Public Data Integrity Verification Scheme for Secure Cloud Storage
Abstract
1. Introduction
- Based on algebraic signature and elliptic curve cryptography, we propose a public verification scheme that supports efficient data integrity verification with low communication and computational overheads. Furthermore, symmetric encryption in the scheme guarantees the privacy of data blocks.
- To support dynamic updating, a novel data structure named DCHL is designed and stored in the TPA to make operations such as data insertion, modification and deletion more flexible and efficient.
- Using the proposed scheme in cloud storage, security analysis suggests that even a malicious CSP cannot launch a forgery attack, replacing attack and replay attack to pass integrity verification. Meanwhile, the proposed scheme frequently outperforms the relevant data verification schemes in terms of efficiency that is confirmed by numerical analysis and real experiments.
2. Related Work
3. System Model and Design Goals
3.1. System Model
- Forgery attack: The CSP might forgery-proof information to pass verification during which the outsourced data is deleted or corrupted.
- Replacing attack: The CSP might replace the corrupted data blocks and tags with other valid uncorrupted data blocks and tags if the challenged data blocks are corrupted.
- Replay attack: To pass verification, the CSP might send the former valid proof information or other information to the TPA.
3.2. Design Goals
- Public verification: The scheme allows the TPA to verify the outsourced data’s integrity as an agent.
- Correctness: If the CSP correctly stores the user’s data, it could successfully pass integrity verification.
- Privacy preserving: The scheme can be securely stored in the cloud and prevent privacy from leaking during the verification process.
- Unforgeability: If the outsourced data is corrupted, the CSP cannot forge the proof information to deceive the TPA.
- Dynamic data updating: Users could perform the modification, insertion, and deletion operation on the data stored in the cloud.
- Lightweight: The scheme requires low communication and computational costs in verification and dynamic updating.
4. Preliminaries
4.1. Elliptic Curve Discrete Logarithm Problem
4.2. Algebraic Signatures
5. The Proposed Scheme
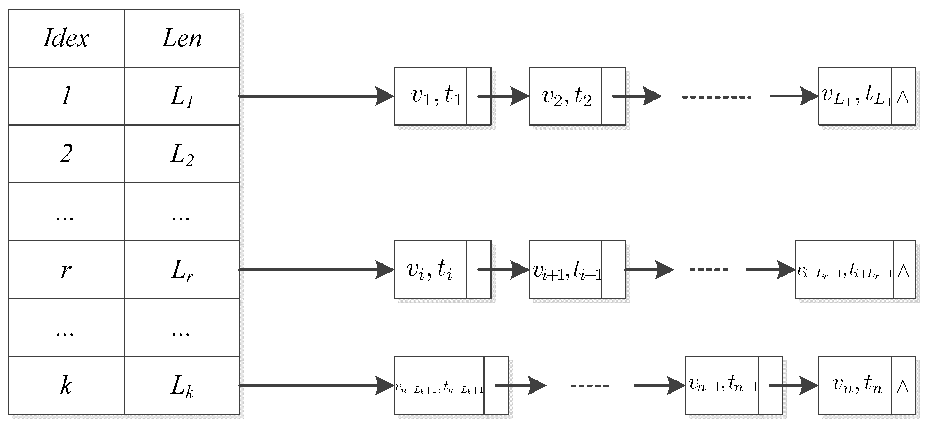
5.1. Divide and Conquer Hash List
5.2. Verification Scheme Against Malicious Attacks
- (1)
- Key initiation: The user first generates a symmetric key for encrypting data blocks. Then, he randomly selects , and calculates , where G is known by the user and the TPA. Meanwhile, the user chooses a secure element for an algebraic signature. Here, we set as the secret key and as the public key.
- (2)
- Data blocks encryption: The user uses a symmetric encryption algorithm with key to encrypt each data block and get the encrypted = where .
- (3)
- Tag initiation: The user computes the data block tag for each encrypted data blockwhere is the version of the data block , is the timestamp, and denotes concatenation. Then, the user uploads to the CSP, and routes as the VI to the TPA. After that, the user removes the locally stored information. The TPA is delegated to launch a verification challenge to verify the integrity of the outsourced data. Notice that the proposed scheme respectively uses to protect data block and x in tag initiation for public verification. By exploiting the property of ECDLP, it is hard for attackers to extract x with and the public key .
- (4)
- Challenge: First, the user transmits a verification request to the TPA. Then, the TPA randomly chooses c data blocks from n data blocks. Finally, the TPA launches a challenge by sending the challenge information to the CSP where is the index of the selected data block.
- (5)
- Proof generation: After receiving the challenge information, the CSP first calculates and , where is the data proof and is the tag proof. Then, the CSP returns to TPA as the proof.
- (6)
- Proof verification: The TPA calculates the sum of hash values by
5.3. Dynamic Data Updating
5.3.1. Data Modification
- (1)
- With the help of TPA, the user finds the specific DCHL that has the required block and gets the version number . Then, the user generates the new version and timestamp for , and then calculates the tag of the data block by
- (2)
- The user sends the data updating request and the VI updating request to the CSP and the TPA, respectively.
- (3)
- After receiving , the CSP replaces the block with and changes tag to .
- (4)
- After receiving , the TPA first finds the group index of the i-th data block from the DCHL;
- (5)
- Then, the TPA determines the location of the data block, which needs to be modified in the linked list.
- (6)
- Finally, the TPA modifies to .
5.3.2. Data Insertion
- (1)
- The user first generates the version and timestamp for , and then he computes the tag by
- (2)
- The user respectively sends the data updating request and the VI updating request to the CSP and the TPA.
- (3)
- The CSP inserts data block after and stores the corresponding tag upon receiving .
- (4)
- After receiving , the TPA finds the position of i-th data block in the DCHL and inserts after it. Finally, the TPA sets the length of the group in which the i-th data block is located .
5.3.3. Data Deletion
- (1)
- The user sends the data updating request and the VI updating request to the CSP and the TPA, respectively;
- (2)
- After receiving , the CSP deletes the block and tag , respectively;
- (3)
- Similar to the insertion operation, the TPA deletes and sets the length of the group in which the i-th data block is located in DCHL.
6. Security Analysis
7. Performance Analysis
7.1. Misbehavior Detection
7.2. Communication Costs
7.3. Computational Costs
8. Conclusions
Author Contributions
Funding
Acknowledgments
Conflicts of Interest
References
- Grobauer, B.; Walloschek, T.; Stocker, E. Understanding Cloud Computing Vulnerabilities. IEEE Secur. Priv. 2011, 9, 50–57. [Google Scholar] [CrossRef]
- Wu, T.; Yang, G.; Mu, Y.; Chen, R. Privacy-enhanced Remote Data Integrity Checking with Updatable Timestamp. Inf. Sci. 2020, 527, 210–226. [Google Scholar] [CrossRef]
- Wang, Q.; Wang, C.; Ren, K.; Lou, W.; Li, J. Enabling Public Auditability and Data Dynamics for Storage Security in Cloud Computing. IEEE Trans. Parallel Distrib. Syst. 2011, 22, 847–859. [Google Scholar] [CrossRef]
- Ateniese, G.; Burns, R.; Curtmola, R.; Herring, J.; Kissner, L.; Peterson, Z.; Song, D. Provable Data Possession at Untrusted Stores. In Proceedings of the 14th ACM Conference on Computer and Communications Security, Alexandria, VA, USA, 29 October–2 November 2007; pp. 598–609. [Google Scholar]
- Erway, C.C.; Küpçü, A.; Papamanthou, C.; Tamassia, R. Dynamic Provable Data Possession. ACM Trans. Inf. Syst. Secur. TISSEC 2015, 17, 15. [Google Scholar] [CrossRef]
- Wang, C.; Chow, S.S.; Wang, Q.; Ren, K.; Lou, W. Privacy-preserving Public Auditing for Secure Cloud Storage. IEEE Trans. Comput. 2013, 62, 362–375. [Google Scholar] [CrossRef]
- Wang, C.; Wang, Q.; Ren, K.; Lou, W. Privacy-preserving Public Auditing for Data Storage Security in Cloud Computing. In Proceedings of the 29th IEEE Conference on Computer Communications (Inforcom), San Diego, CA, USA, 14–19 March 2010; IEEE: Piscataway, NJ, USA, 2010; pp. 1–9. [Google Scholar]
- Yang, K.; Jia, X. An Efficient and Secure Dynamic Auditing Protocol for Data Storage in Cloud Computing. IEEE Trans. Parallel Distrib. Syst. 2013, 24, 1717–1726. [Google Scholar] [CrossRef]
- Yang, K.; Jia, X. Data Storage Auditing Service in Cloud Computing: Challenges, Methods and Opportunities. World Wide Web 2012, 15, 409–428. [Google Scholar] [CrossRef]
- Zhu, Y.; Ahn, G.J.; Hu, H.; Yau, S.S.; An, H.G.; Hu, C.J. Dynamic Audit Services for Outsourced Storages in Clouds. IEEE Trans. Serv. Comput. 2013, 6, 227–238. [Google Scholar]
- Zhu, Y.; Hu, H.; Ahn, G.J.; Yu, M. Cooperative Provable Data Possession for Integrity Verification in Multicloud Storage. IEEE Trans. Parallel Distrib. Syst. 2012, 23, 2231–2244. [Google Scholar] [CrossRef]
- Shacham, H.; Waters, B. Compact Proofs of Retrievability. Asiacrypt; Springer: Berlin/Heidelberg, Germany, 2008; Volume 5350, pp. 90–107. [Google Scholar]
- Boneh, D.; Lynn, B.; Shacham, H. Short Signatures From The Weil Pairing. J. Cryptol. 2004, 17, 297–319. [Google Scholar] [CrossRef]
- Chen, L. Using Algebraic Signatures to Check Data Possession in Cloud Storage. Future Gener. Comput. Syst. 2013, 29, 1709–1715. [Google Scholar] [CrossRef]
- Tian, H.; Chen, Y.; Chang, C.C.; Jiang, H.; Huang, Y.; Chen, Y.; Liu, J. Dynamic-hash-table based Public Auditing for Secure Cloud Storage. IEEE Trans. Serv. Comput. 2017, 10, 701–714. [Google Scholar] [CrossRef]
- Shen, J.; Shen, J.; Chen, X.; Huang, X.; Susilo, W. An Efficient Public Auditing Protocol with Novel Dynamic Structure for Cloud Data. IEEE Trans. Inf. Forensics Secur. 2017, 12, 2402–2415. [Google Scholar] [CrossRef]
- Sookhak, M.; Gani, A.; Khan, M.K.; Buyya, R. Dynamic Remote Data Auditing for Securing Big Data Storage in Cloud Computing. Inf. Sci. 2017, 380, 101–116. [Google Scholar] [CrossRef]
- Sookhak, M.; Akhunzada, A.; Gani, A.; Khan, M.K.; Anuar, N.B. Towards Dynamic Remote Data Auditing in Computational Clouds. Sci. World J. 2014, 380, 269357. [Google Scholar] [CrossRef] [PubMed]
- Juels, A.; Kaliski, B.S., Jr. PORs: Proofs of Retrievability for Large Files. In Proceedings of the 14th ACM Conference on Computer and Communications Security, Alexandria, VA, USA, 29 October–2 November 2007; pp. 584–597. [Google Scholar]
- Ateniese, G.; Di Pietro, R.; Mancini, L.V.; Tsudik, G. Scalable and Efficient Provable Data Possession. In Proceedings of the 4th International Conference on Security and Privacy in Communication Netowrks, New York, NY, USA, 22–25 September 2008; p. 9. [Google Scholar]
- Krzywiecki, L.; Kutylowski, M. Proof of Possession for Cloud Storage via Lagrangian Interpolation Techniques; Springer: Berlin/Heidelberg, Germany, 2012; pp. 305–319. [Google Scholar]
- Sebé, F.; Domingo-Ferrer, J.; Martinez-Balleste, A.; Deswarte, Y.; Quisquater, J.J. Efficient Remote Data Possession Checking in Critical Information Infrastructures. IEEE Trans. Knowl. Data Eng. 2008, 20, 1034–1038. [Google Scholar] [CrossRef]
- Worku, S.G.; Xu, C.; Zhao, J.; He, X. Secure and Efficient Privacy-preserving Public Auditing Scheme for Cloud Storage. Comput. Electr. Eng. 2014, 40, 1703–1713. [Google Scholar] [CrossRef]
- Yu, Y.; Au, M.H.; Ateniese, G.; Huang, X.; Susilo, W.; Dai, Y.; Min, G. Identity-based Remote Data Integrity Checking with Perfect Data Privacy Preserving for Cloud Storage. IEEE Trans. Inf. Forensics Secur. 2017, 12, 767–778. [Google Scholar] [CrossRef]
- Ge, X.; Yu, J.; Zhang, H.; Hu, C.; Li, Z.; Qin, Z.; Hao, R. Towards Achieving Keyword Search over Dynamic Encrypted Cloud Data with Symmetric-Key Based Verification. IEEE Trans. Dependable Secur. Comput. Early Access 2020, 1–16. [Google Scholar] [CrossRef]
- Shen, J.; Tan, H.W.; Wang, J.; Wang, J.W.; Lee, S.Y. A Novel Routing Protocol Providing Good Transmission Reliability in Underwater Sensor Networks. J. Internet Technol. 2015, 16, 171–178. [Google Scholar]
- Chen, X.; Li, J.; Weng, J.; Ma, J.; Lou, W. Verifiable Computation over Large Database with Incremental Updates. IEEE Trans. Comput. 2016, 65, 3184–3195. [Google Scholar] [CrossRef]
- Sun, Y.; Liu, Q.; Chen, X.; Du, X. An Adaptive Authenticated Data Structure With Privacy-Preserving for Big Data Stream in Cloud. IEEE Trans. Inf. Forensics Secur. 2020, 15, 3295–3310. [Google Scholar] [CrossRef]
- Chen, X.; Li, J.; Huang, X.; Ma, J.; Lou, W. New Publicly Verifiable Databases with Efficient Updates. IEEE Trans. Dependable Secur. Comput. 2015, 12, 546–556. [Google Scholar] [CrossRef]
- Odlyzko, A.M. Discrete Logarithms in Finite Fields and Their Cryptographic Significance. In Workshop on the Theory and Application of of Cryptographic Techniques; Springer: Berlin/Heidelberg, Germany, 1984; pp. 224–314. [Google Scholar]
- Litwin, W.; Schwarz, T. Algebraic Signatures for Scalable Distributed Data Structures. In Proceedings of the 20th International Conference on Data Engineering, Boston, MA, USA, 2 April 2004; IEEE: Piscataway, NJ, USA, 2004; pp. 412–423. [Google Scholar]









© 2020 by the authors. Licensee MDPI, Basel, Switzerland. This article is an open access article distributed under the terms and conditions of the Creative Commons Attribution (CC BY) license (http://creativecommons.org/licenses/by/4.0/).
Share and Cite
Ping, Y.; Zhan, Y.; Lu, K.; Wang, B. Public Data Integrity Verification Scheme for Secure Cloud Storage. Information 2020, 11, 409. https://doi.org/10.3390/info11090409
Ping Y, Zhan Y, Lu K, Wang B. Public Data Integrity Verification Scheme for Secure Cloud Storage. Information. 2020; 11(9):409. https://doi.org/10.3390/info11090409
Chicago/Turabian StylePing, Yuan, Yu Zhan, Ke Lu, and Baocang Wang. 2020. "Public Data Integrity Verification Scheme for Secure Cloud Storage" Information 11, no. 9: 409. https://doi.org/10.3390/info11090409
APA StylePing, Y., Zhan, Y., Lu, K., & Wang, B. (2020). Public Data Integrity Verification Scheme for Secure Cloud Storage. Information, 11(9), 409. https://doi.org/10.3390/info11090409

