3. Simulation Study
3.1. Method
3.2. Results
4. Empirical Example
4.1. Method
4.2. Results
5. Discussion
Funding
Data Availability Statement
Conflicts of Interest
Abbreviations
| 2PL | two-parameter logistic |
| AIC | Akaike information criterion |
| BIC | Bayesian information criterion |
| CR | constructed response |
| DGM | data-generating model |
| IRT | item response theory |
| LSA | large-scale assessment |
| LI | latent ignorability |
| MAR | missing at random |
| MC | multiple-choice |
| MI | manifest ignorability |
| ML | maximum likelihood |
| MNAR | missing not at random |
| MW | Mislevy-Wu |
| PIRLS | progress in international reading literacy study |
| RMSE | root mean square error |
Appendix A. Item Parameters Used in the Simulation Study
| Item | Type | |||||
|---|---|---|---|---|---|---|
| DGM1 | DGM2 | |||||
| C01 | CR | 1.7 | 1.4 | −1.7 | 0.3 | −2.0 |
| C02 | CR | 1.2 | 0.4 | −2.7 | −0.7 | −1.7 |
| C03 | CR | 0.5 | 1.3 | −2.2 | −0.2 | −3.6 |
| C04 | CR | 2.2 | −0.6 | −1.4 | 0.6 | −2.9 |
| C05 | CR | 2.7 | −0.3 | −1.3 | 0.7 | −3.1 |
| C06 | CR | 2.8 | −0.1 | −1.2 | 0.8 | −3.8 |
| C07 | CR | 1.3 | −1.4 | −2.5 | −0.5 | −4.8 |
| C08 | CR | 1.3 | −1.5 | −1.8 | 0.2 | −2.0 |
| C09 | CR | 1.1 | −0.4 | −2.5 | −0.5 | −1.3 |
| C10 | CR | 0.5 | 0.8 | −2.4 | −0.4 | −0.6 |
| M11 | MC | 0.9 | −1.3 | −3.2 | −3.2 | 0.5 |
| M12 | MC | 1.0 | −0.4 | −3.4 | −3.4 | −0.8 |
| M13 | MC | 0.7 | −0.8 | −3.6 | −3.6 | −0.3 |
| M14 | MC | 1.2 | −0.6 | −3.7 | −3.7 | −0.2 |
| M15 | MC | 1.1 | −0.8 | −2.8 | −2.8 | 0.4 |
| M16 | MC | 1.2 | −1.6 | −2.8 | −2.8 | −0.3 |
| M17 | MC | 1.8 | −1.7 | −2.8 | −2.8 | −1.1 |
| M18 | MC | 1.0 | −1.1 | −3.4 | −3.4 | −1.0 |
| M19 | MC | 1.0 | −0.8 | −2.8 | −2.8 | −0.5 |
| M20 | MC | 1.5 | −2.0 | −1.8 | −1.8 | −0.9 |
References
- Lietz, P.; Cresswell, J.C.; Rust, K.F.; Adams, R.J. (Eds.) Implementation of Large-Scale Education Assessments; Wiley: New York, NY, USA, 2017. [Google Scholar] [CrossRef]
- Rutkowski, L.; von Davier, M.; Rutkowski, D. (Eds.) A Handbook of International Large-Scale Assessment: Background, Technical Issues, and Methods of Data Analysis; Chapman Hall/CRC Press: London, UK, 2013. [Google Scholar] [CrossRef]
- Foy, P.; Yin, L. Scaling the PIRLS 2016 achievement data. In Methods and Procedures in PIRLS 2016; Martin, M.O., Mullis, I.V., Hooper, M., Eds.; IEA: Chestnut Hill, MA, USA, 2017. [Google Scholar]
- Foy, P.; Yin, L. Scaling the TIMSS 2015 achievement data. In Methods and Procedures in TIMSS 2015; Martin, M.O., Mullis, I.V., Hooper, M., Eds.; IEA: Chestnut Hill, MA, USA, 2016. [Google Scholar]
- OECD. PISA 2018. Technical Report; OECD: Paris, France, 2020; Available online: https://bit.ly/3zWbidA (accessed on 21 June 2023).
- Pohl, S.; Ulitzsch, E.; von Davier, M. Reframing rankings in educational assessments. Science 2021, 372, 338–340. [Google Scholar] [CrossRef] [PubMed]
- Mislevy, R.J. Missing responses in item response modeling. In Handbook of Item Response Theory, Vol. 2: Statistical Tools; van der Linden, W.J., Ed.; CRC Press: Boca Raton, FL, USA, 2016; pp. 171–194. [Google Scholar] [CrossRef]
- Bock, R.D.; Moustaki, I. Item response theory in a general framework. In Handbook of Statistics, Vol. 26: Psychometrics; Rao, C.R., Sinharay, S., Eds.; Elsevier: Amsterdam, The Netherlands, 2007; pp. 469–513. [Google Scholar] [CrossRef]
- van der Linden, W.J.; Hambleton, R.K. (Eds.). Handbook of Modern Item Response Theory; Springer: New York, NY, USA, 1997. [Google Scholar] [CrossRef]
- van der Linden, W.J. Unidimensional logistic response models. In Handbook of Item Response Theory, Volume 1: Models; van der Linden, W.J., Ed.; CRC Press: Boca Raton, FL, USA, 2016; pp. 11–30. [Google Scholar]
- Rose, N.; von Davier, M.; Nagengast, B. Modeling omitted and not-reached items in IRT models. Psychometrika 2017, 82, 795–819. [Google Scholar] [CrossRef] [PubMed]
- Holman, R.; Glas, C.A.W. Modelling non-ignorable missing-data mechanisms with item response theory models. Brit. J. Math. Stat. Psychol. 2005, 58, 1–17. [Google Scholar] [CrossRef]
- Robitzsch, A. On the treatment of missing item responses in educational large-scale assessment data: An illustrative simulation study and a case study using PISA 2018 mathematics data. Eur. J. Investig. Health Psychol. Educ. 2021, 11, 1653–1687. [Google Scholar] [CrossRef]
- Guo, J.; Xu, X. An IRT-based model for omitted and not-reached items. arXiv 2019, arXiv:1904.03767. [Google Scholar] [CrossRef]
- Mislevy, R.J.; Wu, P.K. Missing Responses and IRT Ability Estimation: Omits, Choice, Time Limits, and Adaptive Testing; (Research Report No. RR-96-30); Educational Testing Service: Princeton, NJ, USA, 1996. [Google Scholar] [CrossRef]
- Rosas, G.; Shomer, Y.; Haptonstahl, S.R. No news is news: Nonignorable nonresponse in roll-call data analysis. Am. J. Political Sci. 2015, 59, 511–528. [Google Scholar] [CrossRef]
- Robitzsch, A.; Lüdtke, O. Some thoughts on analytical choices in the scaling model for test scores in international large-scale assessment studies. Meas. Instrum. Soc. Sci. 2022, 4, 9. [Google Scholar] [CrossRef]
- Little, R.J.A.; Rubin, D.B. Statistical Analysis with Missing Data; Wiley: New York, NY, USA, 2002. [Google Scholar] [CrossRef]
- Rubin, D.B. Inference and missing data. Biometrika 1976, 63, 581–592. [Google Scholar] [CrossRef]
- Seaman, S.; Galati, J.; Jackson, D.; Carlin, J. What is meant by "missing at random"? Stat. Sci. 2013, 28, 257–268. [Google Scholar] [CrossRef]
- Frangakis, C.E.; Rubin, D.B. Addressing complications of intention-to-treat analysis in the combined presence of all-or-none treatment-noncompliance and subsequent missing outcomes. Biometrika 1999, 86, 365–379. [Google Scholar] [CrossRef]
- Harel, O.; Schafer, J.L. Partial and latent ignorability in missing-data problems. Biometrika 2009, 96, 37–50. [Google Scholar] [CrossRef]
- Beesley, L.J.; Taylor, J.M.G.; Little, R.J.A. Sequential imputation for models with latent variables assuming latent ignorability. Aust. N. Z. J. Stat. 2019, 61, 213–233. [Google Scholar] [CrossRef]
- Debeer, D.; Janssen, R.; De Boeck, P. Modeling skipped and not-reached items using IRTrees. J. Educ. Meas. 2017, 54, 333–363. [Google Scholar] [CrossRef]
- Glas, C.A.W.; Pimentel, J.L.; Lamers, S.M.A. Nonignorable data in IRT models: Polytomous responses and response propensity models with covariates. Psychol. Test Assess. Model. 2015, 57, 523–541. [Google Scholar]
- Bartolucci, F.; Montanari, G.E.; Pandolfi, S. Latent ignorability and item selection for nursing home case-mix evaluation. J. Classif. 2018, 35, 172–193. [Google Scholar] [CrossRef]
- Kuha, J.; Katsikatsou, M.; Moustaki, I. Latent variable modelling with non-ignorable item nonresponse: Multigroup response propensity models for cross-national analysis. J. R. Stat. Soc. Ser. A Stat. Soc. 2018, 181, 1169–1192. [Google Scholar] [CrossRef]
- Albert, P.S.; Follmann, D.A. Shared-parameter models. In Longitudinal Data Analysis; Fitzmaurice, G., Davidian, M., Verbeke, G., Molenberghs, G., Eds.; Chapman and Hall/CRC: Boca Raton, FL, USA, 2008; pp. 447–466. [Google Scholar] [CrossRef]
- Little, R.J. Selection and pattern-mixture models. In Longitudinal Data Analysis; Fitzmaurice, G., Davidian, M., Verbeke, G., Molenberghs, G., Eds.; Chapman and Hall/CRC: Boca Raton, FL, USA, 2008; pp. 409–431. [Google Scholar] [CrossRef]
- Birnbaum, A. Some latent trait models and their use in inferring an examinee’s ability. In Statistical Theories of Mental Test Scores; Lord, F.M., Novick, M.R., Eds.; MIT Press: Reading, MA, USA, 1968; pp. 397–479. [Google Scholar]
- Deribo, T.; Kroehne, U.; Goldhammer, F. Model-based treatment of rapid guessing. J. Educ. Meas. 2021, 58, 281–303. [Google Scholar] [CrossRef]
- Robitzsch, A.; Lüdtke, O. An item response model for omitted responses in performance tests. Personal communication. 2017. [Google Scholar]
- Robitzsch, A. Nonignorable consequences of (partially) ignoring missing item responses: Students omit (constructed response) items due to a lack of knowledge. Knowledge 2023, 3, 215–231. [Google Scholar] [CrossRef]
- Kreitchmann, R.S.; Abad, F.J.; Ponsoda, V. A two-dimensional multiple-choice model accounting for omissions. Front. Psychol. 2018, 9, 2540. [Google Scholar] [CrossRef]
- Rose, N.; von Davier, M.; Nagengast, B. Commonalities and differences in IRT-based methods for nonignorable item nonresponses. Psych. Test Assess. Model. 2015, 57, 472–498. [Google Scholar]
- Köhler, C.; Pohl, S.; Carstensen, C.H. Taking the missing propensity into account when estimating competence scores: Evaluation of item response theory models for nonignorable omissions. Educ. Psychol. Meas. 2015, 75, 850–874. [Google Scholar] [CrossRef] [PubMed]
- Xu, X.; von Davier, M. Fitting the Structured General Diagnostic Model to NAEP Data; (Research Report No. RR-08-28); Educational Testing Service: Princeton, NJ, USA, 2008. [Google Scholar] [CrossRef]
- Aitkin, M. Expectation maximization algorithm and extensions. In Handbook of Item Response Theory, Vol. 2: Statistical Tools; van der Linden, W.J., Ed.; CRC Press: Boca Raton, FL, USA, 2016; pp. 217–236. [Google Scholar] [CrossRef]
- Hanson, B. IRT Parameter Estimation Using the EM Algorithm. 2000. Technical Report. Available online: https://bit.ly/3i4pOdg (accessed on 21 June 2023).
- Battauz, M. Regularized estimation of the four-parameter logistic model. Psych 2020, 2, 269–278. [Google Scholar] [CrossRef]
- Bates, S.; Hastie, T.; Tibshirani, R. Cross-validation: What does it estimate and how well does it do it? J. Am. Stat. Assoc. 2023. [Google Scholar] [CrossRef]
- R Core Team. R: A Language and Environment for Statistical Computing; R Core Team: Vienna, Austria, 2023; Available online: https://www.R-project.org/ (accessed on 15 March 2023).
- Robitzsch, A. sirt: Supplementary Item Response Theory Models. R Package Version 3.13-151. 2023. Available online: https://github.com/alexanderrobitzsch/sirt (accessed on 23 April 2023).
- Lord, F.M. Estimation of latent ability and item parameters when there are omitted responses. Psychometrika 1974, 39, 247–264. [Google Scholar] [CrossRef]
- Hitt, C.; Trivitt, J.; Cheng, A. When you say nothing at all: The predictive power of student effort on surveys. Econ. Educ. Rev. 2016, 52, 105–119. [Google Scholar] [CrossRef]
- Köhler, C.; Pohl, S.; Carstensen, C.H. Investigating mechanisms for missing responses in competence tests. Psych. Test Assess. Model. 2015, 57, 499–522. [Google Scholar]
- Mislevy, R.J. Randomization-based inference about latent variables from complex samples. Psychometrika 1991, 56, 177–196. [Google Scholar] [CrossRef]
- von Davier, M.; Sinharay, S. Analytics in international large-scale assessments: Item response theory and population models. In A handbook of International Large-Scale Assessment: Background, Technical Issues, and Methods of Data Analysis; Rutkowski, L., von Davier, M., Rutkowski, D., Eds.; Chapman Hall/CRC Press: London, UK, 2013; pp. 155–174. [Google Scholar] [CrossRef]
- Robitzsch, A.; Kiefer, T.; Wu, M. TAM: Test Analysis Modules. R Package Version 4.1-4. 2022. Available online: https://CRAN.R-project.org/package=TAM (accessed on 28 August 2022).
- Wu, M. The role of plausible values in large-scale surveys. Stud. Educ. Eval. 2005, 31, 114–128. [Google Scholar] [CrossRef]
- von Davier, M. Omitted response treatment using a modified Laplace smoothing for approximate Bayesian inference in item response theory. PsyArXiv 2023. [Google Scholar] [CrossRef]
- Gorgun, G.; Bulut, O. A polytomous scoring approach to handle not-reached items in low-stakes assessments. Educ. Psychol. Meas. 2021, 81, 847–871. [Google Scholar] [CrossRef]
- Robitzsch, A. On the choice of the item response model for scaling PISA data: Model selection based on information criteria and quantifying model uncertainty. Entropy 2022, 24, 760. [Google Scholar] [CrossRef]







| DGM | Par | N | Bias for | RMSE for | ||||||
|---|---|---|---|---|---|---|---|---|---|---|
| DGM1 | 1000 | 0.123 | 0.076 | 0.304 | 0.754 | 0.915 | 0.845 | 0.638 | 0.875 | |
| 2500 | 0.067 | 0.045 | 0.190 | 0.757 | 0.563 | 0.540 | 0.451 | 0.812 | ||
| 1000 | 0.063 | 0.068 | 0.092 | 0.221 | 0.313 | 0.309 | 0.285 | 0.329 | ||
| 2500 | 0.028 | 0.031 | 0.052 | 0.221 | 0.189 | 0.189 | 0.186 | 0.277 | ||
| 1000 | 0.008 | 0.008 | 0.011 | 0.028 | 0.154 | 0.154 | 0.154 | 0.156 | ||
| 2500 | 0.002 | 0.002 | 0.005 | 0.028 | 0.096 | 0.096 | 0.096 | 0.102 | ||
| 1000 | 0.016 | 0.018 | 0.028 | 0.064 | 0.146 | 0.146 | 0.144 | 0.154 | ||
| 2500 | 0.008 | 0.010 | 0.017 | 0.062 | 0.089 | 0.090 | 0.090 | 0.109 | ||
| DGM2 | 1000 | 0.063 | 0.063 | 0.184 | 0.750 | 0.687 | 0.631 | 0.518 | 0.896 | |
| 2500 | 0.018 | 0.028 | 0.090 | 0.750 | 0.382 | 0.374 | 0.349 | 0.822 | ||
| 1000 | 0.038 | 0.052 | 0.080 | 0.266 | 0.311 | 0.299 | 0.280 | 0.376 | ||
| 2500 | 0.017 | 0.023 | 0.039 | 0.267 | 0.188 | 0.187 | 0.183 | 0.323 | ||
| 1000 | 0.012 | 0.012 | 0.015 | 0.043 | 0.172 | 0.172 | 0.171 | 0.178 | ||
| 2500 | 0.004 | 0.004 | 0.006 | 0.041 | 0.105 | 0.105 | 0.105 | 0.118 | ||
| 1000 | 0.013 | 0.020 | 0.032 | 0.108 | 0.165 | 0.164 | 0.161 | 0.201 | ||
| 2500 | 0.005 | 0.008 | 0.015 | 0.105 | 0.100 | 0.100 | 0.099 | 0.155 | ||
| Model | #npars | AIC | BIC | |||
|---|---|---|---|---|---|---|
| MI | 106 | 162,192 | 162,844 | 2.41 | 0 | 0 |
| LI | 107 | 161,796 | 162,454 | 2.38 | 0.41 | 0 |
| WR | 107 | 161,414 | 162,073 | 2.29 | 0.41 | −9.99 |
| MW | 142 | 161,086 | 161,960 | 2.34 | 0.41 | est |
| Item | Type | Freq0 | Freq1 | FreqNA | MI | LI | WR | MW | MI | LI | WR | MW | MW | MW |
| R31G02C | CR | 0.28 | 0.64 | 0.08 | 0.86 | 0.85 | 0.89 | 0.91 | −1.04 | −1.04 | −0.81 | −0.80 | −3.03 | −4.45 |
| R31G04C | CR | 0.58 | 0.21 | 0.20 | 1.05 | 1.04 | 1.06 | 1.05 | 1.23 | 1.25 | 1.43 | 1.36 | −2.34 | −1.40 |
| R31G08CZ | CR | 0.41 | 0.40 | 0.19 | 1.27 | 1.26 | 1.34 | 1.23 | 0.18 | 0.20 | 0.48 | 0.30 | −2.01 | −0.90 |
| R31G08CA | CR | 0.40 | 0.37 | 0.23 | 1.76 | 1.74 | 1.82 | 1.74 | 1.32 | 1.35 | 1.44 | 1.39 | −1.99 | −0.76 |
| R31G08CB | CR | 0.61 | 0.14 | 0.25 | 1.45 | 1.44 | 1.51 | 1.41 | 0.09 | 0.11 | 0.31 | 0.17 | −2.41 | −0.79 |
| R31G10C | CR | 0.48 | 0.40 | 0.13 | 1.13 | 1.13 | 1.20 | 1.17 | 0.28 | 0.29 | 0.40 | 0.35 | −3.08 | −1.42 |
| R31G12C | CR | 0.51 | 0.29 | 0.20 | 0.49 | 0.48 | 0.63 | 0.49 | 1.24 | 1.26 | 1.47 | 1.25 | −2.53 | −0.04 |
| R31G13CZ | CR | 0.17 | 0.66 | 0.17 | 2.43 | 2.46 | 3.31 | 3.18 | −0.55 | −0.53 | −0.27 | −0.33 | −1.55 | −2.81 |
| R31G13CA | CR | 0.23 | 0.58 | 0.20 | 2.11 | 2.12 | 2.85 | 2.72 | −0.36 | −0.34 | −0.11 | −0.14 | −1.35 | −3.40 |
| R31G13CB | CR | 0.26 | 0.52 | 0.22 | 2.19 | 2.19 | 2.75 | 2.68 | −0.12 | −0.10 | 0.07 | 0.05 | −1.54 | −3.21 |
| R31G13CC | CR | 0.32 | 0.46 | 0.22 | 3.58 | 3.67 | 4.88 | 5.07 | −0.76 | −0.74 | −0.51 | −0.57 | −1.69 | −2.69 |
| R31P02C | CR | 0.23 | 0.73 | 0.04 | 0.81 | 0.81 | 0.79 | 0.81 | −1.61 | −1.62 | −1.52 | −1.48 | −3.77 | −3.88 |
| R31P03C | CR | 0.16 | 0.79 | 0.06 | 1.26 | 1.25 | 1.24 | 1.29 | −1.57 | −1.57 | −1.42 | −1.38 | −2.88 | −4.36 |
| R31P05C | CR | 0.45 | 0.48 | 0.08 | 1.08 | 1.09 | 1.07 | 1.02 | −0.05 | −0.05 | 0.04 | −0.11 | −4.51 | 0.59 |
| R31P06C | CR | 0.19 | 0.76 | 0.04 | 1.40 | 1.39 | 1.34 | 1.37 | −1.28 | −1.28 | −1.23 | −1.24 | −3.85 | −2.43 |
| R31P07C | CR | 0.19 | 0.74 | 0.07 | 1.74 | 1.74 | 1.67 | 1.74 | −1.08 | −1.08 | −0.98 | −0.98 | −2.90 | −3.12 |
| R31P09C | CR | 0.14 | 0.80 | 0.06 | 1.25 | 1.26 | 1.37 | 1.33 | −1.71 | −1.68 | −1.40 | −1.55 | −3.40 | −1.83 |
| R31P14C | CR | 0.33 | 0.54 | 0.13 | 1.06 | 1.06 | 1.15 | 1.07 | −0.48 | −0.47 | −0.24 | −0.39 | −2.92 | −1.22 |
| R31P15C | CR | 0.51 | 0.36 | 0.13 | 0.52 | 0.53 | 0.63 | 0.53 | 0.74 | 0.75 | 0.92 | 0.81 | −3.19 | −0.55 |
| R31P16C | CR | 0.49 | 0.38 | 0.13 | 0.76 | 0.75 | 0.86 | 0.80 | 0.48 | 0.49 | 0.62 | 0.57 | −3.03 | −1.48 |
| R31G01M | MC | 0.18 | 0.81 | 0.01 | 1.11 | 1.15 | 1.13 | 1.15 | −1.66 | −1.63 | −1.66 | −1.68 | −10.51 | 4.20 |
| R31G03M | MC | 0.26 | 0.73 | 0.01 | 1.19 | 1.18 | 1.04 | 1.10 | −1.11 | −1.11 | −1.24 | −1.23 | −7.52 | 1.24 |
| R31G05M | MC | 0.42 | 0.56 | 0.02 | 0.84 | 0.85 | 0.81 | 0.80 | −0.41 | −0.40 | −0.42 | −0.50 | −7.56 | 2.18 |
| R31G06M | MC | 0.27 | 0.72 | 0.01 | 0.98 | 0.97 | 0.84 | 0.90 | −1.20 | −1.22 | −1.38 | −1.30 | −5.72 | −2.94 |
| R31G07M | MC | 0.40 | 0.58 | 0.02 | 1.04 | 1.04 | 0.95 | 0.99 | −0.41 | −0.41 | −0.45 | −0.45 | −5.64 | −0.82 |
| R31G09M | MC | 0.38 | 0.60 | 0.02 | 0.69 | 0.69 | 0.65 | 0.65 | −0.71 | −0.71 | −0.74 | −0.78 | −6.06 | 0.08 |
| R31G11M | MC | 0.36 | 0.62 | 0.02 | 1.25 | 1.26 | 1.23 | 1.24 | −0.54 | −0.54 | −0.56 | −0.58 | −5.81 | 0.03 |
| R31G14M | MC | 0.33 | 0.60 | 0.07 | 1.16 | 1.17 | 1.07 | 1.09 | −0.65 | −0.64 | −0.53 | −0.79 | −5.41 | 1.68 |
| R31P01M | MC | 0.25 | 0.74 | 0.01 | 1.06 | 1.06 | 0.97 | 0.99 | −1.24 | −1.24 | −1.33 | −1.37 | −9.84 | 3.88 |
| R31P04M | MC | 0.53 | 0.46 | 0.01 | 0.76 | 0.77 | 0.75 | 0.74 | 0.19 | 0.19 | 0.17 | 0.12 | −8.56 | 3.12 |
| R31P08M | MC | 0.19 | 0.79 | 0.02 | 1.19 | 1.21 | 1.13 | 1.16 | −1.52 | −1.51 | −1.53 | −1.58 | −5.75 | −0.01 |
| R31P10M | MC | 0.11 | 0.87 | 0.03 | 1.88 | 1.89 | 1.74 | 1.81 | −1.66 | −1.65 | −1.65 | −1.69 | −4.80 | −1.29 |
| R31P11M | MC | 0.27 | 0.70 | 0.03 | 1.07 | 1.07 | 1.04 | 1.04 | −1.05 | −1.05 | −1.05 | −1.09 | −5.18 | −0.78 |
| R31P12M | MC | 0.33 | 0.64 | 0.03 | 1.02 | 1.03 | 1.02 | 1.00 | −0.77 | −0.76 | −0.75 | −0.80 | −5.33 | −0.32 |
| R31P13M | MC | 0.09 | 0.88 | 0.03 | 1.59 | 1.60 | 1.49 | 1.54 | −1.97 | −1.96 | −1.90 | −1.99 | −4.53 | −1.28 |
Disclaimer/Publisher’s Note: The statements, opinions and data contained in all publications are solely those of the individual author(s) and contributor(s) and not of MDPI and/or the editor(s). MDPI and/or the editor(s) disclaim responsibility for any injury to people or property resulting from any ideas, methods, instructions or products referred to in the content. |
© 2023 by the author. Licensee MDPI, Basel, Switzerland. This article is an open access article distributed under the terms and conditions of the Creative Commons Attribution (CC BY) license (https://creativecommons.org/licenses/by/4.0/).
Share and Cite
Robitzsch, A. Regularized Mislevy-Wu Model for Handling Nonignorable Missing Item Responses. Information 2023, 14, 368. https://doi.org/10.3390/info14070368
Robitzsch A. Regularized Mislevy-Wu Model for Handling Nonignorable Missing Item Responses. Information. 2023; 14(7):368. https://doi.org/10.3390/info14070368
Chicago/Turabian StyleRobitzsch, Alexander. 2023. "Regularized Mislevy-Wu Model for Handling Nonignorable Missing Item Responses" Information 14, no. 7: 368. https://doi.org/10.3390/info14070368
APA StyleRobitzsch, A. (2023). Regularized Mislevy-Wu Model for Handling Nonignorable Missing Item Responses. Information, 14(7), 368. https://doi.org/10.3390/info14070368
