Uyghur–Kazakh–Kirghiz Text Keyword Extraction Based on Morpheme Segmentation
Abstract
1. Introduction
 (Uyghur)
 (Kazakh)
 (Kirghiz)- Starting from the derivative morphology of Uyghur, Kazakh and Kirghiz languages, we propose a multilingual morpheme segmentation method based on Bi-LSTM_CRF model. We introduce a character embedding vector to efficiently retain the contextual information, and we solve the problem of data sparsity.
 - Stem embedding vector similarity is applied to weight the TextRank algorithm and conducted text keyword extraction task. By categorizing the semantic information and reducing redundancy, the keyword extraction efficiency is improved.
 - Based on the comparative experimental results on different units such as word and stem, the effect of morphological processing is verified for some derivative languages.
 
2. Related Works
2.1. Morpheme Segmentation and Stem Extraction
2.2. Text Keyword Extraction
3. Proposed Method
3.1. Morpheme Segmentation Method Based on the Bi-LSTM_CRF
3.1.1. The Bi-LSTM Model
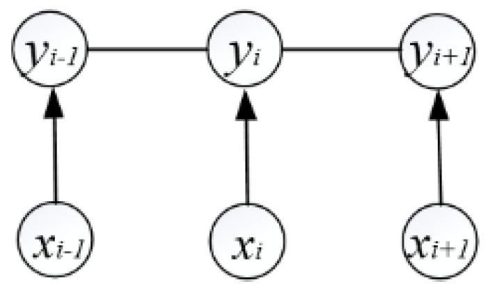
3.1.2. The CRF Model
3.1.3. The Bi-LSTM_CRF-Based Uyghur–Kazakh–Kirghiz Morpheme Segmentation Model
3.2. Text Representation Method Based on the Doc2vec Model
3.3. Text Keyword Extraction Method Based on the TextRank Algorithm
4. Experimental Results and Analysis
4.1. Experimental Corpus and Pre-Processing
4.2. Experimental Results and Analysis
5. Conclusions and Future Work
Author Contributions
Funding
Data Availability Statement
Conflicts of Interest
References
- Salton, G.; Buckley, C. Term-weighting Approaches in Automatic Text Retrieval. Inf. Process. Manag. 1988, 24, 513–523. [Google Scholar] [CrossRef]
 - Firoozeh, N.; Nazarenko, A.; Alizon, F.; Daille, B. Keyword extraction: Issues and methods. Nat. Lang. Eng. 2019, 11, 1–33. [Google Scholar] [CrossRef]
 - Ruhul, A.; Madhusodan, C. Algorithm for Bengali Keyword Extraction. In Proceedings of the International Conference on Bangla Speech and Language Processing, Sylhet, Bangladesh, 21–22 September 2018. [Google Scholar]
 - Ablimit, M.; Parhat, S.; Hamdulla, A.; Zheng, T.F. Multilingual Language Processing Tool for Uyghur, Kazak and Kirghiz. In Proceedings of the Asia-Pacific Signal and Information Processing Association Annual Summit and Conference, Kuala Lumpur, Malaysia, 12–15 December 2017. [Google Scholar]
 - Rena, A.; Li, X.; Ainiwaner, T. Research on Uyghur stem extraction method based on hybrid method. J. Comput. Appl. 2015, 32, 112–114. [Google Scholar]
 - Saidiyaguli, E.; Xiang, L.; Zong, C.; Askar, H. A Multi-Strategy Approach to Uyghur Stemming. J. Chin. Inf. Process. 2015, 29, 204–210. [Google Scholar]
 - Ulan, N.; Rahmotola, M.; Askar, H. The Method of Kazakh Word Lemmatization Based on N-gram Model. Comput. Knowl. Technol. 2017, 13, 160–162. [Google Scholar]
 - Gulinazi; Sun, T.L.; Hu, X.D. Kazakh Text Classification Based on Improved SV-NN. J. Northwest. Norm. Univ. Nat. Sci. Ed. 2018, 50, 63–70. [Google Scholar]
 - Kaibierhan, M. Research on Stem Extraction of Kirgiz Based on Hybrid Method. Master’s Thesis, Xinjiang Normal University, Urumqi, China, 2020. [Google Scholar]
 - Halidanmu, A.; Yong, C.; Yang, L.; Maosong, S. Uyghur morphological segmentation with bidirectional GRU neural networks. J. Tsinghua Univ. (Sci. Technol.) 2017, 57, 1–6. [Google Scholar]
 - Li, J.; Fan, Q.N.; Zhang, K. Keyword Extraction Based on tf/idf for Chinese News Document. Wuhan Univ. J. Nat. Sci. 2007, 12, 917–921. [Google Scholar] [CrossRef]
 - Hasan, K.S.; Ng, V. Conundrums in Unsupervised Keyphrase Extraction: Making Sense of the State-of-the-Art. In Proceedings of the 23rd International Conference on Computational Linguistics, Beijing, China, 23–27 August 2010; pp. 365–373. [Google Scholar]
 - Blei, D.M.; Ng, A.Y.; Jordan, M.I. Latent Dirichlet allocation. J. Mach. Learn. Res. 2003, 3, 993–1022. [Google Scholar]
 - Zhang, K.; Xu, H.; Tang, J.; Li, J. Keyword Extraction Using Support Vector Machine. In Proceedings of the Seventh International Conference on Web-Age Information Management, Hong Kong, China, 17–19 June 2006. [Google Scholar]
 - Irfan, R.; Khan, S.; Qamar, A.M.; Bloodsworth, P.C. Refining Kea++ Automatic Keyphrase Assignment. J. Inf. Sci. 2014, 40, 446–459. [Google Scholar] [CrossRef]
 - Mihalcea, R.; Tarau, P. TextRank: Bringing order into text. EMNLP 2004, 4, 404–411. [Google Scholar]
 - Liu, Z.; Huang, W.; Zheng, Y.; Sun, M. Automatic keyphrase extraction via topic decomposition. In Proceedings of the 2010 Conference on Empirical Methods in Natural Language Processing, Cambridge, MA, USA, 9–11 October 2010; pp. 366–376. [Google Scholar]
 - Pay, T.; Lucci, S. Automatic keyword extraction: An ensemble method. In Proceedings of the 2017 IEEE International Conference on Big Data, Boston, MA, USA, 11–14 December 2017; pp. 4816–4818. [Google Scholar]
 - Peng, L.; Bin, W.; Zhi, W.S. Tag-TextRank: A Webpage Keyword Extraction Method Based on Tags. J. Comput. Res. Dev. 2012, 49, 2344–2351. [Google Scholar]
 - Su, X.K. Study on Extraction of Uyghur Keywords in Public Opinion Analysis. Master’s Thesis, Xinjiang University, Urumqi, China, 2015. [Google Scholar]
 - Ghalip, A.; Li, X. Uyghur Keyword Extraction and Text Classification Based on TextRank Algorithm and Mutual Information Similarity. Comput. Sci. 2016, 43, 43–47. [Google Scholar]
 - Hu, B.Y.; Gulila, A. Research on the Kazakh Network Hot Keywords Extraction Method. Comput. Appl. Softw. 2017, 34, 45–50. [Google Scholar]
 - Imam, S.; Parhat, R.; Hamdulla, A.; Li, Z. Performance Analysis of Different Keyword Extraction Algorithms for Emotion Recognition from Uyghur Text. J. Tsinghua Univ. (Sci. Technol.) 2017, 57, 270–273. [Google Scholar]
 - Besharati, S.; Veisi, H.; Darzi, A.; Saravani, S.H.H. A hybrid statistical and deep learning based technique for Persian part of speech tagging. Iran J. Comput. Sci. 2021, 4, 35–43. [Google Scholar] [CrossRef]
 - Alkhwiter, W.; Al-Twairesh, N. Part-of-speech tagging for Arabic tweets using CRF and Bi-LSTM. Comput. Speech Lang. 2020, 65, 101138. [Google Scholar] [CrossRef]
 - Jin, C.; Shi, Z.; Li, W.; Guo, Y. Bidirectional LSTM-CRF Attention-based Model for Chinese Word Segmentation. arXiv 2021, arXiv:2105.09681. [Google Scholar]
 - Zhang, T.; Xu, R. Performance Comparisons of Bi-LSTM and Bi-GRU Networks in Chinese Word Segmentation. In Proceedings of the 5th International Conference on Deep Learning Technologies, Qingdao, China, 23–25 July 2021. [Google Scholar]
 - Wu, G.; Tang, G.; Wang, Z.; Zhang, Z.; Wang, Z. An Attention-Based BiLSTM-CRF Model for Chinese Clinic Named Entity Recognition. IEEE Access 2019, 7, 113942–113949. [Google Scholar] [CrossRef]
 - Graves, A.; Fernandez, S.; Schmidhuber, J. Bidirectional LSTM Networks for Improved Phoneme Classification and Recognition. In Proceedings of the 15th International Conference on Artificial Neural Networks: Formal Models and Their Applications, Warsaw, Poland, 11–15 September 2005. [Google Scholar]
 - Wang, C.; Chen, J.; Wu, X. Dictionary Chinese Word Segmentation research a method combined with CRFs. In Proceedings of the 5th International Conference on Computer Sciences and Convergence Information Technology, Seoul, Republic of Korea, 30 November–2 December 2010. [Google Scholar]
 - Le, Q.V.; Miklov, T. Distributed Representations of Sentences and Documents. arXiv 2014, arXiv:1405.4053v2. [Google Scholar]
 - Zhou, J.Z.; Cui, X.H. Keyword extraction method based on word vector and TextRank. Appl. Res. Comput. 2019, 36, 97–100. [Google Scholar]
 - Ma, H.; Wang, S.; Li, M.; Li, N. Enhancing graph-based keywords extraction with node association. In Proceedings of the 12th International Conference on Knowledge Science, Engineering and Management, Athens, Greece, 28–30 August 2019. [Google Scholar]
 - Mihalcea, R.; Tarau, P.; Figa, E. PageRank on semantic networks, with application to word sense disambiguation. In Proceedings of the 20th International Conference on Computational Linguistics, Geneva, Switzerland, 23–27 August 2004. [Google Scholar]
 - Sardar, P.; Mijit, A.; Askar, H. A robust morpheme sequence and Convolutional Neural Network based Uyghur and Kazakh short text classification. Information 2019, 10, 387. [Google Scholar]
 - Sardar, P.; Mijit, A.; Askar, H. Keyword Extraction of Uyghur-Kazakh Texts based on Stem Units. Comput. Eng. Sci. 2020, 42, 131–137. [Google Scholar]
 










| Stem | Variants | Affix | 
|---|---|---|
| (doctor) Uyghur:doHtur Kazakh:dariger Kirghiz:darigAr  | (on the doctors) Uyghur:doHturlarda = doHtur + lar + dA (doctors) Kazakh:darigerler = dariger + ler Kirghiz: darigArlAr = darigAr + lAr  | lar + dA ler lAr  | 
| (to the doctor) Uyghur:doHturGa = doHtur + Ga Kazakh:darigerge = dariger + ge Kirghiz:darigArgA = darigAr + gA  | Ga Ge gA  | |
| (medicine) Uyghur:doHturluq = doHtur + luq Kazakh:darigerlik = dariger + lik Kirghiz:darigArlik = darigAr + lik  | luq lik lik  | 
| # of Category | Language | No. of Word Vocabulary  | No. of Stem Vocabulary  | Stem-Word  Vocabulary Ratio (%)  | 
|---|---|---|---|---|
| 9 | Uyghur | 89,819 | 26,810 | 29.85 | 
| 8 | Kazakh | 84,205 | 25,354 | 30.11 | 
| 6 | Kirghiz | 35,643 | 11,024 | 30.93 | 
| Method | Language | Result (%) | ||
|---|---|---|---|---|
| P | R | F1 | ||
| TF | Uyghur | 26.7 | 32.7 | 29.4 | 
| Kazakh | 26.5 | 32.4 | 29.2 | |
| Kirghiz | 25.9 | 31.8 | 28.5 | |
| TFIDF | Uyghur | 27.7 | 32.9 | 30.1 | 
| Kazakh | 27.5 | 33.4 | 30.2 | |
| Kirghiz | 27.5 | 33.2 | 30.1 | |
| TextRank | Uyghur | 33.4 | 43.4 | 37.7 | 
| Kazakh | 32.9 | 42.7 | 37.2 | |
| Kirghiz | 32.7 | 42.3 | 36.9 | |
| Word2vec_TFIDF | Uyghur | 34.5 | 38.8 | 36.5 | 
| Kazakh | 34.3 | 38.6 | 36.3 | |
| Kirghiz | 34.3 | 38.3 | 36.2 | |
| Doc2vec_TextRank | Uyghur | 42.8 | 44.1 | 43.4 | 
| Kazakh | 43.2 | 44.7 | 43.9 | |
| Kirghiz | 42.9 | 44.3 | 43.6 | |
| Method | Language | Result (%) | ||
|---|---|---|---|---|
| P | R | F1 | ||
| TF | Uyghur | 24.9 | 30.8 | 27.5 | 
| Kazakh | 24.7 | 30.5 | 27.3 | |
| Kirghiz | 24.1 | 29.9 | 26.7 | |
| TFIDF | Uyghur | 30.9 | 34.1 | 32.4 | 
| Kazakh | 31.1 | 34.3 | 32.6 | |
| Kirghiz | 31 | 34.1 | 32.5 | |
| TextRank | Uyghur | 33.1 | 44.2 | 37.9 | 
| Kazakh | 32.8 | 44.1 | 37.6 | |
| Kirghiz | 32.4 | 44.3 | 37.4 | |
| Word2vec_TFIDF | Uyghur | 36.3 | 43.2 | 39.5 | 
| Kazakh | 36.4 | 43 | 39.4 | |
| Kirghiz | 35.8 | 43.1 | 39.1 | |
| Doc2vec_TextRank | Uyghur | 42.1 | 45.3 | 43.6 | 
| Kazakh | 42.5 | 45.6 | 44 | |
| Kirghiz | 42.4 | 45.5 | 43.9 | |
| Method | Language | Result (%) | ||
|---|---|---|---|---|
| P | R | F1 | ||
| TF | Uyghur | 23.2 | 29.7 | 26.1 | 
| Kazakh | 23.5 | 29.6 | 26.2 | |
| Kirghiz | 22.9 | 29.1 | 25.6 | |
| TFIDF | Uyghur | 32.3 | 39.5 | 35.5 | 
| Kazakh | 32.8 | 39.9 | 36 | |
| Kirghiz | 32.4 | 39.8 | 35.7 | |
| TextRank | Uyghur | 33.7 | 42.6 | 37.6 | 
| Kazakh | 33.5 | 42.7 | 37.5 | |
| Kirghiz | 33.1 | 42.3 | 37.1 | |
| Word2vec_TFIDF | Uyghur | 40.6 | 45.7 | 43 | 
| Kazakh | 40.9 | 45.5 | 43.1 | |
| Kirghiz | 40.1 | 44.9 | 42.4 | |
| Doc2vec_TextRank | Uyghur | 41.4 | 46.5 | 43.8 | 
| Kazakh | 41.3 | 46.9 | 43.9 | |
| Kirghiz | 41.5 | 46.4 | 43.8 | |
| Method | Language | Result (%) | ||
|---|---|---|---|---|
| P | R | F1 | ||
| TF | Uyghur | 22.8 | 30.4 | 26.1 | 
| Kazakh | 22.5 | 30.8 | 26 | |
| Kirghiz | 22.1 | 30.5 | 25.6 | |
| TFIDF | Uyghur | 31.8 | 40.2 | 35.5 | 
| Kazakh | 31.4 | 40.5 | 35.4 | |
| Kirghiz | 31.7 | 39.9 | 35.3 | |
| TextRank | Uyghur | 32.6 | 43.9 | 37.4 | 
| Kazakh | 32.9 | 43.6 | 37.5 | |
| Kirghiz | 32.6 | 43.5 | 37.3 | |
| Word2vec_TFIDF | Uyghur | 39.7 | 45.9 | 42.6 | 
| Kazakh | 39.5 | 45.9 | 42.5 | |
| Kirghiz | 39 | 45.2 | 41.9 | |
| Doc2vec_TextRank | Uyghur | 39.8 | 47.2 | 43.2 | 
| Kazakh | 39.2 | 47.3 | 42.9 | |
| Kirghiz | 39.7 | 47.2 | 43.1 | |
| Method | No. of Keywords | Language | Vocabulary Unit | Result (%) | ||
|---|---|---|---|---|---|---|
| P | R | F1 | ||||
| Doc2vec_TextRank | 3 | Uyghur | Word | 40.5 | 41.3 | 40.9 | 
| Stem | 42.8 | 44.1 | 43.4 | |||
| Kazakh | Word | 40.7 | 41.5 | 41.1 | ||
| Stem | 43.2 | 44.7 | 43.9 | |||
| Kirghiz | Word | 41.1 | 41.7 | 41.4 | ||
| Stem | 42.9 | 44.3 | 43.6 | |||
| 4 | Uyghur | Word | 39.7 | 42.8 | 41.2 | |
| Stem | 42.1 | 45.3 | 43.6 | |||
| Kazakh | Word | 39.3 | 42.4 | 40.8 | ||
| Stem | 42.5 | 45.6 | 44.0 | |||
| Kirghiz | Word | 39.8 | 42.7 | 41.2 | ||
| Stem | 42.4 | 45.5 | 43.9 | |||
| 5 | Uyghur | Word | 39 | 44.2 | 41.4 | |
| Stem | 41.4 | 46.5 | 43.8 | |||
| Kazakh | Word | 38.8 | 44.5 | 41.5 | ||
| Stem | 41.3 | 46.9 | 43.9 | |||
| Kirghiz | Word | 39.2 | 44.3 | 41.6 | ||
| Stem | 41.5 | 46.4 | 43.8 | |||
| 7 | Uyghur | Word | 37.1 | 45.6 | 40.9 | |
| Stem | 39.8 | 47.2 | 43.2 | |||
| Kazakh | Word | 37.5 | 45.3 | 41.0 | ||
| Stem | 39.2 | 47.3 | 42.9 | |||
| Kirghiz | Word | 37.6 | 45.5 | 41.2 | ||
| Stem | 39.7 | 47.2 | 43.1 | |||
Disclaimer/Publisher’s Note: The statements, opinions and data contained in all publications are solely those of the individual author(s) and contributor(s) and not of MDPI and/or the editor(s). MDPI and/or the editor(s) disclaim responsibility for any injury to people or property resulting from any ideas, methods, instructions or products referred to in the content.  | 
© 2023 by the authors. Licensee MDPI, Basel, Switzerland. This article is an open access article distributed under the terms and conditions of the Creative Commons Attribution (CC BY) license (https://creativecommons.org/licenses/by/4.0/).
Share and Cite
Parhat, S.; Sattar, M.; Hamdulla, A.; Kadir, A. Uyghur–Kazakh–Kirghiz Text Keyword Extraction Based on Morpheme Segmentation. Information 2023, 14, 283. https://doi.org/10.3390/info14050283
Parhat S, Sattar M, Hamdulla A, Kadir A. Uyghur–Kazakh–Kirghiz Text Keyword Extraction Based on Morpheme Segmentation. Information. 2023; 14(5):283. https://doi.org/10.3390/info14050283
Chicago/Turabian StyleParhat, Sardar, Mutallip Sattar, Askar Hamdulla, and Abdurahman Kadir. 2023. "Uyghur–Kazakh–Kirghiz Text Keyword Extraction Based on Morpheme Segmentation" Information 14, no. 5: 283. https://doi.org/10.3390/info14050283
APA StyleParhat, S., Sattar, M., Hamdulla, A., & Kadir, A. (2023). Uyghur–Kazakh–Kirghiz Text Keyword Extraction Based on Morpheme Segmentation. Information, 14(5), 283. https://doi.org/10.3390/info14050283
        
