Investigation on the Reflection Coefficient for Seawalls Protected by a Rubble Mound Structure
Abstract
:1. Introduction
2. Experimental Setup and Tests
2.1. Experimental Setup
2.2. Experimental Tests and Reflection Coefficient Analysis
3. Results and Discussion
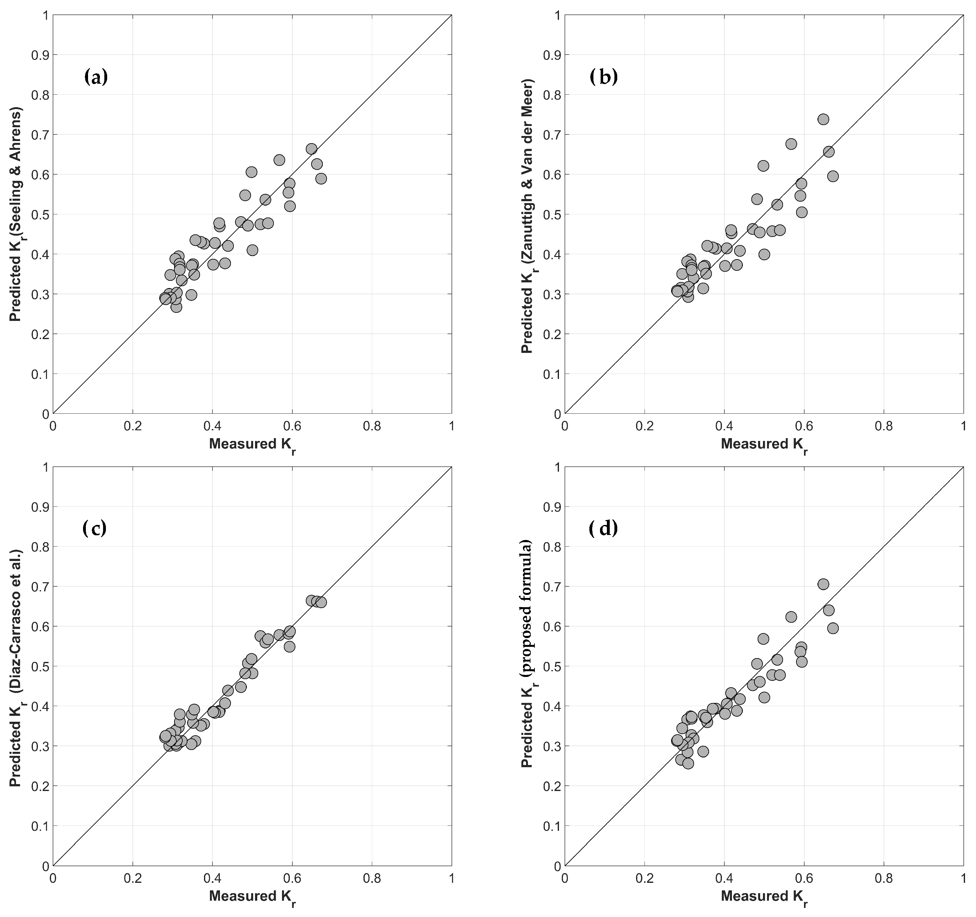
4. A New Approach to Estimate Reflection Coefficient
5. Concluding Remarks
- The influence of the main wave parameters upon the estimated reflection coefficients shows, at least qualitatively, the expected big picture: the larger the peak wave period is, the larger the surf similarity parameter is, the lower the wave steepness is, and the lower the relative water depth is, the larger the reflection coefficient will be;
- The modeled structure has a more reflective behavior with respect to conventional rubble mound breakwaters, likely due to the presence of the vertical seawall influencing the (bulk) porosity. Widespread empirical formulations were then used, after refitting the empirical parameters, and a satisfactory agreement was obtained.
- It relies on the hypothesis that both the relative water depth (ratio between the water depth and the peak wavelength at the toe of the structure) and the surf similarity parameter (computed by using the spectral wave height at the toe of the structures and the spectral mean period) influence the reflection coefficient. The fitting procedure confirmed that both the dimensionless parameters cannot be neglected in the case at hand. Indeed, the inspection of the value of the estimated parameters reveals that the role of the surf similarity parameter is larger if compared to the role of relative water depth: the higher the relative water depth and the lower the surf similarity parameter are, the lower the reflection coefficient is;
- It provides a reliable prediction of the reflection coefficient without further parameter estimation, for seawalls protected by rubble mound structures and for a relative water depth in the range [0.042 ÷ 0.709] and a surf similarity parameter in the range [2.91 ÷ 11.91].
Author Contributions
Funding
Institutional Review Board Statement
Informed Consent Statement
Data Availability Statement
Conflicts of Interest
References
- Di Risio, M.; Bruschi, A.; Lisi, I.; Pesarino, V.; Pasquali, D. Comparative analysis of coastal flooding vulnerability and hazard assessment at national scale. J. Mar. Sci. Eng. 2017, 5, 51. [Google Scholar] [CrossRef] [Green Version]
- Bruno, M.F.; Molfetta, M.G.; Pratola, L.; Mossa, M.; Nutricato, R.; Morea, A.; Nitti, D.O.; Chiaradia, M.T. A combined approach of field data and earth observation for coastal risk assessment. Sensors 2019, 19, 1399. [Google Scholar] [CrossRef] [Green Version]
- Archetti, R.; Damiani, L.; Bianchini, A.; Romagnoli, C.; Abbiati, M.; Addona, F.; Airoldi, L.; Cantelli, L.; Gaeta, M.G.; Guerrero, M.; et al. Innovative strategies, monitoring and analysis of the coastal erosion risk: The stimare project. In Proceedings of the 29th International Ocean and Polar Engineering Conference, Honolulu, HI, USA, 16–21 June 2019; Volume 3, pp. 3836–3841. [Google Scholar]
- Bruno, M.F.; Saponieri, A.; Molfetta, M.G.; Damiani, L. The DPSIR approach for coastal risk assessment under climate change at regional scale: The case of apulian coast (Italy). J. Mar. Sci. Eng. 2020, 8, 531. [Google Scholar] [CrossRef]
- Pasquali, D.; Marucci, A. The effects of urban and economic development on coastal zone management. Sustainability 2021, 13, 6071. [Google Scholar] [CrossRef]
- Silvester, R. Wave reflection at sea walls and breakwaters. Proc. Inst. Civ. Eng. 1972, 51, 123–131. [Google Scholar]
- Mallayachari, V.; Sundar, V. Reflection characteristics of permeable seawalls. Coast. Eng. 1994, 23, 135–150. [Google Scholar] [CrossRef]
- Saponieri, A.; Di Risio, M.; Pasquali, D.; Valentini, N.; Aristodemo, F.; Tripepi, G.; Celli, D.; Streicher, M.; Damiani, L. Beach profile evolution in front of storm seawalls: A physical and numerical study. Coast. Eng. Proc. 2018, 36, 70. [Google Scholar] [CrossRef]
- Salauddin, M.; Pearson, J. Wave overtopping and toe scouring at a plain vertical seawall with shingle foreshore: A Physical model study. Ocean Eng. 2019, 171, 286–299. [Google Scholar] [CrossRef] [Green Version]
- Koraim, A.; Heikal, E.; Zaid, A.A. Hydrodynamic characteristics of porous seawall protected by submerged breakwater. Appl. Ocean Res. 2014, 46, 1–14. [Google Scholar] [CrossRef]
- Mettam, J.; Berry, J. Factors of safety for the design of breakwaters. In Coastal Engineering 1982; ASCE: Reston, VA, USA, 1982; pp. 2097–2106. [Google Scholar]
- Di Risio, M.; Lisi, I.; Beltrami, G.M.; De Girolamo, P. Physical modeling of the cross-shore short-term evolution of protected and unprotected beach nourishments. Ocean Eng. 2010, 37, 777–789. [Google Scholar] [CrossRef]
- Celli, D.; Li, Y.; Ong, M.C.; Di Risio, M. The role of submerged berms on the momentary liquefaction around conventional rubble mound breakwaters. Appl. Ocean Res. 2019, 85, 1–11. [Google Scholar] [CrossRef]
- Molines, J.; Centi, R.; Di Risio, M.; Medina, J.R. Estimation of layer coefficients of cubipod homogeneous low-crested structures using physical and numerical model placement tests. Coast. Eng. 2021, 168, 103901. [Google Scholar] [CrossRef]
- Celli, D.; Pasquali, D.; De Girolamo, P.; Di Risio, M. Effects of submerged berms on the stability of conventional rubble mound breakwaters. Coast. Eng. 2018, 136, 16–25. [Google Scholar] [CrossRef]
- Celli, D.; Li, Y.; Ong, M.C.; Di Risio, M. Random wave-induced momentary liquefaction around rubble mound breakwaters with submerged berms. J. Mar. Sci. Eng. 2020, 8, 338. [Google Scholar] [CrossRef]
- Kobayashi, N.; Wurjanto, A. Wave transmission over submerged breakwaters. J. Waterw. Port Coast. Ocean. Eng. 1989, 115, 662–680. [Google Scholar] [CrossRef]
- Rojanakamthorn, S.; Isobe, M.; Watanabe, A. A mathematical model of wave transformation over a submerged breakwater. Coast. Eng. Jpn. 1989, 32, 209–234. [Google Scholar] [CrossRef]
- Anton, I.A.; Panaitescu, M.; Panaitescu, F.V.; Ghiţă, S. Impact of coastal protection systems on marine ecosystems. In E3S Web of Conferences; EDP Sciences: Les Ulis, France, 2019; Volume 85, p. 07011. [Google Scholar]
- Dattatri, J.; Raman, H.; Shankar, N.J. Performance characteristics of submerged breakwaters. In Coastal Engineering 1978; ASCE: Reston, VA, USA, 1978; pp. 2153–2171. [Google Scholar]
- Abdul Khader, M.I.; Rai, S. A study of submerged breakwaters. J. Hydraul. Res. 1980, 18, 113–121. [Google Scholar] [CrossRef]
- Requejo, S.; Vidal, C.; Losada, I. Modelling of wave loads and hydraulic performance of vertical permeable structures. Coast. Eng. 2002, 46, 249–276. [Google Scholar] [CrossRef]
- Dalrymple, R.; Losada, M.A.; Martin, P. Reflection and transmission from porous structures under oblique wave attack. J. Fluid Mech. 1991, 224, 625–644. [Google Scholar] [CrossRef]
- Van der Meer, J.W.; Daemen, I.F. Stability and wave transmission at low-crested rubble-mound structures. J. Waterw. Port Coast. Ocean. Eng. 1994, 120, 1–19. [Google Scholar] [CrossRef]
- Eldrup, M.R.; Lykke Andersen, T.; Burcharth, H.F. Stability of rubble mound breakwaters—A study of the notional permeability factor, based on physical model tests. Water 2019, 11, 934. [Google Scholar] [CrossRef] [Green Version]
- Van der Meer, J.W.; Pilarczyk, K.W. Stability of low-crested and reef breakwaters. In Coastal Engineering 1990; ASCE: Reston, VA, USA, 1991; pp. 1375–1388. [Google Scholar]
- De Rouck, J.; Van Damme, L. Overall slope stability analysis of rubble mound breakwaters. In Coastal Engineering 1996; ASCE: Reston, VA, USA, 1997; pp. 1603–1616. [Google Scholar]
- Bux, I. The Effects of Foreshore Slope on Breakwater Armour Unit Stability. Master’s Thesis, UNESCO-IHE Institute for Water Education, Delft, The Netherlands, 2007. [Google Scholar]
- Mousavi, S.H.; Kavianpour, M.; Aminoroayaie Yamini, O. Experimental analysis of breakwater stability with antifer concrete block. Mar. Georesour. Geotechnol. 2017, 35, 426–434. [Google Scholar] [CrossRef]
- Fabião, J.; Teixeira, A.T.; Araújo, M. Hydraulic stability of tetrapod armour layers. Physical model study. In Proceedings of the 6th International Short Course/Conference on Applied Coastal Research, Lisbon, Portugal, 4–7 June 2013; Available online: http://scacr.eu/6th-scacr-2013/ (accessed on 6 August 2021).
- Giraudel, C.; Garcia, N.; Ledoux, S. Single-layer breakwater armouring: Feedback on the accropode technology from site experience. In Coastal Engineering 2014; ASCE: Reston, VA, USA, 2014; p. 34. [Google Scholar]
- Muttray, M.; ten Oever, E.; Reedijk, B. Stability of low crested and submerged breakwaters with single layer armouring. J. Shipp. Ocean. Eng. 2012, 2, 140–152. [Google Scholar]
- Herrera, M.P.; Gómez-Martín, M.E.; Medina, J.R. Hydraulic stability of rock armors in breaking wave conditions. Coast. Eng. 2017, 127, 55–67. [Google Scholar] [CrossRef]
- Dick, T.M.; Brebner, A. Solid and permeable submerged breakwaters. In Coastal Engineering 1968; ASCE: Reston, VA, USA, 1969; pp. 1141–1158. [Google Scholar]
- Isaacson, M.; Papps, D.; Mansard, E. Oblique reflection characteristics of rubble-mound structures. J. Waterw. Port Coast. Ocean. Eng. 1996, 122, 1–7. [Google Scholar] [CrossRef]
- Zhao, H.; Liang, Z.; Jeng, D.S.; Zhu, J.; Guo, Z.; Chen, W. Numerical investigation of dynamic soil response around a submerged rubble mound breakwater. Ocean Eng. 2018, 156, 406–423. [Google Scholar] [CrossRef]
- Pasquali, D.; Di Risio, M.; De Girolamo, P. A simplified real time method to forecast semi-enclosed basins storm surge. Estuar. Coast. Shelf Sci. 2015, 165, 61–69. [Google Scholar] [CrossRef]
- Muis, S.; Verlaan, M.; Winsemius, H.C.; Aerts, J.C.J.H.; Ward, P.J. A global reanalysis of storm surges and extreme sea levels. Nat. Commun. 2016, 7, 11969. [Google Scholar] [CrossRef] [PubMed] [Green Version]
- Pasquali, D.; Bruno, M.F.; Celli, D.; Damiani, L.; Di Risio, M. A simplified hindcast method for the estimation of extreme storm surge events in semi-enclosed basins. Appl. Ocean Res. 2019, 85, 45–52. [Google Scholar] [CrossRef]
- Losada, M.; Kobayashi, N.; Martín, F.L. Armor stability on submerged breakwaters. J. Waterw. Port Coast. Ocean. Eng. 1992, 118, 207–212. [Google Scholar] [CrossRef]
- Lin, P.; Karunarathna, S. Numerical study of solitary wave interaction with porous breakwaters. J. Waterw. Port Coast. Ocean. Eng. 2007, 133, 352–363. [Google Scholar] [CrossRef] [Green Version]
- Cao, Y.; Jiang, C.; Bai, Y. Wave attenuation properties of double trapezoidal submerged breakwaters on flat-bed. Trans. Tianjin Univ. 2012, 18, 401–410. [Google Scholar] [CrossRef]
- Bakker, P.; van den Berge, A.; Hakenberg, R.; Klabbers, M.; Muttray, M.; Reedijk, B.; Rovers, I. Development of concrete breakwater Armour Units. In Proceedings of the 1st Coastal Estuary and Offshore Engineering Specialty Conference of the Canadian Society for Civil Engineering, Moncton, NB, Canada, 4–7 June 2003. [Google Scholar]
- Iribarren, R. Una Fórmula Para el cálculo de los Diques de Escollera; Ed. M. Bermejillo Usabiaga: Pasajes, Spain, 1938. [Google Scholar]
- Hudson, R.Y. Laboratory investigation of rubble-mound breakwaters. Trans. Am. Soc. Civ. Eng. 1961, 126, 492–520. [Google Scholar] [CrossRef]
- Losada, M.A.; Gim nez Curto, L.A. Flow characteristics on rough, permeable slopes under wave action. Coast. Eng. 1980, 4, 187–206. [Google Scholar] [CrossRef]
- Allsop, N. Reflection performance of rock armoured slopes in random waves. In Coastal Engineering 1990; ASCE: Reston, VA, USA, 1991; pp. 1460–1472. [Google Scholar]
- Zanuttigh, B.; Formentin, S.M.; Briganti, R. A neural network for the prediction of wave reflection from coastal and harbor structures. Coast. Eng. 2013, 80, 49–67. [Google Scholar] [CrossRef]
- Buccino, M.; Calabrese, M.; Ciardulli, F.; Di Pace, P.; Tomasicchio, G. One layer concrete armor units with a rock-like skin: Wave reflection and run-up. J. Coast. Res. 2011, SI 64, 469–473. [Google Scholar]
- Muttray, M.; Oumeraci, H.; Oever, E.T. Wave reflection and wave run-up at rubble mound breakwaters. In Coastal Engineering 2006; World Scientific: Singapore, 2007; pp. 4314–4324. [Google Scholar]
- Zanuttigh, B.; Van der Meer, J.W. Wave reflection from coastal structures. In Coastal Engineering 2006; World Scientific: Singapore, 2007; pp. 4337–4349. [Google Scholar]
- DELOS Project. Available online: http://www.delos.unibo.it (accessed on 6 August 2021).
- CLASH Project. Available online: http://www.clash-eu.org (accessed on 6 August 2021).
- Van der Meer, J.; Allsop, N.; Bruce, T.; De Rouck, J.; Kortenhaus, A.; Pullen, T.; Schüttrumpf, H.; Troch, P.; Zanuttigh, B. EurOtop: Manual on Wave Overtopping of Sea Defences and Related Structures: An Overtopping Manual Largely Based on European Research, but for Worldwide Application, 2nd ed. 2018. Available online: http://www.overtopping-manual.com/ (accessed on 6 August 2021).
- Guo, Y.; Mohapatra, S.; Guedes Soares, C. Composite breakwater of a submerged horizontal flexible porous membrane with a lower rubble mound. Appl. Ocean Res. 2020, 104, 102371. [Google Scholar] [CrossRef]
- Molfetta, M.G.; Bruno, M.F.; Pratola, L.; Rinaldi, A.; Morea, A.; Preziosa, G.; Pasquali, D.; Risio, M.D.; Mossa, M. A sterescopic system to measure water waves in laboratories. Remote Sens. 2020, 12, 2288. [Google Scholar] [CrossRef]
- Aristodemo, F.; Di Risio, M. Wave-structure interaction processes in coastal engineering. Water 2021, 13, 831. [Google Scholar] [CrossRef]
- Hughes, S.A. Physical Models and Laboratory Techniques in Coastal Engineering; World Scientific: Singapore, 1993; Volume 7. [Google Scholar]
- Wolters, G.; van Gent, M.; Allsop, W.; Hamm, L.; Muhlestein, D. HYDRALAB III: Guidelines for physical model testing of rubble mound breakwaters. In Coasts, Marine Structures and Breakwaters: Adapting to Change; Thomas Telford Ltd.: London, UK, 2010; pp. 559–670. [Google Scholar]
- Mansard, E.P.; Funke, E. The measurement of incident and reflected spectra using a least squares method. In Coastal Engineering 1980; ASCE: Reston, VA, USA, 1980; pp. 154–172. [Google Scholar]
- Thompson, W.C.; Nelson, A.R.; Sedivy, D.G. Wave group anatomy of ocean wave spectra. In Coastal Engineering 1984; ASCE: Reston, VA, USA, 1985; pp. 661–677. [Google Scholar]
- Bruno, M.F.; Molfetta, M.G.; Totaro, V.; Mossa, M. Performance Assessment of ERA5 Wave Data in a Swell Dominated Region. J. Mar. Sci. Eng. 2020, 8, 214. [Google Scholar] [CrossRef] [Green Version]
- Zanuttigh, B.; van der Meer, J.W. Wave reflection from coastal structures in design conditions. Coast. Eng. 2008, 55, 771–779. [Google Scholar] [CrossRef]
- Seelig, W.N.; Ahrens, J.P. Estimation of Wave Reflection and Energy Dissipation Coefficients for Beaches, Revetments, and Breakwaters; Technical Paper 81-1; Coastal Engineering Research Center: Fort Belvoir VA, USA, 1981. [Google Scholar]
- Calabrese, M.; Buccino, M.; Ciardulli, F.; Di Pace, P.; Tomasicchio, R.; Vicinanza, D. Wave run-up and reflection at rubble mound breakwaters with ecopode armor layer. Coast. Eng. Proc. 2011, 1, 45. [Google Scholar] [CrossRef] [Green Version]
- Díaz-Carrasco, P.; Eldrup, M.R.; Andersen, T.L. Advance in wave reflection estimation for rubble mound breakwaters: The importance of the relative water depth. Coast. Eng. 2021, 168, 103921. [Google Scholar] [CrossRef]
- Barenblatt, G.I. Dimensional Analysis; CRC Press: Boca Raton, FL, USA, 1987. [Google Scholar]
- Ritter, A.; Muñoz-Carpena, R. Performance evaluation of hydrological models: Statistical significance for reducing subjectivity in goodness-of-fit assessments. J. Hydrol. 2013, 480, 33–45. [Google Scholar] [CrossRef]











| Test Series | Number of Tests Conducted | (m) | (s) |
|---|---|---|---|
| A | 6 | 0.10 | 0.85–3.50 |
| B | 12 | 0.15 | 1.00–3.50 |
| C | 9 | 0.20 | 1.18–3.50 |
| D | 8 | 0.25 | 1.30–3.00 |
| E | 7 | 0.30 | 1.50–2.72 |
| d (m) | / | |||||||
|---|---|---|---|---|---|---|---|---|
| Min | Max | Min | Max | Min | Max | Min | Max | |
| 0.8 | 0.042 | 0.709 | 0.004 | 0.066 | 0.09 | 0.31 | 2.910 | 11.910 |
| / | ||||||||
|---|---|---|---|---|---|---|---|---|
| Authors | Min | Max | Min | Max | Min | Max | Min | Max |
| Muttray et al. [50] | 0.050 | 0.230 | 0.005 | 0.053 | 0.08 | 0.40 | ||
| Calabrese et al. [65] | 0.048 | 0.308 | 0.006 | 0.065 | 0.09 | 0.40 | 2.502 | 9.505 |
| Mass Unit | Slope | B(m) | |||
|---|---|---|---|---|---|
| ECOPODES | 2:3 | 1.203 | 3.60 | 0.966 | 0.014 |
| ECOPODES | 3:4 | 1.312 | 2.158 | 0.934 | 0.020 |
| Mass Unit | Slope | A(m) | B(m) | MAE | ||
|---|---|---|---|---|---|---|
| MAYA | 3:4 | 1.086 | 1.796 | 0.988 | 0.014 | 0.012 |
| Mass Unit | Slope | a | |||
|---|---|---|---|---|---|
| MAYA | 3:4 | 0.30 | 0.74 | 0.12 | 2.90 |
Publisher’s Note: MDPI stays neutral with regard to jurisdictional claims in published maps and institutional affiliations. |
© 2021 by the authors. Licensee MDPI, Basel, Switzerland. This article is an open access article distributed under the terms and conditions of the Creative Commons Attribution (CC BY) license (https://creativecommons.org/licenses/by/4.0/).
Share and Cite
Pratola, L.; Rinaldi, A.; Molfetta, M.G.; Bruno, M.F.; Pasquali, D.; Dentale, F.; Mossa, M. Investigation on the Reflection Coefficient for Seawalls Protected by a Rubble Mound Structure. J. Mar. Sci. Eng. 2021, 9, 937. https://doi.org/10.3390/jmse9090937
Pratola L, Rinaldi A, Molfetta MG, Bruno MF, Pasquali D, Dentale F, Mossa M. Investigation on the Reflection Coefficient for Seawalls Protected by a Rubble Mound Structure. Journal of Marine Science and Engineering. 2021; 9(9):937. https://doi.org/10.3390/jmse9090937
Chicago/Turabian StylePratola, Luigi, Antonio Rinaldi, Matteo Gianluca Molfetta, Maria Francesca Bruno, Davide Pasquali, Fabio Dentale, and Michele Mossa. 2021. "Investigation on the Reflection Coefficient for Seawalls Protected by a Rubble Mound Structure" Journal of Marine Science and Engineering 9, no. 9: 937. https://doi.org/10.3390/jmse9090937
APA StylePratola, L., Rinaldi, A., Molfetta, M. G., Bruno, M. F., Pasquali, D., Dentale, F., & Mossa, M. (2021). Investigation on the Reflection Coefficient for Seawalls Protected by a Rubble Mound Structure. Journal of Marine Science and Engineering, 9(9), 937. https://doi.org/10.3390/jmse9090937

