Comparison of Unassisted and Smart Assisted Negotiation in B2B Relationships from the Perspective of Generation Y
Abstract
1. Introduction
- RQ1: Is there a difference in the ratio of costs and benefits for the seller and the buyer, depending on the type of negotiation used (assisted and unassisted negotiation)?
- RQ2: How do the personality characteristics of the participants in the negotiation affect the results of the negotiation?
- RQ3: How does the type of negotiation affect communication, participant behaviors and the time devoted to the negotiation?
- RQ4: How does the type of negotiation used affect satisfaction with e-negotiation and how is it evaluated compared to face to face negotiation?
2. Description of Generation Y
- This generation is closely linked to ICTs. Internet-based services (e.g., social media, online shopping, search engines) have become an ordinary part of their lives [32]. Affected by these technologies and online social connections, they approach their private and working life in a completely different way [33]. Members of this generation are also more frequently addicted to ICTs [28].
- Members of Generation Y don’t prioritize money as highly as do members of Generation X, but they do prioritize fun and job flexibility. They often work from home and do not distinguish strictly between working time and family time.
- They have problems focusing on a single task because they are used to consuming many types of multimedia content and often switch their attention between them (multitasking).
- This generation is burdened with the protective upbringing of their parents, which is reflected in their indifference and inability to accept the role of an adult in the society—see e.g., the helicopter parenting phenomenon [34]. They have a distorted view of the world, which can lead to anxiety or mental disorders [30].
- They have an instrumental approach to education. Higher education is more of a life necessity than a privilege [28].
- Companies more often focus their marketing activities on members of Generation Y, because they have become economically active and there are many of them. When choosing goods, they do not only consider the price or the primary function but also the value of the product and its appreciation in their social category.
3. Methods and Data Collection
4. Results
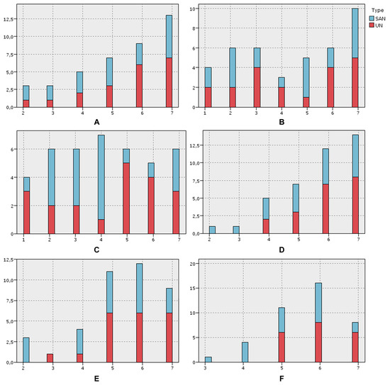
4.1. Financial Perspective of Negotiation
- rule: if a person has emotional stability less than or equal to 3.5, then the ratio is less than or equal to 0.85 (Instance: 3, Confidence: 0.8);
- rule: if a person is female, then the ratio is less than or equal to 0.85 (I: 8, C: 0.85);
- rule: if a person has emotional stability greater than 5.5 and an openness of less than or equal to 5.5, then the ratio is less than or equal to 1 (I: 3, C: 0.8);
- rule: if a person has a negative affectivity of less than or equal to 22, and she is a woman with emotional stability greater than 4, then the ratio is less than or equal to 1 (I: 2, C: 0.75);
- rule: if a person has emotional stability from 3.5 to 4 inclusive, then the ratio is less than or equal to 1.15 (I: 2, C: 0.75);
- rule: if a person has emotional stability and openness above the value of 5.5, then the ratio is greater than 1.15 (I: 3, C: 0.8); and,
- rule: if a person has emotional stability greater than 4, then the ratio is greater than 1.15 (I: 15, C: 0.412).
- rule: if a person has agreeableness of less than or equal to 4, then the ratio is less than or equal to 0.75 (I: 5, C: 0.857);
- rule: if a person’s extraversion exceeds 3.5, then the ratio is less than or equal to 0.75 (I: 4, C: 0.667);
- rule: if a person has agreeableness greater than 4, emotional stability greater than 6 and studies in the Czech Republic, then the ratio is less than or equal to 0.9 (I: 3, C: 0.8);
- rule: if a person exhibits a negative affectivity less than or equal to 14 and has agreeableness greater than 4, then the ratio is less than or equal to 0.9 (I: 3, C: 0.8);
- rule: if a person has agreeableness greater than 4, emotional stability less than or equal to 6, studies in the Czech Republic, and is younger than 24 years old, then the ratio is less than or equal to 1 (I: 3, C: 0.8); and,
- rule: if a person exhibits negative affectivity greater than 14, their extraversion is less than or equal to 3.5 and they study in the Slovak Republic, then the ratio is greater than 1 (I: 3, C: 0.6).
4.2. Subjective Aspect of Satisfaction with the Negotiation and Its Results
5. Discussion and Conclusions
Author Contributions
Funding
Conflicts of Interest
Appendix A

Appendix B

Appendix C

References
- Lu, Z.M.; Zhu, X.Y. Study on the Online Dispute Resolution System in China. In Proceedings of the 6th International Conference on Energy, Environment and Sustainable Development, Phuket, Thailand, 11–12 March 2017; Atlantis Press: Paris, France, 2017; pp. 360–367. [Google Scholar]
- EU ODR. Online Dispute Resolution: Resolve Your Online Consumer Problem Fairly and Efficiently without Going to Court. Available online: https://ec.europa.eu/consumers/odr/ (accessed on 19 June 2019).
- Columbus, L. Predicting the Future of B2B E-Commerce. Available online: https://www.forbes.com/sites/louiscolumbus/2016/09/12/predicting-the-future-of-b2b-e-commerce (accessed on 19 June 2019).
- Tang, Z. An effective dispute resolution system for electronic consumer contracts. Comput. Law Secur. Rev. 2007, 23, 42–52. [Google Scholar] [CrossRef]
- Schultz, T.; Kaufmann-Kohle, G.; Langer, D.; Bonnet, V. Online Dispute Resolution: The State of the Art and the Issues; University of Geneva: Geneva, Switzerland, 2001; Available online: https://ssrn.com/abstract=899079 (accessed on 19 June 2019).
- Carneiro, D.; Novais, P.; Andrade, F.; Zeleznikow, J.; Neves, J. Online dispute resolution: An artificial intelligence perspective. Artif. Intell. Rev. 2014, 41, 211–240. [Google Scholar] [CrossRef]
- Kexing, L. A Survey of Agent Based Automated Negotiation. In Proceedings of the International Conference on Network Computing and Information Security, Guilin, China, 14–15 May 2011; IEEE: New York, NY, USA, 2011. [Google Scholar] [CrossRef]
- Syed, T.Q.; Khan, B.; Shams, F.; Khan, M.F.; Behlim, S.I.; Khatoon, H.; Shaikh, Z. A robust strategy for automated negotiations. Multiagent Grid Syst. 2017, 13, 1–17. [Google Scholar] [CrossRef]
- De Jonge, D.; Sierra, C. D-Brane: A diplomacy playing agent for automated negotiations research. Appl. Intell. 2017, 47, 158–177. [Google Scholar] [CrossRef]
- Dafna, L. Three is not a crowd: Online mediation-arbitration in business to consumer internet disputes. Univ. Pa. J. Int. Law 2016, 37, 871–941. [Google Scholar]
- Omoola, S.O.; Oseni, U.A. Towards an Effective Legal Framework for Online Dispute Resolution in E-commerce Transactions: Trends, Traditions and Transitions. IIUM Law J. 2016, 24, 259–281. [Google Scholar] [CrossRef]
- Muecke, N.; Stranieri, A.; Miller, C. Re-consider: The integration of online dispute resolution and decision support systems. In Proceedings of the CEUR Workshop Proceedings of the 5th International Workshop on Online Dispute Resolution, Firenze, Italy, 13 December 2008; pp. 62–72. [Google Scholar]
- Abrahams, B.; Belluci, E.; Zeleznikow, J. Incorporating Fairness into Development of an Integrated Multi-agent Online Dispute Resolution Environment. Group Decis. Negot. 2012, 21, 3–28. [Google Scholar] [CrossRef][Green Version]
- Carneiro, D.; Novais, P.; Andrade, F.; Zeleznikow, J.; Neves, J. Using Case-Based Reasoning and Principled Negotiation to provide decision support for dispute resolution. Knowl. Inf. Syst. 2013, 36, 789–826. [Google Scholar] [CrossRef]
- Elziny, A.A.; Mohamadien, M.A.; Ibrahim, H.M.; Abdel Fattah, M.K. An expert system to manage dispute resolutions in construction projects in Egypt. Ain Shams Eng. J. 2016, 7, 57–71. [Google Scholar] [CrossRef]
- Wieringa, R.J. Design Science Methodology for Information Systems and Software Engineering; Springer: New York, NY, USA, 2014. [Google Scholar] [CrossRef]
- Orji, U.J. Technology Mediated Dispute Resolution: Challenges and Opportunities for Dispute Resolution in Nigeria. Comput. Telecommun. Law Rev. 2012, 18, 124–134. [Google Scholar]
- Venable, J.; Pries-Heje, J.; Baskerville, R. A Comprehensive Framework for Evaluation in Design Science Research. In Proceedings of the International Conference on Design Science Research in Information Systems, Las Vegas, NV, USA, 14–15 May 2012; Springer: Berlin/Heidelberg, Germany, 2012; pp. 423–438. [Google Scholar] [CrossRef]
- Gomes, M.; Oliveira, T.; Carneiro, D.; Novais, P.; Neves, J. Studying the effects of stress on negotiation behavior. Cybern. Syst. 2014, 45, 279–291. [Google Scholar] [CrossRef][Green Version]
- Lai, H.; Lin, W.-J.; Kersten, G.E. The importance of language familiarity in global business e-negotiation. Electron. Commer. Res. Appl. 2010, 9, 537–548. [Google Scholar] [CrossRef]
- De Moura, J.A.; França, S.D.; Daher, D.; Cabral, A.P.; Costa, S. Using psychophysiological data to investigate differences by gender and negotiation styles in e-negotiation. In Proceedings of the IEEE International Conference on Systems, Man, and Cybernetics, Banff Center, AB, Canada, 5–8 October 2017; IEEE: New York, NY, USA, 2017; pp. 3636–3641. [Google Scholar] [CrossRef]
- Gomes, M.; Zeleznikow, J.; Novais, P. A Non-intrusive Approach to Measuring Trust in Opponents in a Negotiation Scenario. In Proceedings of the International Workshop on AI Approaches to the Complexity of Legal Systems, Beijing, China, 19 September 2018; Springer: Berlin/Heidelberg, Germany, 2018; pp. 528–542. [Google Scholar] [CrossRef]
- Kling, R.; Rosenbaum, H.; Sawyer, S. Understanding and Communicating Social Informatics: A Framework for Studying and Teaching the Human Contexts of Information and Communication Technologies; Information Today: Medford, OR, USA, 2007; pp. 5–8. [Google Scholar]
- Hyysalo, S.; Pollock, N.; Williams, R. Method Matters in the Social Study of Technology: Investigating the Biographies of Artifacts and Practices. Sci. Technol. Stud. 2019, in press. [Google Scholar]
- Nadvornik, V. How Czech Students and Teachers use the Internet. Acta Inform. Pragensia 2013, 2, 70–78. [Google Scholar] [CrossRef]
- Van den Bergh, J.; Behrer, M. How Cool Brands Stay Hot: Branding to Generation, Y; Kogan Page: London, UK, 2011. [Google Scholar]
- Savage, S. Making Sense of Generation Y: The World View of 15–25 Year Olds; Church House Publishing: London, UK, 2011. [Google Scholar]
- Caruso, C. Understanding, Y; John Wiley & Sons: Hoboken, NJ, USA, 2014. [Google Scholar]
- Smola, K.W.; Sutton, C.D. Generational differences: Revisiting generational work values for the new millennium. J. Organ. Behav. 2002, 23, 363–382. [Google Scholar] [CrossRef]
- Twenge, J.M.; Campbell, W.K.; Freeman, E.C. Generational Differences in Young Adults’ Life Goals, Concern for Others, and Civic Orientation, 1966–2009. J. Personal. Soc. Psychol. 2012, 102, 1045–1062. [Google Scholar] [CrossRef]
- Myers, K.K.; Sadaghiani, K. Millennials in the Workplace: A Communication Perspective on Millennials’ Organizational Relationships and Performance. J. Bus. Psychol. 2010, 25, 225–238. [Google Scholar] [CrossRef]
- Valentine, D.B.; Powers, T.L. Generation Y values and lifestyle segments. J. Consum. Mark. 2013, 30, 597–606. [Google Scholar] [CrossRef]
- Smutny, Z.; Janoscik, V.; Cermak, R. Generation Y and Internet Privacy: Implication for Commercialization of Social Networking Services. In Analyzing the Strategic Role of Social Networking in Firm Growth and Productivity; Benson, V., Saridakis, G., Tuninga, R., Eds.; IGI Global: Philadelphia, PA, USA; Hershey: Derry Township, PA, USA, 2017; pp. 95–119. [Google Scholar] [CrossRef]
- Ingen, D.J.; Freiheit, S.R.; Steinfeldt, J.A.; Moore, L.L.; Wimer, D.J.; Knutt, A.D.; Scapinello, S.; Roberts, A. Helicopter Parenting: The Effect of an Overbearing Caregiving Style on Peer Attachment and Self-Efficacy. J. Coll. Couns. 2015, 18, 7–20. [Google Scholar] [CrossRef]
- Smutny, Z.; Dolezel, M. Social Informatics Challenges Connected with Generational Changes and the Design, Acceptance and Use of ICT. In Proceedings of the International Conference on Engineering Technologies and Computer Science (EnT), Moscow, Russia, 26–27 March 2019; IEEE: New York, NY, USA, 2019; pp. 75–79. [Google Scholar] [CrossRef]
- Yin, R.K. Case Study Research: Design and Methods, 5th ed.; Sage: Los Angeles, CA, USA, 2017. [Google Scholar]
- Myers, M.D. Qualitative Research in Business, 2nd ed.; Sage: London, UK, 2013; pp. 5–14. [Google Scholar]
- Cobb-Clark, D.A.; Schurer, S. The stability of big-five personality traits. Econ. Lett. 2012, 115, 11–15. [Google Scholar] [CrossRef]
- Watson, D.; Clark, L.A.; Tellegen, A. Development and validation of brief measures of positive and negative affect: The PANAS scales. J. Personal. Soc. Psychol. 1988, 54, 1063–1070. [Google Scholar] [CrossRef]
- Sedlar, M. Vzťahy medzi zážitkom prúdenia, životnou zmysluplnosťou a subjektívnou pohodou u študentov hudby [Relationships between Flow Experience, Life Meaningfulness and Subjective Well–being in Music Students]. Psychol. a Její Kontexty 2014, 5, 89–104. [Google Scholar]
- Simkova, N.; Smutny, Z. Conceptual design of online dispute resolution in B2B relationships. In Proceedings of the 24th Interdisciplinary Information Management Talks, Podebrady, Czech Republic, 7–9 September 2016; Trauner Verlag: Linz, Austria, 2016; pp. 303–310. [Google Scholar]
- Dorcak, P.; Pollak, F.; Szabo, S. Analysis of the Possibilities of Improving an Online Reputation of Public. In Proceedings of the 22nd Interdisciplinary Information Management Talks, Podebrady, Czech Republic, 10–12 September 2014; Trauner Verlag: Linz, Austria, 2014; pp. 275–282. [Google Scholar]
- Falbo, T.; Peplau, L.A. Power strategies in intimate relationships. J. Personal. Soc. Psychol. 1980, 38, 618–628. [Google Scholar] [CrossRef]
- Herring, S.C. Gender and power in online communication. In The Handbook of Language and Gender; Holmes, J., Meyerhoff, M., Eds.; Blackwell: Malden, MA, USA, 2003; pp. 202–228. [Google Scholar]
- McKenna, K.Y.A.; Bargh, J.A. Causes and consequences of social interaction on the internet: A conceptual Framework. Media Psychol. 1999, 1, 249–269. [Google Scholar] [CrossRef]
- Pines, A.M.; Gat, H.; Tal, Y. Gender differences in content and style of argument between couples during divorce mediation. Confl. Resolut. Q. 2002, 20, 23–50. [Google Scholar] [CrossRef]
- Rudman, L.A.; Glick, P. Feminized management and backlash toward agentic women: The hidden costs to women of a kinder, gentler image of middle managers. J. Personal. Soc. Psychol. 1999, 77, 1004–1010. [Google Scholar] [CrossRef]
- Helm, R.; Möller, M.; Mauroner, O.; Conrad, D. The effects of a lack of social recognition on online communication behavior. Comput. Hum. Behav. 2013, 29, 1065–1077. [Google Scholar] [CrossRef]
- Kimbrough, A.M.; Guadagno, R.E.; Muscanell, N.L.; Dill, J. Gender differences in mediated communication: Women connect more than do men. Comput. Hum. Behav. 2013, 29, 896–900. [Google Scholar] [CrossRef]
- European Commission. Report from the Commission to the European Parliament and the Council on the Functioning of the European Online Dispute Resolution Platform Established under Regulation (EU) No 524/2013 on Online Dispute Resolution for Consumer Disputes. Available online: https://ec.europa.eu/info/sites/info/files/first_report_on_the_functioning_of_the_odr_platform.pdf (accessed on 19 June 2019).
- Gao, W. The Success and Failure of Online Dispute Resolution. Hong Kong Law J. 2017, 47, 445–474. [Google Scholar]
- Ebner, N.; Zeleznikow, J. No Sheriff in Town: Governance for Online Dispute Resolution. Negot. J. 2016, 32, 297–323. [Google Scholar] [CrossRef]
- Clifford, D.; Van Der Sype, Y.S. Online dispute resolution: Settling data protection disputes in a digital world of customers. Comput. Law Secur. Rev. 2016, 32, 272–285. [Google Scholar] [CrossRef]






| Positives of E-Negotiation Compared to Face to Face Negotiation | Count | Percent |
|---|---|---|
| There is no need to meet, match time (remote negotiation with custom time arrangement) | 15 | 38% |
| Less personal | 13 | 33% |
| There is no need to react quickly (the possibility to think about one’s proposal) | 13 | 33% |
| Money saving | 10 | 25% |
| Proportionally fast proposal and evaluation | 4 | 10% |
| Transparency of negotiation | 3 | 8% |
| Objectivity | 1 | 3% |
| Negatives of E-Negotiation Compared to Face to Face Negotiation | Count | Percent |
|---|---|---|
| Missing human (personal) contact (absence of emotions) | 24 | 60% |
| Prolongation of communication (if the other party does not respond immediately; in case of disagreement) | 17 | 43% |
| Waiting for response | 4 | 10% |
| Lower willingness to compromise | 1 | 3% |
| Occasional confusion in communication | 1 | 3% |
© 2019 by the authors. Licensee MDPI, Basel, Switzerland. This article is an open access article distributed under the terms and conditions of the Creative Commons Attribution (CC BY) license (http://creativecommons.org/licenses/by/4.0/).
Share and Cite
Simkova, N.; Smutny, Z. Comparison of Unassisted and Smart Assisted Negotiation in B2B Relationships from the Perspective of Generation Y. Information 2019, 10, 263. https://doi.org/10.3390/info10080263
Simkova N, Smutny Z. Comparison of Unassisted and Smart Assisted Negotiation in B2B Relationships from the Perspective of Generation Y. Information. 2019; 10(8):263. https://doi.org/10.3390/info10080263
Chicago/Turabian StyleSimkova, Nikola, and Zdenek Smutny. 2019. "Comparison of Unassisted and Smart Assisted Negotiation in B2B Relationships from the Perspective of Generation Y" Information 10, no. 8: 263. https://doi.org/10.3390/info10080263
APA StyleSimkova, N., & Smutny, Z. (2019). Comparison of Unassisted and Smart Assisted Negotiation in B2B Relationships from the Perspective of Generation Y. Information, 10(8), 263. https://doi.org/10.3390/info10080263

