A Spectral Method for Two-Dimensional Ocean Acoustic Propagation
Abstract
1. Introduction
2. Solutions of the Two-Dimensional Helmholtz Equation
2.1. The Definition and Properties of a One-Dimensional Chebyshev Polynomial
2.2. The Construction and Properties of One-Dimensional Chebyshev–Galerkin Trial Functions
2.3. Chebyshev–Galerkin Spectral Method for Solving the Two-Dimensional Helmholtz Equation
2.4. Chebyshev–Collocation Spectral Method for Solving the Two-Dimensional Helmholtz Equation
3. Numerical Test and Results Analysis
3.1. Two-Dimensional Model Helmholtz Equation
3.2. Ocean Acoustic Propagation Example Test
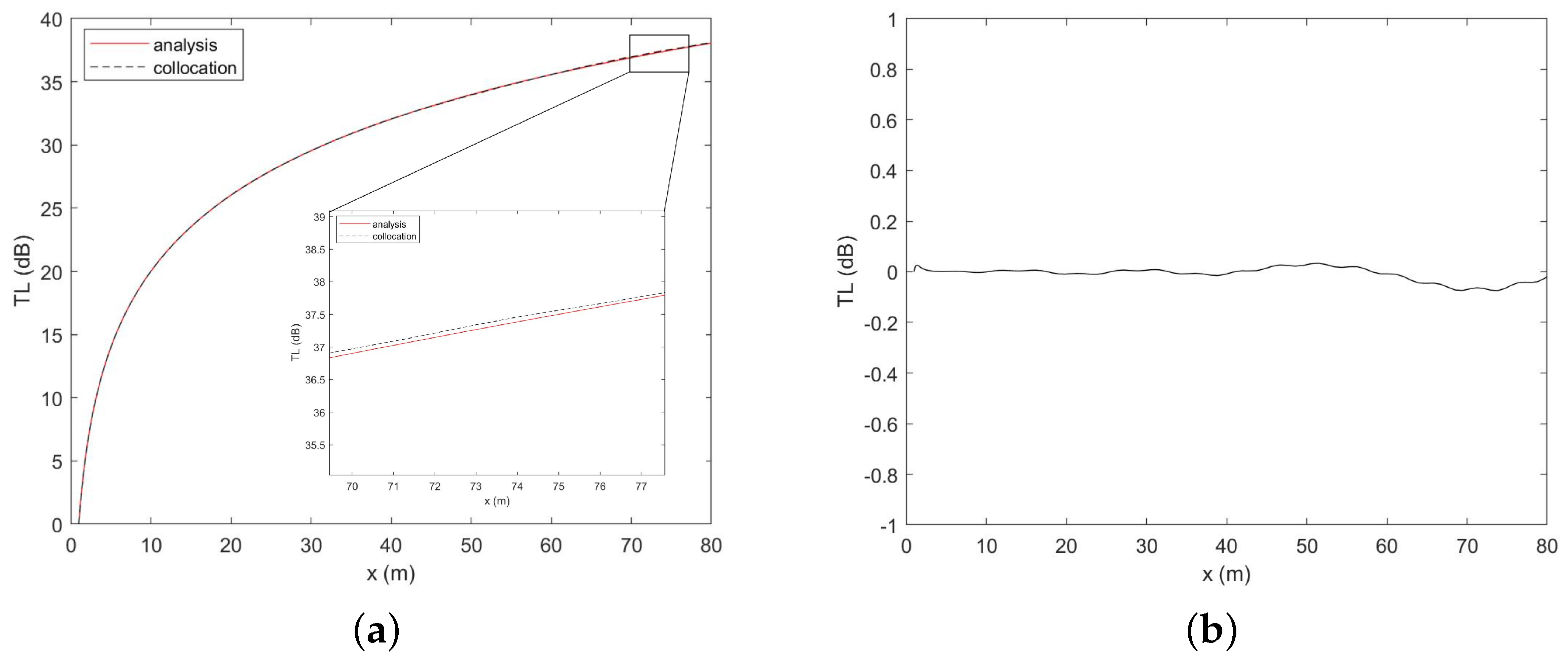
3.2.1. Spherical Wave
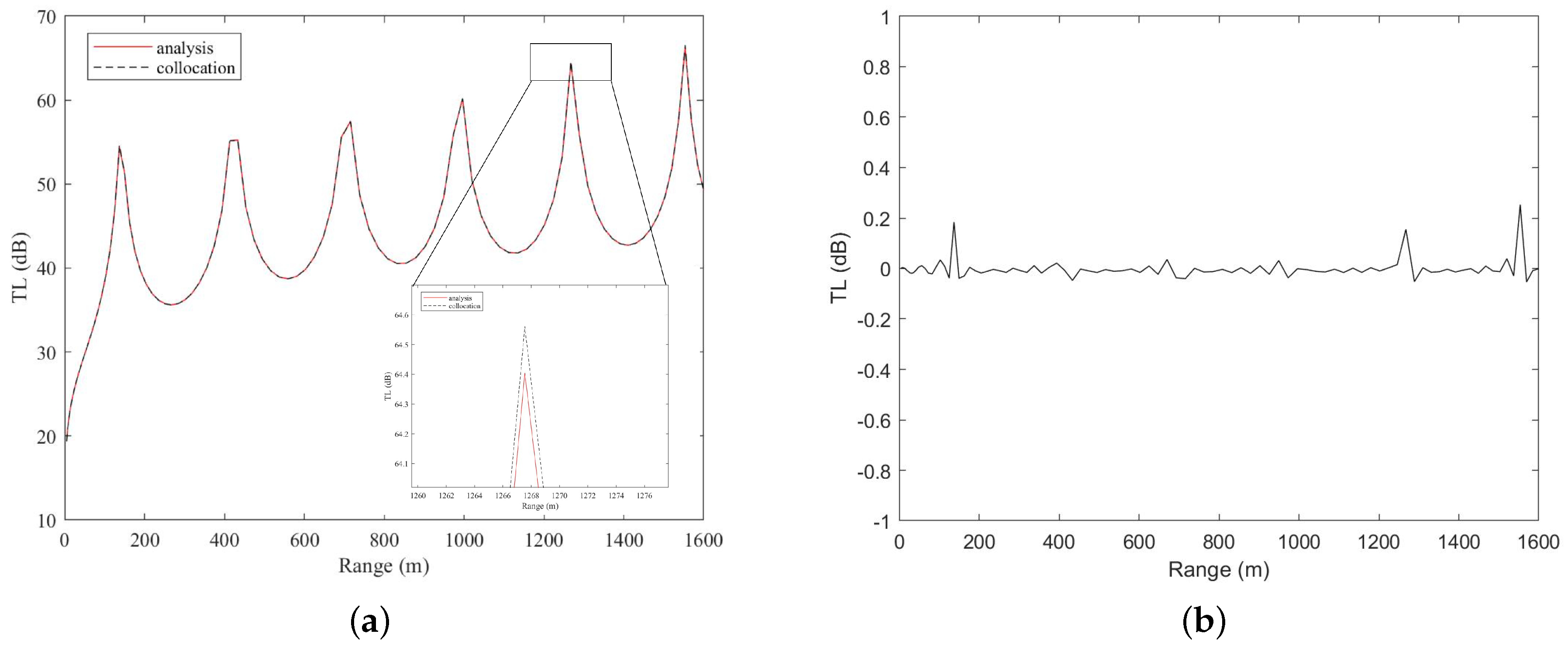
3.2.2. Ideal Fluid Waveguide
4. Conclusions and Outlook
Author Contributions
Funding
Institutional Review Board Statement
Informed Consent Statement
Data Availability Statement
Acknowledgments
Conflicts of Interest
References
- Erchang, S. Progress of geoacoustic inversion in underwater acoustics. J. Appl. Acoust. 2019, 38, 468–476. [Google Scholar]
- Bhowal, A.; Kshetrimayum, R. Optical Improved Quadrature Spatial Modulation for Cooperative Underwater Wireless Communication under Weak Oceanic Turbulence Conditions. IET Optoelectron. 2020, 14, 434–439. [Google Scholar] [CrossRef]
- Liu, X.; Ma, Y.; Li, Y.; Feng, T.; Yuan, X. Development of U.S. Underwater Unmanned Vehicles and Its Influence on U.S. Military Thinking. Fly. Missile 2020, 6, 12–19. (In Chinese) [Google Scholar]
- Yang, K.; Lei, B.; Lu, Y. Principle and Application of Typical Sound Field Model of Ocean Acoustics; Northwestern Polytechnical University Press: Xi’an, China, 2018. (In Chinese) [Google Scholar]
- Ya-fei, W.; Ying, Z.; Jing-hong, Y.; Hong-liang, Z. Research on Transmission of Acoustic Waves in Layered Media. Piezoelectrics Acoustooptics 2000, 22, 214–217. [Google Scholar]
- Jensen, F.B.; Kuperman, W.A.; Porter, M.B.; Schmidt, H. Computational Ocean Acoustics; Springer: New York, NY, USA, 2011. [Google Scholar] [CrossRef]
- Wang, Y.; Tu, H.; Liu, W.; Xiao, W.; Lan, Q. Application of a Chebyshev collocation method to solve a parabolic equation model of underwater acoustic propagation. Acoust. Aust. 2021, 49, 281–291. [Google Scholar] [CrossRef]
- Tappert, F.T. The Parabolic Equation Approximation Method in Wave Propagation and Underwater Acoustics; Springer: New York, NY, USA, 1977; Volume 70. [Google Scholar]
- Desanto, J.A. Relation between the solutions of the Helmholtz and parabolic equations for sound propagation. J. Acoust. Soc. Am. 1977, 62, 295–297. [Google Scholar] [CrossRef]
- Estes, L.E.; Fain, G. Numerical technique for computing the wide-angle acoustic field in an ocean with rang-dependent velocity profiles. J. Acoust. Soc. Am. 1977, 62, 38–43. [Google Scholar] [CrossRef]
- Mcdaniel, S.T.; Lee, D. A finite-difference treatment of interface conditions for the parabolic wave equation: The horizontal interface. J. Acoust. Soc. Am. 1982, 71, 855–858. [Google Scholar] [CrossRef]
- Pekeris, C.L. Theory of propagation of explosive sound in shallow water. Geol. Soc. Am. Mem. 1948, 27, 1–117. [Google Scholar] [CrossRef]
- Liu, W.; Wang, Y.; Zhang, L. Numerical Ocean Acoustics; Science Press: Beijing, China, 2019. [Google Scholar]
- Tao, W. Numerical Heat Transfer, 2nd ed.; Xi’an Jiaotong University Press: Xi’an, China, 2001. [Google Scholar]
- Thomas. Numerical Partial Differential Equations-Finite-Difference Methods; Springer: New York, NY, USA, 1977. [Google Scholar]
- Nabavi, M.; Siddiqui, M.K.; Dargahi, J. A new 9-point sixth-order accurate compact finite-difference method for the Helmholtz equation. J. Sound Vib. 2007, 307, 972–982. [Google Scholar] [CrossRef]
- Zhu, N.; Zhao, M. High-Order Finite Difference Method for Helmholtz Equation in polar Coordinates. Am. J. Comput. Math. 2019, 3, 174–186. [Google Scholar] [CrossRef][Green Version]
- Collins, M.D. User’s Guide for RAM Versions 1.0 and 1.0p; Naval Research Lab.: Washington, DC, USA, 1999; 0p. [Google Scholar]
- Porter, M.B. The Kraken Normal Mode Program; SACLANT Undersea Research Center: La Spezia, Italy, 2001. [Google Scholar]
- Girault, V.; Raviart, P.A. Finite Element Approximation of the Navier-Stokes Equations. Lecture Notes in Mathmetics; Spring: New York, NY, USA, 1979. [Google Scholar]
- Xiang, X. Numerical Analysis of Spectral Methods; Science Press: Beijing, China, 2000. (In Chinese) [Google Scholar]
- Castillo, K.A.; de Jesus, M.N.B.; Petronilho, J.C.A. A note on orthogonal polynomials described by Chebyshev polynomials (Article). J. Math. Anal. Appl. 2021, 497, 124906. [Google Scholar] [CrossRef]
- Aboites, V. Legendre Polynomials: A Simple Methodology. J. Phys. Conf. Ser. 2019, 1221, 012035. [Google Scholar] [CrossRef]
- Shi, X.; Ametani, A.; Gole, A.M. A study on interpolation and weighting function for numerical Fourier transform. Electr. Power Syst. Res. 2021, 195, 107121. [Google Scholar] [CrossRef]
- Huang, M.; Liu, H. Galerkin Finite Element Method for Parabolic Problem; Jilin University Press: Changchun, China, 1986. (In Chinese) [Google Scholar]
- Quarteroni, A.; Valli, A. Numerical Approximation of Partial Differential Equations; Spring: New York, NY, USA, 1998. [Google Scholar]
- Ma, H. Chebyshev-Legendre Viscosity Method for Nonlinear Conservation Laws. SIAM J. Numer. Anal. 1998, 35, 869–892. [Google Scholar] [CrossRef]
- Bressan, N.; Quarteroni, A. Analysis of Chebyshev Collocation Methods for Parabolic Equations. SIAM J. Numer. Anal. 1986, 23, 1138–1154. [Google Scholar] [CrossRef]
- Boyd, J.P. Chebyshev and Fourier Spectral Methods, 2nd ed.; Dover: New York, NY, USA, 2001. [Google Scholar]
- Ben-Yu, G. Spectral Methods and Their Applications; World Scientific Publishing: Hackensack, NJ, USA; London, UK, 1988. [Google Scholar]
- Qinglin, Z. Experiments on the 30-day long-range numerical weather predication in a seven-level spectral model. J. Acad. Meteorol. Sci. 1989, 10, 234–246. [Google Scholar]
- Xu, J.; Ge, M. Numerical Simulation of Gas-solid Channel Flow with the Spectral Method. J. Eng. Thermophilic 1999, 20, 233–237. [Google Scholar]
- Li, X.; He, K.; Li, H. Numerical Simulation of Tide-wave Nearby Daya Bay by Spectral Method. Sci. Technol. Eng. 2007, 7, 1847–1852. [Google Scholar]
- Wise, E.S.; Cox, B.T.; Jaros, J.; Treeby, B.E. Representing arbitrary acoustic source and sensor distributions in Fourier collocation methods. J. Acoust. Soc. Am. 2019, 146, 278–288. [Google Scholar] [CrossRef] [PubMed]
- Wang, J.B.; Pan, J. Acoustical wave propagator with modified Chebyshev expansion. Comput. Phys. Commun. 2006, 174, 187–190. [Google Scholar] [CrossRef]
- Lan, B. Non-iterative, stable analysis of surface acoustic waves in anisotropic piezoelectric multilayers using spectral collocation method. J. Sound Vib. 2018, 433, 16–28. [Google Scholar] [CrossRef]
- Evans, R.B. A Legendre-Galerkin Technique for Differential Eigenvalue Problems with Complex and Discontinuous Coefficients, Arising in Underwater Acoustics. 2016. Available online: http://oalib.hlsresearch.com/Modes/rimLG_oalib_2016/Legendre_Galerkin_Dec5_16.pdf (accessed on 17 August 2021).
- Shen, J. Efficient spectral-Galerkin method II. Direct solvers of second-and fourth-order equations using Chebyshev polynomials. SIAM J. Sci. Comput. 1995, 16, 74–87. [Google Scholar] [CrossRef]
- Wang, J. Research and Application of Spectral Method in Computational Fluid Dynamics. Master’s Thesis, Northwestern Polytechnical University, Xi’ an, China, 2007. (In Chinese). [Google Scholar]
- Oh, S. An Efficient Spectral Method to Solve Multi-Dimensional Linear Partial Different Equations Using Chebyshev Polynomials. Mathematics 2019, 7, 90. [Google Scholar] [CrossRef]
- Shen, J.; Tang, T. Spectral and High-Order Methods with Applications; Science Press: Beijing, China, 2006. [Google Scholar]





| N | Galerkin Error | Collocation Error |
|---|---|---|
| 8 | ||
| 16 | ||
| 22 | ||
| 24 | ||
| 30 | ||
| 32 |
| N | Galerkin Time (s) | Collocation Time (s) |
|---|---|---|
| 8 | 0.007 | 0.003 |
| 16 | 0.014 | 0.005 |
| 22 | 0.020 | 0.008 |
| 24 | 0.023 | 0.010 |
| 30 | 0.032 | 0.022 |
| 32 | 0.042 | 0.025 |
| N | Error in the Entire Domain | Error at the Depth of the Sound Source |
|---|---|---|
| 60 | ||
| 80 | ||
| 100 | ||
| 120 | ||
| 140 | ||
| 160 |
| Frequency (Hz) | N | Execution Time (s) |
|---|---|---|
| 150 | 100 | 14.1058 |
| 300 | 110 | 27.5516 |
| 400 | 130 | 77.5650 |
| 450 | 137 | 105.7993 |
| 500 | 145 | 145.8439 |
| N | Chebyshev–Collocation | Kraken |
|---|---|---|
| 70 | ||
| 80 | ||
| 100 | ||
| 120 |
| N | Chebyshev–Collocation | Kraken |
|---|---|---|
| 70 | ||
| 80 | ||
| 100 | ||
| 120 |
Publisher’s Note: MDPI stays neutral with regard to jurisdictional claims in published maps and institutional affiliations. |
© 2021 by the authors. Licensee MDPI, Basel, Switzerland. This article is an open access article distributed under the terms and conditions of the Creative Commons Attribution (CC BY) license (https://creativecommons.org/licenses/by/4.0/).
Share and Cite
Ma, X.; Wang, Y.; Zhu, X.; Liu, W.; Lan, Q.; Xiao, W. A Spectral Method for Two-Dimensional Ocean Acoustic Propagation. J. Mar. Sci. Eng. 2021, 9, 892. https://doi.org/10.3390/jmse9080892
Ma X, Wang Y, Zhu X, Liu W, Lan Q, Xiao W. A Spectral Method for Two-Dimensional Ocean Acoustic Propagation. Journal of Marine Science and Engineering. 2021; 9(8):892. https://doi.org/10.3390/jmse9080892
Chicago/Turabian StyleMa, Xian, Yongxian Wang, Xiaoqian Zhu, Wei Liu, Qiang Lan, and Wenbin Xiao. 2021. "A Spectral Method for Two-Dimensional Ocean Acoustic Propagation" Journal of Marine Science and Engineering 9, no. 8: 892. https://doi.org/10.3390/jmse9080892
APA StyleMa, X., Wang, Y., Zhu, X., Liu, W., Lan, Q., & Xiao, W. (2021). A Spectral Method for Two-Dimensional Ocean Acoustic Propagation. Journal of Marine Science and Engineering, 9(8), 892. https://doi.org/10.3390/jmse9080892

