Spectral Normalization for Domain Adaptation
Abstract
1. Introduction
2. Conditional Adversarial Domain Adaptation
3. Proposed Method
4. Simulation and Discussion
4.1. Comparison of Accuracy
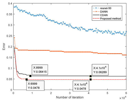
4.2. Comparison of the Convergence Speed
4.3. Comparison of Distribution Discrepancy
5. Conclusions
Author Contributions
Funding
Acknowledgments
Conflicts of Interest
References
- He, K.; Zhang, X.; Ren, S.; Sun, J. Deep residual learning for image recognition. In Proceedings of the IEEE Conference on Computer Vision and Pattern Recognition, Las Vegas, NV, USA, 27–30 June 2016; pp. 770–778. [Google Scholar]
- Venkateswara, H.; Eusebio, J.; Chakraborty, S.; Panchanathan, S. Deep hashing network for unsupervised domain adaptation. In Proceedings of the IEEE Conference on Computer Vision and Pattern Recognition, Hawaii, HI, USA, 21–26 July 2017; pp. 5018–5027. [Google Scholar]
- Russakovsky, O.; Deng, J.; Su, H.; Krause, J.; Satheesh, S.; Ma, S.; Huang, Z.; Karpathy, A.; Khosla, A.; Bernstein, M.; et al. Imagenet large scale visual recognition challenge. Int. J. Comput. Vis. 2015, 115, 211–252. [Google Scholar] [CrossRef]
- Wang, M.; Deng, W. Deep visual domain adaptation: A survey. Neurocomputing 2018, 312, 135–153. [Google Scholar] [CrossRef]
- Lundervold, A.S.; Lundervold, A. An overview of deep learning in medical imaging focusing on MRI. Z. Med. Phys. 2019, 29, 102–127. [Google Scholar] [CrossRef] [PubMed]
- Patel, V.M.; Gopalan, R.; Li, R.; Chellappa, R. Visual domain adaptation: A survey of recent advances. IEEE Signal Proc. Mag. 2015, 32, 53–69. [Google Scholar] [CrossRef]
- Bitarafan, A.; Baghshah, M.S.; Gheisari, M. Incremental evolving domain adaptation. IEEE Trans. Knowl. Data Eng. 2016, 28, 2128–2141. [Google Scholar] [CrossRef]
- Deng, W.Y.; Lendasse, A.; Ong, Y.S.; Tsang, I.W.; Chen, L.; Zheng, Q. Domain Adaption via Feature Selection on Explicit Feature Map. IEEE Trans. Neural Netw. Learn. Syst. 2018, 30, 1180–1190. [Google Scholar] [CrossRef] [PubMed]
- Baktashmotlagh, M.; Harandi, M.; Salzmann, M. Distribution-matching embedding for visual domain adaptation. J. Mach. Learn. Res. 2016, 17, 3760–3789. [Google Scholar]
- Wang, J.; Chen, Y.; Hu, L.; Hu, L.; Peng, X.; Yu, P.S. Stratified transfer learning for cross-domain activity recognition. In Proceedings of the IEEE International Conference on Pervasive Computing and Communications, Athens, Greece, 19–23 March 2018; pp. 1–10. [Google Scholar]
- Wang, J.; Chen, Y.; Hao, S.; Feng, W.; Shen, Z. Balanced distribution adaptation for transfer learning. In Proceedings of the IEEE International Conference on Data Mining, New Orleans, LA, USA, 18–21 November 2017; pp. 1129–1134. [Google Scholar]
- Sun, B.; Saenko, K. Deep coral: Correlation alignment for deep domain adaptation. In Proceedings of the European Conference on Computer Vision, Amsterdam, The Netherlands, 8–16 October 2016; pp. 443–450. [Google Scholar]
- Li, J.; Zhao, J.; Lu, K. Joint Feature Selection and Structure Preservation for Domain Adaptation. In Proceedings of the International Joint Conferences on Artificial Intelligence, New York, NY, USA, 9–16 July 2016; pp. 1697–1703. [Google Scholar]
- Long, M.; Cao, Y.; Wang, J.; Jordan, M.I. Learning transferable features with deep adaptation networks. In Proceedings of the International Conference on Machine Learning, Lille, France, 6–11 July 2015; pp. 97–105. [Google Scholar]
- Long, M.; Zhu, H.; Wang, J.; Jordan, M.I. Deep transfer learning with joint adaptation networks. In Proceedings of the International Conference on Machine Learning, Sydney, Australia, 7–9 August 2017; pp. 2208–2217. [Google Scholar]
- Long, M.; Zhu, H.; Wang, J.; Jordan, M.I. Unsupervised domain adaptation with residual transfer networks. In Proceedings of the Advances in Neural Information Processing Systems, Barcelona, Spain, 5–10 December 2016; pp. 136–144. [Google Scholar]
- Tzeng, E.; Hoffman, J.; Darrell, T.; Saenko, K. Simultaneous deep transfer across domains and tasks. In Proceedings of the IEEE International Conference on Computer Vision, Santiago, Chile, 7–13 December 2015; pp. 4068–4076. [Google Scholar]
- Li, Y.; Wang, N.; Shi, J.; Shi, J.; Hou, X.; Liu, J. Adaptive batch normalization for practical domain adaptation. Pattern Recognit. 2018, 80, 109–117. [Google Scholar] [CrossRef]
- Ganin, Y.; Lempitsky, V. Unsupervised domain adaptation by backpropagation. In Proceedings of the International Conference on Machine Learning, Lille, France, 6–11 July 2015; pp. 1180–1189. [Google Scholar]
- Goodfellow, I.; Pouget-Abadie, J.; Mirza, M.; Xu, B.; Warde-Farley, D.; Ozair, S.; Courville, A.; Bengio, Y. Generative adversarial nets. In Proceedings of the Advances in Neural Information Processing Systems, Montreal, QC, Canada, 3–8 December 2014; pp. 2672–2680. [Google Scholar]
- Tzeng, E.; Hoffman, J.; Saenko, K.; Darrell, T. Adversarial discriminative domain adaptation. In Proceedings of the IEEE Conference on Computer Vision and Pattern Recognition, Hawaii, HI, USA, 21–26 July 2017; pp. 7167–7176. [Google Scholar]
- Long, M.; Cao, Z.; Wang, J.; Jordan, M.I. Conditional adversarial domain adaptation. In Proceedings of the Advances in Neural Information Processing Systems, Montreal, QC, Canada, 3–8 December 2018; pp. 1640–1650. [Google Scholar]
- Shen, J.; Qu, Y.; Zhang, W.; Yu, Y. Wasserstein distance guided representation learning for domain adaptation. In Proceedings of the AAAI Conference on Artificial Intelligence, New Orleans, LA, USA, 2–7 February 2018; pp. 4058–4065. [Google Scholar]
- Arjovsky, M.; Chintala, S.; Bottou, L. Wasserstein generative adversarial networks. In Proceedings of the International Conference on Machine Learning, Sydney, Australia, 6–11 August 2017; pp. 214–223. [Google Scholar]
- Hoffman, J.; Tzeng, E.; Park, T.; Zhu, J.; Isola, P.; Saenko, K.; Efros, A.; Darrell, T. CyCADA: Cycle-Consistent Adversarial Domain Adaptation. In Proceedings of the 35th International Conference on Machine Learning, Vienna, Austria, 10–15 July2018; pp. 1989–1998. [Google Scholar]
- Liu, M.Y.; Breuel, T.; Kautz, J. Unsupervised image-to-image translation networks. In Proceedings of the Advances in Neural Information Processing Systems, Long Beach CA, USA, 4–9 December 2017; pp. 700–708. [Google Scholar]
- Cao, Z.; Long, M.; Wang, J.; Jordan, M.I. Partial transfer learning with selective adversarial networks. In Proceedings of the IEEE Conference on Computer Vision and Pattern Recognition, Salt Lake City, UT, USA, 18–22 June 2018; pp. 2724–2732. [Google Scholar]
- Miyato, T.; Kataoka, T.; Koyama, M.; Yoshida, Y. Spectral normalization for generative adversarial networks. IEEE Trans. Knowl. Data Eng. 2016, 28, 2128–2141. [Google Scholar]
- Saenko, K.; Kulis, B.; Fritz, M.; Darrell, T. Adapting visual category models to new domains. In Proceedings of the European Conference on Computer Vision, Crete, Greece, 5–11 September 2010; pp. 213–226. [Google Scholar]
- Paszke, A.; Gross, S.; Massa, F.; Lerer, A.; Bradbury, J.; Chanan, G.; Killeen, T.; Lin, Z.; Gimelshein, N.; Antiga, L.; et al. PyTorch: An imperative style, high-performance deep learning library. In Proceedings of the Advances in Neural Information Processing Systems, Vancouver, BC, Canada, 10–12 December 2019; pp. 8024–8035. [Google Scholar]
- Sugiyama, M.; Krauledat, M.; MÞller, K.R. Covariate shift adaptation by importance weighted cross validation. J. Mach. Learn. Res. 2007, 8, 985–1005. [Google Scholar]
- Long, M.; Cao, Y.; Cao, Z.; Wang, J.; Jordan, M.I. Transferable representation learning with deep adaptation networks. IEEE Trans. Pattern Anal. 2019, 41, 3071–3085. [Google Scholar] [CrossRef] [PubMed]
- You, K.; Wang, X.; Long, M.; Jordan, M.I. Towards Accurate Model Selection in Deep Unsupervised Domain Adaptation. In Proceedings of the International Conference on Machine Learning, Boca Raton, FL, USA, 16–19 December 2019; pp. 7124–7133. [Google Scholar]
- Ben-David, S.; Blitzer, J.; Crammer, K.; Kulesza, A.; Pereira, F.; Vaughan, J.W. A theory of learning from different domains. Mach. Learn. 2010, 79, 151–175. [Google Scholar] [CrossRef]






| Method | A→W | D→W | W→D | A→D | D→A | W→A | Avg | 
|---|---|---|---|---|---|---|---|
| Resnet-50 | 68.4 ± 0.2 | 96.7 ± 0.1 | 99.3 ± 0.1 | 68.9 ± 0.2 | 62.5 ± 0.3 | 60.7 ± 0.3 | 76.1 | 
| DAN | 80.5 ± 0.4 | 97.1 ± 0.2 | 99.6 ± 0.1 | 78.6 ± 0.2 | 63.6 ± 0.3 | 62.8 ± 0.2 | 80.4 | 
| DANN | 82.0 ± 0.2 | 96.9 ± 0.2 | 99.1 ± 0.1 | 79.7 ± 0.4 | 68.2 ± 0.4 | 67.4 ± 0.5 | 82.2 | 
| JAN | 85.4 ± 0.3 | 97.4 ± 0.2 | 99.8 ± 0.2 | 84.7 ± 0.3 | 68.6 ± 0.3 | 70.0 ± 0.4 | 84.3 | 
| CDAN | 93.1 ± 0.5 | 98.2 ± 0.2 | 100 ± 0.0 | 89.8 ± 0.3 | 70.1 ± 0.4 | 68.0 ± 0.4 | 86.6 | 
| Proposed method | 95.3 ± 0.2 | 98.9 ± 0.1 | 100 ± 0.0 | 94.7 ± 0.3 | 72.6 ± 0.2 | 71.7 ± 0.2 | 88.9 | 
| Method | I→P | P→I | I→C | C→I | C→P | P→C | Avg | 
|---|---|---|---|---|---|---|---|
| ResNet-50 | 74.8 ± 0.3 | 83.9 ± 0.1 | 91.5 ± 0.3 | 78.0 ± 0.2 | 65.5 ± 0.3 | 91.2 ± 0.3 | 80.7 | 
| DAN | 74.5 ± 0.4 | 82.2 ± 0.2 | 92.8 ± 0.2 | 86.3 ± 0.4 | 69.2 ± 0.4 | 89.8 ± 0.4 | 82.5 | 
| DANN | 75.0 ± 0.6 | 86.0 ± 0.3 | 96.2 ± 0.4 | 87.0 ± 0.5 | 74.3 ± 0.5 | 91.5 ± 0.6 | 85.0 | 
| JAN | 76.8 ± 0.4 | 88.0 ± 0.2 | 94.7 ± 0.2 | 89.5 ± 0.3 | 74.2 ± 0.3 | 91.7 ± 0.3 | 85.8 | 
| CDAN | 76.7 ± 0.3 | 90.6 ± 0.3 | 97.0 ± 0.4 | 90.5 ± 0.4 | 74.5 ± 0.3 | 93.5 ± 0.4 | 87.1 | 
| Proposed method | 78.1 ± 0.2 | 91.5 ± 0.2 | 97.5 ± 0.2 | 92.1 ± 0.3 | 76.6 ± 0.3 | 95.0 ± 0.1 | 88.4 | 
| Method | Ar→CI | Ar→Pr | Ar→RW | CI→Ar | CI→Pr | CI→RW | Pr→Ar | Pr→CI | Pr→RW | RW→Ar | RW→CI | RW→Pr | Avg | 
|---|---|---|---|---|---|---|---|---|---|---|---|---|---|
| ResNet-50 | 34.9 | 50.0 | 58.0 | 37.4 | 41.9 | 46.2 | 38.5 | 31.2 | 60.4 | 53.9 | 41.2 | 59.9 | 46.1 | 
| DAN | 43.6 | 57.0 | 67.9 | 45.8 | 56.5 | 60.4 | 44.0 | 43.6 | 67.7 | 63.1 | 51.5 | 74.3 | 56.3 | 
| DANN | 45.6 | 59.3 | 70.1 | 47.0 | 58.5 | 60.9 | 46.1 | 43.7 | 68.5 | 63.2 | 51.8 | 76.8 | 57.6 | 
| JAN | 45.9 | 61.2 | 68.9 | 50.4 | 59.7 | 61.0 | 45.8 | 43.4 | 70.3 | 63.9 | 52.4 | 76.8 | 58.3 | 
| CDAN | 49.0 | 69.3 | 74.5 | 54.4 | 66.0 | 68.4 | 55.6 | 48.3 | 75.9 | 68.4 | 55.4 | 80.5 | 63.8 | 
| Proposed method | 52.0 | 72.0 | 76.3 | 59.4 | 71.7 | 72.6 | 58.6 | 52.0 | 79.2 | 71.6 | 58.1 | 82.8 | 67.1 | 
© 2020 by the authors. Licensee MDPI, Basel, Switzerland. This article is an open access article distributed under the terms and conditions of the Creative Commons Attribution (CC BY) license (http://creativecommons.org/licenses/by/4.0/).
Share and Cite
Zhao, L.; Liu, Y. Spectral Normalization for Domain Adaptation. Information 2020, 11, 68. https://doi.org/10.3390/info11020068
Zhao L, Liu Y. Spectral Normalization for Domain Adaptation. Information. 2020; 11(2):68. https://doi.org/10.3390/info11020068
Chicago/Turabian StyleZhao, Liquan, and Yan Liu. 2020. "Spectral Normalization for Domain Adaptation" Information 11, no. 2: 68. https://doi.org/10.3390/info11020068
APA StyleZhao, L., & Liu, Y. (2020). Spectral Normalization for Domain Adaptation. Information, 11(2), 68. https://doi.org/10.3390/info11020068
 
        

 
       