The Acceptance of Independent Autonomous Vehicles and Cooperative Vehicle-Highway Autonomous Vehicles
Abstract
:1. Introduction
2. Literature Review
- The safety and risk of autonomous technology has received extensive attention in the field of acceptance research. When considering the acceptance of autonomous technology, the public will consider many factors. In existing research, scholars have summarized multiple influencing factors through “acceptance behavior theory”. In the process, they have gradually discovered that although the public affirms the convenience brought by autonomous driving to a certain extent, people are not satisfied with their safety [17,18,19]. Kaur et al. [6] used risk factors to evaluate people’s trust in autonomous driving in a study based on the UTAUT and discussed its impact on the acceptance of autonomous driving.
- The public’s perception of the risk of autonomous technology is different, and further research is needed. Rogers pointed out in the innovation diffusion theory that people with strong innovative spirits often show an active exploration attitude towards the surrounding information of new technologies, and these people may be early adopters of new technologies [20]. It can be seen that the sense of innovation will drive people to take risks to a certain extent, and people with high risk tolerance may pay more attention to the benefits of the technology. Therefore, this study starts with the heterogeneity of risk perception and evaluates people’s trade-offs between risks and advantages to study the acceptance of autonomous driving.
- The SEM and ANNs have their own applicability and limitations in the study of acceptance of autonomous driving. The SEM can analyze the causal relationship between multiple variables, but it cannot explain the nonlinear mechanism in technology acceptance behavior. Compared with ANNs, the SEM lacks the comprehensiveness of prediction. However, it is difficult to study the correlation between behavioral intentions and dependent variables only through an ANN, and there is no basis for obtaining psychological variables in the neuron input layer, which leads to biased weight mapping results.
- At present, in the literature collected using the SEM to study the acceptance of autonomous driving technology, there is no research method that extends the SEM through an ANN. The output of the SEM is used as the input of the ANN, which not only compensates for the linearity problem of the SEM but also guarantees the accuracy of the input variables of the ANN. As a result, the explanatory power of behavioral willingness is improved, and the linear and nonlinear relationship between the predictor variables and dependent variables can be comprehensively analyzed. Therefore, this study introduces a combination of the SEM and an ANN to achieve the purpose of explaining the acceptance of autonomous driving more accurately.
3. Research Method
3.1. Data Analysis Model
3.2. Acceptance Behavior Theory
4. Empirical Analysis
4.1. Data Acquisition and Inspection
4.1.1. Reliability Test
4.1.2. Validity Test
4.2. Structural Equation Model Analysis
4.3. Artificial Neural Network Analysis
5. Empirical Analysis Results
5.1. Willingness to Accept
5.2. Suggestions and Strategies
- 1.
- Intensify the promotion of autonomous technology through mass media and regional pilots.
- 2.
- Lowering the threshold for the use of autonomous technology through test drive experience and optimized pricing strategies.
- 3.
- Promote the entry of autonomous vehicles into the market through the construction of smart transportation infrastructure.
6. Results and Prospects
6.1. Research Results
6.2. Research Prospect
Author Contributions
Funding
Conflicts of Interest
Appendix A
Appendix A.1. Acceptance Survey of Independent Autonomous Vehicles and Cooperative Vehicle-Highway Autonomous Vehicles
- 1.
- Your gender:
- 2.
- Your age:
- 3.
- Your marital status:
- 4.
- Your education:
- 5.
- Your monthly income:
- 6.
- Your current occupation:
- 7.
- Do you have a driver’s license:
- 8.
- How many cars do you have:
- 9.
- Through what channels have you learned about autonomous vehicles (multiple choice):
- 10.
- What do you do when riding in a fully autonomous vehicle that does not require manual operation (multiple choices):
Appendix A.2. Attitude Survey (Please Read the Following Description in Full)
| Independent Autonomous Vehicles | Cooperative Vehicle-Highway Autonomous Vehicles |
|---|---|
![]() | ![]() |
| Independent autonomous vehicles rely on its radars, cameras, sensors, and other equipment to perceive road and traffic conditions. The vehicles use computer analysis and decision making to choose a suitable route to drive. Among the independent autonomous vehicles that have come out, the cost of a variety of high-precision sensors accounts for about 40% of the total vehicle cost. These sensors also allow the vehicles to run on existing roads, the most representative of which are Tesla and Google autonomous vehicles. | Cooperative vehicle-highway autonomous vehicles mainly monitor the road in real time through roadside sensing devices. These devices send information such as the speed and location of each car and person on the road to the driving car in real time, and the car realizes automatic driving based on this information. In this mode, the car must drive on a dedicated road with roadside sensing equipment. Several vehicles can even automatically queue up at the same interval, and the cost of the roadside equipment is shared among all car owners. |
| Items | Strongly Disagree | Disagree | Not Sure | Agree | Strongly Agree |
|---|---|---|---|---|---|
| 11. Independent autonomous vehicles can save driving time. 12. Cooperative vehicle-highway autonomous vehicles can save driving time. | |||||
| 13. I feel safe to cross the road in front of independent autonomous vehicles. 14. I feel safe to cross the road in front of cooperative vehicle-highway autonomous vehicles. | |||||
| 15. I should have the ability to use an independent autonomous vehicle. 16. I should have the ability to use a cooperative vehicle-highway autonomous vehicle. | |||||
| 17. After independent autonomous vehicles are put on the market, I plan to use one as a daily travel tool. 18. After cooperative vehicle-highway autonomous vehicles are put on the market, I plan to use one as a daily travel tool. | |||||
| 19. Independent autonomous vehicles will reduce traffic violations. 20. Cooperative vehicle-highway autonomous vehicles will reduce traffic violations. | |||||
| 21. People who are important to me think that I should use an independent autonomous vehicle. 22. People who are important to me think that I should use a cooperative vehicle-highway autonomous vehicle. | |||||
| 23. After independent autonomous vehicles are put on the market, I believe I can afford them. 24. After cooperative vehicle-highway autonomous vehicles are put on the market, I believe I can afford them. | |||||
| 25. Independent autonomous vehicles will make roads safer. 26. Cooperative vehicle-highway autonomous vehicles will make roads safer. | |||||
| 27. Independent autonomous vehicles will effectively interact with other vehicles. 28. Cooperative vehicle-highway autonomous vehicles will effectively interact with other vehicles. | |||||
| 29. Existing transportation infrastructure can support the advancement of independent autonomous technology. 30. Existing transportation infrastructure can support the advancement of cooperative vehicle-highway autonomous technology. | |||||
| 31. Interacting with an independent autonomous system does not require a lot of brain power. 32. Interacting with a cooperative vehicle-highway autonomous system does not require a lot of brain power. | |||||
| 33. Using an independent autonomous vehicle can give me more time to do other things. 34. Using a cooperative vehicle-highway autonomous vehicle can give me more time to do other things. | |||||
| 35. The independent autonomous system helps reduce the risk of car collisions. 36. The cooperative vehicle-highway autonomous system helps reduce the risk of car collisions. | |||||
| 37. After the independent autonomous vehicle is put on the market, I will use it frequently in future trips. 38. After the cooperative vehicle-highway autonomous vehicle is put on the market, I will use it frequently in future trips. | |||||
| 39. People who are important to me or those who influence my behavior will trust independent autonomous vehicles (or have a positive attitude towards them). 40. People who are important to me or those who influence my behavior will trust cooperative vehicle-highway autonomous vehicles (or have a positive attitude towards them). | |||||
| 41. After the independent autonomous vehicle is put on the market, I believe I can buy or rent it. 42. After the cooperative vehicle-highway autonomous vehicle is put on the market, I believe I can buy or rent it. | |||||
| 43. The independent autonomous vehicle will reduce my problems when driving. 44. The cooperative vehicle-highway autonomous vehicle will reduce my problems when driving. | |||||
| 45. My relatives and friends will support me in using an independent autonomous vehicle. 46. My relatives and friends will support me in using a cooperative vehicle-highway autonomous vehicle. | |||||
| 47. Manual driving is safer than independent autonomous vehicle driving. 48. Manual driving is safer than cooperative vehicle-highway autonomous vehicle driving. | |||||
| 49. The emergence of independent autonomous vehicles will make the entire transportation system smoother. 50. The emergence of cooperative vehicle-highway autonomous vehicles will make the entire transportation system smoother. | |||||
| 51. Independent autonomous vehicles are vulnerable to new security issues, such as hacking and data security. 52. Cooperative vehicle-highway autonomous vehicles are vulnerable to new security issues, such as hacking and data security. | |||||
| 53. I may not be able to operate an independent autonomous vehicle. 54. I may not be able to operate a cooperative vehicle-highway autonomous vehicle. | |||||
| 55. The independent autonomous vehicle is compatible with all aspects of the urban transportation system. 56. The cooperative vehicle-highway autonomous vehicle is compatible with all aspects of the urban transportation system. | |||||
| 57. When self-driving vehicles are put on the market, in future trips, I am willing to act as the main driver of independent autonomous vehicles. 58. When self-driving vehicles are put on the market, in future trips, I am willing to act as the main driver of cooperative vehicle-highway autonomous vehicles. | |||||
| 59. The attitudes and opinions of people around me towards autonomous vehicles will affect my use of independent autonomous vehicles. 60. The attitudes and opinions of people around me towards autonomous vehicles will affect my use of cooperative vehicle-highway autonomous vehicles. | |||||
| 61. I am used to trying new technology products. | |||||
| 62. I am usually the first person among my friends to use a new generation of technology products. | |||||
| 63. I often pay attention to the upgrading of technology products. |
Appendix B
| Variables | Measurement Problem Item |
|---|---|
| PE | PE_S1: Independent autonomous vehicles can save driving time. |
| PE_C1: Cooperative vehicle-highway autonomous vehicles can save driving time. | |
| PE_S2: Independent autonomous vehicles will reduce traffic violations. | |
| PE_C2: Cooperative vehicle-highway autonomous vehicles will reduce traffic violations. | |
| PE_S3: Using an independent autonomous vehicle can give me more time to do other things. | |
| PE_C3: Using a cooperative vehicle-highway autonomous vehicle can give me more time to do other things. | |
| EE | EE_S1: I should be able to operate an independent autonomous vehicle. |
| EE_C1: I should be able to operate a cooperative vehicle-highway autonomous vehicle. | |
| EE_S2: It does not take me a lot of brainpower to interact with an independent autonomous vehicle. | |
| EE_C2: It does not take me a lot of brainpower to interact with a cooperative vehicle-highway autonomous vehicle. | |
| EE_S3: When the independent autonomous vehicles are put on the market, I believe I can buy or rent them. | |
| EE_C3: When the cooperative vehicle-highway autonomous vehicles are put on the market, I believe I can buy or rent them. | |
| EE_S4: I may not be able to operate an independent autonomous vehicle. | |
| EE_C4: I may not be able to operate a cooperative vehicle-highway autonomous vehicle. | |
| SI | SI_S1: People who are important to me think that I should use an independent autonomous vehicle. |
| SI_C1: People who are important to me think that I should use a cooperative vehicle-highway autonomous vehicle. | |
| SI_S2: People who are important to me or those who influence my behavior will trust independent autonomous vehicles. | |
| SI_C2: People who are important to me or those who influence my behavior will trust cooperative vehicle-highway autonomous vehicles. | |
| SI_S3: My relatives and friends will support me in using an independent autonomous vehicle. | |
| SI_C3: My relatives and friends will support me in using a cooperative vehicle-highway autonomous vehicle. | |
| FC | FC_S1: Independent autonomous vehicles will effectively interact with other vehicles. |
| FC_C1: Cooperative vehicle-highway autonomous vehicles will effectively interact with other vehicles. | |
| FC_S2: Existing transportation infrastructure can support the advancement of independent autonomous vehicles. | |
| FC_C2: Existing transportation infrastructure can support the advancement of cooperative vehicle-highway autonomous vehicles. | |
| FC_S3: An independent autonomous vehicle is compatible with all aspects of the urban transportation system. | |
| FC_C3: A cooperative vehicle-highway autonomous vehicle is compatible with all aspects of the urban transportation system. | |
| BI | BI_S1: When an independent autonomous vehicle is put on the market, I plan to use it as a daily transportation tool in future trips. |
| BI_C1: When a cooperative vehicle-highway autonomous vehicle is put on the market, I plan to use it as a daily transportation tool in future trips. | |
| BI_S2: When an independent autonomous vehicle is put on the market, I will use it frequently in future trips. | |
| BI_C2: When a cooperative vehicle-highway autonomous vehicle is put on the market, I will use it frequently in future trips. | |
| BI_S3: When an independent autonomous vehicle is put on the market, I am willing to focus on it in future travel. | |
| BI_C3: When a cooperative vehicle-highway autonomous vehicle is put on the market, I am willing to focus on it in future travel. | |
| RE | RE_S1: I feel safe to cross the road in front of an independent autonomous vehicle. |
| RE_C1: I feel safe to cross the road in front of a cooperative vehicle-highway autonomous vehicle. | |
| RE_S2: Independent autonomous vehicles will make roads safer. | |
| RE_C2: Cooperative vehicle-highway autonomous vehicles will make roads safer. | |
| RE_S3: Independent autonomous vehicles help reduce the risk of car collisions. | |
| RE_C3: Cooperative vehicle-highway autonomous vehicles help reduce the risk of car collisions. | |
| CI | CI_1: I like to try new technology products. |
| CI_2: I am usually the first person among my friends to use a new generation of technology products. | |
| CI_3: I often pay attention to the upgrading of technology products. |
References
- Milakism, D.; Van Arem, B.; Van Wee, B. Policy and society related implications of automated driving: A review of literature and directions for future research. J. Intell. Transp. Syst. 2017, 21, 324–348. [Google Scholar] [CrossRef]
- Banks, V.A.; Plant, K.L.; Stanton, N.A. Driver error or designer error: Using the Perceptual Cycle Model to explore the circumstances surrounding the fatal Tesla crash on 7th May 2016. Saf. Sci. 2018, 108, 278–285. [Google Scholar] [CrossRef] [Green Version]
- Ling, B.; Xiong, Y.; Sun, Y.; Ren, S.; Huang, Y.; Wang, H. Talking about how to deal with the new challenges of auto insurance in the era of autonomous driving. China Manag. Inf. 2019, 22, 125–128. [Google Scholar]
- China Mobile Communications Group Co., Ltd. China Mobile 5G Joint Innovation Center Innovation Research Report-Next Generation Internet of Vehicles Innovation Research Report; China Mobile 5G Joint Innovation Center: Hong Kong, China, 2019. [Google Scholar]
- Haboucha, C.J.; Ishaq, R.; Shiftan, Y. User preferences regarding autonomous vehicles. Transp. Res. Part C Emerg. Technol. 2017, 78, 37–49. [Google Scholar] [CrossRef]
- Kaur, K.; Rampersad, G. Trust in driverless cars: Investigating key factors influencing the adoption of driverless cars. J. Eng. Technol. Manag. 2018, 48, 87–96. [Google Scholar] [CrossRef]
- Hartwich, F.; Witzlack, C.; Beggiato, M.; Krems, J.F. The first impression counts–A combined driving simulator and test track study on the development of trust and acceptance of highly automated driving. Transp. Res. Part F Traffic Psychol. Behav. 2018, 65, 522–535. [Google Scholar] [CrossRef]
- Kettles, N.; Van, B.J.-P. Investigation into the antecedents of autonomous car acceptance using an enhanced UTAUT model. In Proceedings of the 2019 International Conference on Advances in Big Data, Computing and Data Communication Systems, Drakensberg Sun Resort, KwaZulu Natal, South Africa, 5–6 August 2019; pp. 1–6. [Google Scholar]
- Manfreda, A.; Ljubi, K.; Groznik, A. Autonomous vehicles in the smart city era: An empirical study of adoption factors important for millennials. Int. J. Inf. Manag. 2019, 58, 102050. [Google Scholar] [CrossRef]
- Liébana-Cabanillas, F.; Marinkovic, V.; De Luna, I.R.; Kalinic, Z. Predicting the determinants of mobile payment acceptance: A hybrid SEM-neural network approach. Technol. Forecast. Soc. Chang. 2018, 129, 117–130. [Google Scholar] [CrossRef]
- Hew, T.-S.; Leong, L.-Y.; Ooi, K.-B. Predicting drivers of mobile entertainment adoption: A two-stage SEM-artificial-neural-network analysis. J. Comput. Inf. Syst. 2016, 56, 352–370. [Google Scholar] [CrossRef]
- Tan, G.W.-H.; Ooi, K.-B.; Leong, L.-Y. Predicting the drivers of behavioral intention to use mobile learning: A hybrid SEM-Neural Networks approach. Comput. Hum. Behav. 2014, 36, 198–213. [Google Scholar] [CrossRef]
- Sharma, S.-K.; Gaura, A.; Saddikuti, V. Structural equation model (SEM)-neural network (NN) model for predicting quality determinants of e-learning management systems. Behav. Inf. Technol. 2017, 36, 1053–1066. [Google Scholar] [CrossRef]
- Arif, I.; Aslam, W.; Hwang, Y. Barriers in adoption of internet banking: A structural equation modeling-Neural network approach. Technol. Soc. 2020, 61, 101231. [Google Scholar] [CrossRef]
- Sim, J.-J.; Tan, G.W.-H.; Wong, J.C. Understanding and predicting the motivators of mobile music acceptance–a multi-stage MRA-artificial neural network approach. Telemat. Inform. 2014, 31, 569–584. [Google Scholar] [CrossRef]
- Chong, A.Y.-L. Predicting m-commerce adoption determinants: A neural network approach. Expert Syst. Appl. 2013, 40, 523–530. [Google Scholar] [CrossRef]
- Solbraa Bay, A.J. Innovation Adoption in Robotics: Consumer Intentions to Use Autonomous Vehicles; Norwegian School of Economics: Bergen, Norway, 2016. [Google Scholar]
- Zhang, T.; Tao, D.; Qu, X.; Zhang, X.; Lin, R.; Zhang, W. The roles of initial trust and perceived risk in public’s acceptance of automated vehicles. Transp. Res. Part C Emerg. Technol. 2019, 98, 207–220. [Google Scholar] [CrossRef]
- Liu, P.; Yang, R.; Xu, Z. Public acceptance of fully automated driving: Effects of social trust and risk/benefit perceptions. Risk Anal. 2019, 39, 326–341. [Google Scholar] [CrossRef]
- Rogers, E.M. Diffusion of Innovations; Simon and Schuster: New York, NY, USA, 2010. [Google Scholar]
- Cheng, K.M. Characteristics and application of structural equation model. Stat. Decis. 2006, 10, 22–25. [Google Scholar]
- Zmud, J.; Sener, I.N.; Wagner, J. Consumer Acceptance and Travel Behavior: Impacts of Automated Vehicles; Texas A&M Transportation Institute: College Station, TX, USA, 2016. [Google Scholar]
- Xu, Z.; Zhang, K.; Min, H.; Wang, Z.H.; Zhao, X.; Liu, P. What drives people to accept automated vehicles? Findings from a field experiment. Transp. Res. Part C Emerg. Technol. 2018, 95, 320–334. [Google Scholar] [CrossRef]
- Bennett, R.; Vijaygopal, R.; Kottasz, R. Willingness of people who are blind to accept autonomous vehicles: An empirical investigation. Transp. Res. Part F Traffic Psychol. Behav. 2020, 69, 13–27. [Google Scholar] [CrossRef]
- Singh, R.; Chowdhury, P.; Samuel, M.S. Artificial neural networks: A tool for understanding green consumer behavior. Mark. Intell. Plan. 2014, 32, 552–566. [Google Scholar]
- Kadali, B.R.; Rathi, N.; Perumal, V. Evaluation of pedestrian mid-block road crossing behaviour using artificial neural network. J. Traffic Transp. Eng. 2014, 1, 111–119. [Google Scholar]
- Yan, B.; Chu, X.; Zhang, L. User perception modeling by combining structural equation model and artificial neural network. J. Shanghai Jiaotong Univ. 2019, 53, 830–837. [Google Scholar]
- Venkatesh, V.; Morris, M.G.; Davis, G.B.; Davis, F.D. User acceptance of information technology: Toward a unified view. MIS Q. 2003, 27, 425–478. [Google Scholar] [CrossRef] [Green Version]
- Fang, M. Reliability test under structural equation model. Chin. J. Health Stat. 2009, 29, 524–526. [Google Scholar]
- George, D.; Mallery, P. SPSS for Windows step by step: As simple guide and reference. Comput. Softw. 2010, 100, 357. [Google Scholar]
- Acheampong, R.A.; Cugurullo, F. Capturing the behavioural determinants behind the adoption of autonomous vehicles: Conceptual frameworks and measurement models to predict public transport, sharing and ownership trends of self-driving cars. Transp. Res. Part F Traffic Psychol. Behav. 2019, 62, 349–375. [Google Scholar] [CrossRef] [Green Version]
- Jing, P.; Huang, H.; Ran, B. Exploring the factors affecting mode choice Intention of autonomous vehicle based on an extended theory of planned behavior—A case study in China. Sustainability 2019, 11, 1155. [Google Scholar] [CrossRef] [Green Version]
- Kulviwat, S.; Bruner, G.C., II; Al-shuridah, O. The role of social influence on adoption of high tech innovations: The moderating effect of public/private consumption. J. Bus. Res. 2009, 62, 706–712. [Google Scholar] [CrossRef]
- Zhu, C.; Zhu, Y.; Lu, R.; He, R.; Xia, Z. Perceptions and aspirations for car ownership among Chinese students attending two universities in the Yangtze Delta, China. J. Transp. Geogr. 2012, 24, 315–323. [Google Scholar] [CrossRef]
- Choi, J.K.; Ji, Y.G. Investigating the Importance of Trust on Adopting an Autonomous Vehicle. Int. J. Hum.-Comput. Interact. 2015, 31, 692–702. [Google Scholar] [CrossRef]
- Viswanath, V.; Thong, J.Y.L.; Xu, X. Consumer acceptance and use of information technology: Extending the unified theory of acceptance and use of technology. MIS Q. 2012, 36, 157–178. [Google Scholar]
- Leicht, T.; Chtourou, A.; Youssef, K.B. Consumer innovativeness and intentioned autonomous car adoption. J. High Technol. Manag. Res. 2018, 29, 1–11. [Google Scholar] [CrossRef]
- Roehrich, G. Consumer innovativeness: Concepts and measurements. J. Bus. Res. 2004, 57, 671–677. [Google Scholar] [CrossRef]
- Hirunyawipada, T.; Paswan, A.K. Consumer innovativeness and perceived risk: Implications for high technology product adoption. J. Consum. Mark. 2006, 23, 182–198. [Google Scholar] [CrossRef]












| Independent Autonomous Vehicles | Cooperative Vehicle-Highway Autonomous Vehicles | ||
|---|---|---|---|
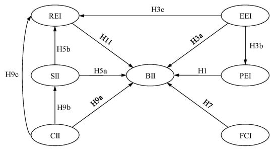
| H1 | PE will significantly affect the willingness to accept independent autonomous vehicles. | H2 | PE will significantly affect the willingness to accept cooperative vehicle-highway autonomous vehicles. |
| H3a | EE will significantly affect the willingness to accept independent autonomous vehicles. | H4a | EE will significantly affect the willingness to accept cooperative vehicle-highway autonomous vehicles. |
| H3b | EE will affect the willingness to accept independent autonomous vehicles through PE. | H4b | EE will affect the willingness to accept cooperative vehicle-highway autonomous vehicles through PE. |
| H3c | EE will affect the willingness to accept independent autonomous vehicles through RE. | H4c | EE will affect the willingness to accept cooperative vehicle-highway autonomous vehicles through RE. |
| H5a | SI will significantly affect the willingness to accept independent autonomous vehicles. | H6a | SI will significantly affect the willingness to accept cooperative vehicle-highway autonomous vehicles. |
| H5b | SI will affect the willingness to accept independent autonomous vehicles through RE. | H6b | SI will affect the willingness to accept cooperative vehicle-highway autonomous vehicles through RE. |
| H7 | FC will significantly affect the willingness to accept independent autonomous vehicles. | H8 | FC will significantly affect the willingness to accept cooperative vehicle-highway autonomous vehicles. |
| H9a | CI will significantly affect the willingness to accept independent autonomous vehicles. | H10a | CI will significantly affect the willingness to accept cooperative vehicle-highway autonomous vehicles. |
| H9b | CI will affect the willingness to accept independent autonomous vehicles through SI. | H10b | CI will affect the willingness to accept cooperative vehicle-highway autonomous vehicles through SI. |
| H9c | CI will affect the willingness to accept independent autonomous vehicles through RE. | H10c | CI will affect the willingness to accept cooperative vehicle-highway autonomous vehicles through RE. |
| H11 | RE will significantly affect the willingness to accept independent autonomous vehicles. | H12 | RE will significantly affect the willingness to accept cooperative vehicle-highway autonomous vehicles. |
| Division N of Items | Frequency | Perecent (%) | |
|---|---|---|---|
| Gender | Men | 447 | 57.5% |
| Women | 331 | 42.5% | |
| Age | 18–25 | 317 | 40.7% |
| 26–35 | 231 | 29.7% | |
| 36–45 | 152 | 19.6% | |
| 46–55 | 55 | 7.0% | |
| Older than 55 | 23 | 3.0% | |
| Monthly income | Below CNY 2000 | 236 | 30.3% |
| CNY 2001–5000 | 179 | 23.0% | |
| CNY 5001–8000 | 196 | 25.2% | |
| CNY 8000–15,000 | 119 | 15.3% | |
| More than CNY 15,000 | 48 | 6.2% | |
| Education level | Primary (elementary/middle school) | 143 | 18.4% |
| Secondary (high school) | 74 | 9.5% | |
| Junior college | 155 | 19.9% | |
| University (undergraduate) | 327 | 42.0% | |
| Postgraduate | 79 | 10.1% | |
| Driver’s license | Yes | 504 | 64.8% |
| No | 274 | 35.2% | |
| Number of cars owned | 0 | 148 | 19.0% |
| 1 | 465 | 59.8% | |
| 2 | 142 | 18.3% | |
| More than 3 | 23 | 3.0% | |
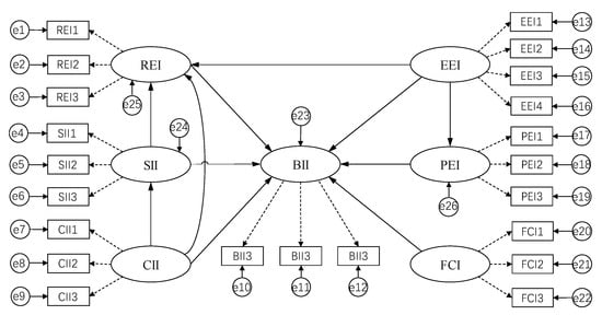
| Latent Variables | N of Items | α | C.R. |
|---|---|---|---|
| PE | 3/3 | 0.773; 0.764 | 0.782; 0.788 |
| EE | 4/4 | 0.847; 0.803 | 0.831; 0.793 |
| SI | 3/3 | 0.770; 0.778 | 0.822; 0.811 |
| FC | 3/3 | 0.793; 0.825 | 0.766; 0.787 |
| BI | 3/3 | 0.788; 0.791 | 0.791; 0.793 |
| RE | 3/3 | 0.843; 0.879 | 0.828; 0.819 |
| CI | 3 | 0.828 | 0.835 |
| Latent Variables | Observed Variables | Normalization Factor Loading Coefficient | AVE |
|---|---|---|---|
| PE | PE_S1; PE_C1 | 0.71; 0.77 | 0.773; 0.764 |
| PE_S2; PE_C2 | 0.68; 0.71 | ||
| PE_S3; PE_C3 | 0.79; 0.69 | ||
| EE | EE_S1; EE_C1 | 0.78; 0.77 | 0.847; 0.803 |
| EE_S2; EE_C2 | 0.78; 0.68 | ||
| EE_S4; EE_C4 | 0.74; 0.62 | ||
| EE_S5; EE_C5 | 0.72; 0.78 | ||
| SI | SI_S1; SI_C1 | 0.64; 0.72 | 0.770; 0.778 |
| SI_S2; SI_C2 | 0.78; 0.75 | ||
| SI_S3; SI_C3 | 0.79; 0.74 | ||
| FC | FC_S1; FC_C1 | 0.81; 0.83 | 0.793; 0.825 |
| FC_S2; FC_C2 | 0.77; 0.73 | ||
| FC_S3; FC_C3 | 0.68; 0.79 | ||
| BI | BI_S1; FC_C1 | 0.75; 0.79 | 0.788; 0.791 |
| BI_S2; FC_C2 | 0.78; 0.82 | ||
| BI_S3; FC_C3 | 0.75; 0.83 | ||
| RE | RE_S1; RE_C1 | 0.78; 0.74 | 0.843; 0.879 |
| RE_S2; RE_C2 | 0.78; 0.81 | ||
| RE_S3; RE_C3 | 0.71; 0.74 | ||
| CI | CI_1 | 0.81 | 0.837 |
| CI_2 | 0.82 | ||
| CI_3 | 0.78 |
| Index Name | χ2/df | RMSEA | CFI | GFI | NFI | IFI |
|---|---|---|---|---|---|---|
| Test Critical Value | <3, Good | >0.05, Excellent | >0.9 | >0.9 | >0.9 | >0.9 |
| <5, Accepted | >0.08, Good | |||||
| Model Parameter Value | 3.374 | 0.055 | 0.938 | 0.922 | 0.914 | 0.938 |
| Index Name | χ2/df | RMSEA | CFI | GFI | NFI | IFI |
|---|---|---|---|---|---|---|
| Test Critical Value | <3, Good | >0.05, Excellent | >0.9 | >0.9 | >0.9 | >0.9 |
| <5, Accepted | >0.08, Good | |||||
| Model Parameter Value | 3.538 | 0.056 | 0.934 | 0.928 | 0.910 | 0.935 |
| Path | Standardized Regression Coefficient (β) | Standard Error of Estimate (S.E.) | Critical Ratio (C.R.) | Significance (p) | Null Hypothesis | Does It Support | ||
|---|---|---|---|---|---|---|---|---|
| BII | ← | PEI | 0.114 | 0.049 | 2.584 | 0.01 * | H1 | Yes |
| BIC | ← | PEC | 0.085 | 0.05 | 2.121 | 0.034 * | H2 | Yes |
| BII | ← | EEI | 0.251 | 0.053 | 5.388 | *** | H3a | Yes |
| PEI | ← | EEI | 0.392 | 0.05 | 8.145 | *** | H3b | Yes |
| REI | ← | EEI | 0.251 | 0.045 | 5.746 | *** | H3c | Yes |
| BIC | ← | EEC | 0.296 | 0.055 | 6.211 | *** | H4a | Yes |
| PEC | ← | EEC | 0.395 | 0.05 | 7.456 | *** | H4b | Yes |
| REC | ← | EEC | 0.270 | 0.045 | 5.912 | *** | H4c | Yes |
| BII | ← | SII | 0.331 | 0.051 | 6.951 | *** | H5a | Yes |
| REI | ← | SII | 0.326 | 0.047 | 6.787 | *** | H5b | Yes |
| BIC | ← | SIC | 0.279 | 0.05 | 5.948 | *** | H6a | Yes |
| REC | ← | SIC | 0.330 | 0.046 | 6.884 | *** | H6b | Yes |
| BII | ← | FCI | 0.203 | 0.048 | 5.112 | *** | H7 | Yes |
| BIC | ← | FCC | 0.194 | 0.037 | 5.034 | *** | H8 | Yes |
| BII | ← | CII | 0.138 | 0.035 | 3.648 | *** | H9a | Yes |
| SII | ← | CII | 0.303 | 0.036 | 7.271 | *** | H9b | Yes |
| REI | ← | CII | 0.068 | 0.034 | 1.661 | 0.097 | H9c | No |
| BIC | ← | CII | 0.100 | 0.036 | 2.673 | 0.008 ** | H10a | Yes |
| SIC | ← | CIC | 0.285 | 0.037 | 6.766 | *** | H10b | Yes |
| REC | ← | CIC | 0.084 | 0.035 | 2.125 | 0.034 * | H10c | Yes |
| BII | ← | REI | 0.104 | 0.05 | 2.306 | 0.021 * | H11 | Yes |
| BIC | ← | REC | 0.097 | 0.051 | 2.146 | 0.032 * | H12 | Yes |
| ANN | ANN A | ANN B | ||
|---|---|---|---|---|
| Training | Testing | Training | Testing | |
| ANN1 | 0.1181 | 0.1122 | 0.1192 | 0.1201 |
| ANN2 | 0.1146 | 0.1073 | 0.1143 | 0.1490 |
| ANN3 | 0.1132 | 0.1229 | 0.1123 | 0.1121 |
| ANN4 | 0.1156 | 0.1014 | 0.1253 | 0.1242 |
| ANN5 | 0.1265 | 0.1292 | 0.1115 | 0.1276 |
| ANN6 | 0.1265 | 0.1201 | 0.1183 | 0.1094 |
| ANN7 | 0.1122 | 0.1276 | 0.1285 | 0.1212 |
| ANN8 | 0.1132 | 0.1198 | 0.1172 | 0.1142 |
| ANN9 | 0.1320 | 0.1490 | 0.1164 | 0.1119 |
| ANN10 | 0.1207 | 0.1094 | 0.1264 | 0.1293 |
| Mean | 0.1193 | 0.1199 | 0.1118 | 0.1198 |
| Standard Deviation | 0.0069 | 0.0136 | 0.0056 | 0.0311 |
| ANN | ANN A Relative Importance of Neurons | |||||
|---|---|---|---|---|---|---|
| PEI | EEI | SII | REI | FCI | CII | |
| ANN1 | 0.073 | 0.178 | 0.274 | 0.191 | 0.176 | 0.107 |
| ANN2 | 0.080 | 0.267 | 0.178 | 0.212 | 0.131 | 0.132 |
| ANN3 | 0.170 | 0.108 | 0.175 | 0.230 | 0.237 | 0.079 |
| ANN4 | 0.177 | 0.236 | 0.250 | 0.136 | 0.085 | 0.117 |
| ANN5 | 0.119 | 0.194 | 0.234 | 0.178 | 0.143 | 0.132 |
| ANN6 | 0.089 | 0.152 | 0.285 | 0.177 | 0.154 | 0.142 |
| ANN7 | 0.113 | 0.219 | 0.289 | 0.123 | 0.144 | 0.111 |
| ANN8 | 0.262 | 0.232 | 0.149 | 0.080 | 0.256 | 0.020 |
| ANN9 | 0.068 | 0.253 | 0.279 | 0.106 | 0.155 | 0.138 |
| ANN10 | 0.052 | 0.180 | 0.227 | 0.177 | 0.205 | 0.159 |
| Mean | 0.120 | 0.202 | 0.234 | 0.161 | 0.169 | 0.114 |
| Importance of Normalization (%) | 51.3 | 86.3 | 100 | 68.8 | 71.9 | 48.7 |
| ANN | ANN B Relative Importance of Neurons | |||||
|---|---|---|---|---|---|---|
| PEC | EEC | SIC | REC | FCC | CIC | |
| ANN1 | 0.233 | 0.057 | 0.197 | 0.206 | 0.107 | 0.200 |
| ANN2 | 0.050 | 0.243 | 0.269 | 0.152 | 0.175 | 0.111 |
| ANN3 | 0.093 | 0.255 | 0.160 | 0.149 | 0.190 | 0.152 |
| ANN4 | 0.108 | 0.228 | 0.252 | 0.142 | 0.181 | 0.090 |
| ANN5 | 0.118 | 0.248 | 0.231 | 0.141 | 0.148 | 0.114 |
| ANN6 | 0.103 | 0.277 | 0.230 | 0.154 | 0.143 | 0.094 |
| ANN7 | 0.071 | 0.312 | 0.266 | 0.118 | 0.133 | 0.099 |
| ANN8 | 0.186 | 0.240 | 0.198 | 0.0135 | 0.131 | 0.110 |
| ANN9 | 0.100 | 0.249 | 0.216 | 0.162 | 0.149 | 0.124 |
| ANN10 | 0.102 | 0.246 | 0.231 | 0.138 | 0.147 | 0.136 |
| Mean | 0.116 | 0.236 | 0.225 | 0.150 | 0.150 | 0.123 |
| Importance of Normalization (%) | 49.2 | 100 | 95.3 | 63.6 | 63.6 | 52.1 |
Publisher’s Note: MDPI stays neutral with regard to jurisdictional claims in published maps and institutional affiliations. |
© 2021 by the authors. Licensee MDPI, Basel, Switzerland. This article is an open access article distributed under the terms and conditions of the Creative Commons Attribution (CC BY) license (https://creativecommons.org/licenses/by/4.0/).
Share and Cite
Zhang, S.; Jing, P.; Xu, G. The Acceptance of Independent Autonomous Vehicles and Cooperative Vehicle-Highway Autonomous Vehicles. Information 2021, 12, 346. https://doi.org/10.3390/info12090346
Zhang S, Jing P, Xu G. The Acceptance of Independent Autonomous Vehicles and Cooperative Vehicle-Highway Autonomous Vehicles. Information. 2021; 12(9):346. https://doi.org/10.3390/info12090346
Chicago/Turabian StyleZhang, Shuang, Peng Jing, and Gang Xu. 2021. "The Acceptance of Independent Autonomous Vehicles and Cooperative Vehicle-Highway Autonomous Vehicles" Information 12, no. 9: 346. https://doi.org/10.3390/info12090346
APA StyleZhang, S., Jing, P., & Xu, G. (2021). The Acceptance of Independent Autonomous Vehicles and Cooperative Vehicle-Highway Autonomous Vehicles. Information, 12(9), 346. https://doi.org/10.3390/info12090346



