Wave-Modified Ekman Current Solutions for the Time-Dependent Vertical Eddy Viscosity
Abstract
1. Introduction
2. Basic Equations and Boundary Conditions
3. Solutions
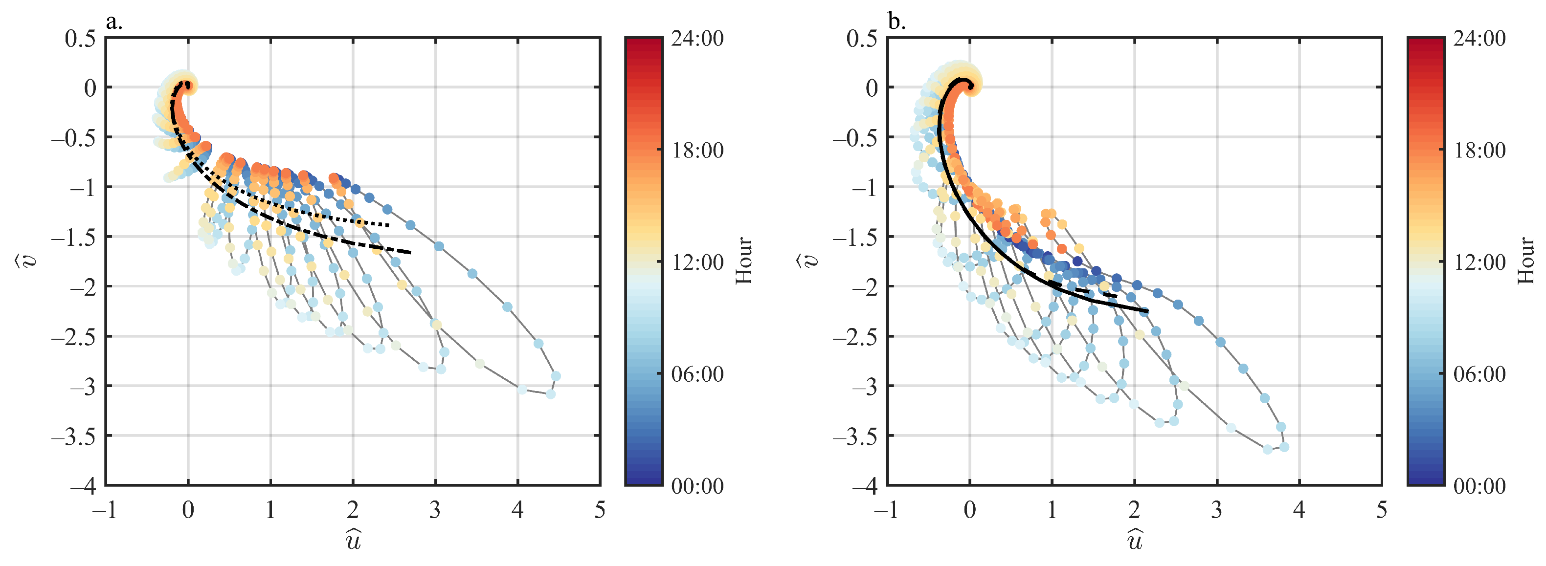
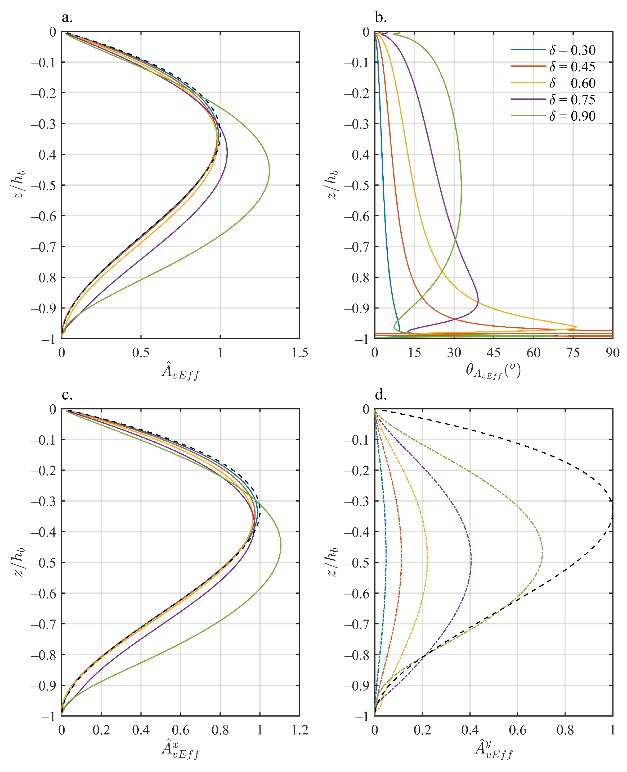
4. Discussion of the Solution
4.1. Sensitivity to the Fourier Modes n
4.2. Qualitative Characteristics
4.3. Rectification
5. Summary
Author Contributions
Funding
Institutional Review Board Statement
Informed Consent Statement
Data Availability Statement
Conflicts of Interest
References
- McWilliams, J.C.; Huckle, E. Ekman Layer Rectification. J. Phys. Oceanogr. 2006, 36, 1646–1659. [Google Scholar] [CrossRef]
- McWilliams, J.C.; Huckle, E.; Shchepetkin, A.F. Buoyancy Effects in a Stratified Ekman Layer. J. Phys. Oceanogr. 2009, 39, 2581–2599. [Google Scholar] [CrossRef]
- Sullivan, P.P.; McWilliams, J.C. Dynamics of Winds and Currents Coupled to Surface Waves. Annu. Rev. Fluid Mech. 2010, 42, 19–42. [Google Scholar] [CrossRef]
- Wenegrat, J.O.; McPhaden, M.J. Wind, Waves, and Fronts: Frictional Effects in a Generalized Ekman Model. J. Phys. Oceanogr. 2016, 46, 371–394. [Google Scholar] [CrossRef]
- Wenegrat, J.O.; McPhaden, M.J. Dynamics of the surface layer diurnal cycle in the equatorial Atlantic Ocean (0°, 23°W). J. Geophys. Res. Ocean. 2015, 120, 563–581. [Google Scholar] [CrossRef]
- Wenegrat, J.O.; McPhaden, M.J. A Simple Analytical Model of the Diurnal Ekman Layer. J. Phys. Oceanogr. 2016, 46, 2877–2894. [Google Scholar] [CrossRef]
- Shrira, V.I.; Almelah, R.B. Upper-ocean Ekman current dynamics: A new perspective. J. Fluid Mech. 2020, 887, A24. [Google Scholar] [CrossRef]
- McWilliams, J.C.; Huckle, E.; Liang, J.H.; Sullivan, P.P. The Wavy Ekman Layer: Langmuir Circulations, Breaking Waves, and Reynolds Stress. J. Phys. Oceanogr. 2012, 42, 1793–1816. [Google Scholar] [CrossRef]
- Huang, N.E. On surface drift currents in the ocean. J. Fluid Mech. 1979, 91, 191–208. [Google Scholar] [CrossRef]
- Xu, Z.; Bowen, A.J. Wave- and Wind-Driven Flow in Water of Finite Depth. J. Phys. Oceanogr. 1994, 24, 1850–1866. [Google Scholar] [CrossRef]
- Lewis, D.; Belcher, S. Time-dependent, coupled, Ekman boundary layer solutions incorporating Stokes drift. Dyn. Atmos. Ocean. 2004, 37, 313–351. [Google Scholar] [CrossRef]
- Polton, J.A.; Lewis, D.M.; Belcher, S.E. The Role of Wave-Induced Coriolis-Stokes Forcing on the Wind-Driven Mixed Layer. J. Phys. Oceanogr. 2005, 35, 444–457. [Google Scholar] [CrossRef]
- Song, J.B. The effects of random surface waves on the steady Ekman current solutions. Deep Sea Res. Part I Oceanogr. Res. Pap. 2009, 56, 659–671. [Google Scholar] [CrossRef]
- Song, J.B.; Huang, Y.S. An approximate solution of wave-modified Ekman current for gradually varying eddy viscosity. Deep Sea Res. Part I Oceanogr. Res. Pap. 2011, 58, 668–676. [Google Scholar] [CrossRef]
- Song, J.B.; Xu, J.L. Wave-modified Ekman current solutions for the vertical eddy viscosity formulated by K-Profile Parameterization scheme. Deep Sea Res. Part I Oceanogr. Res. Pap. 2013, 80, 58–65. [Google Scholar] [CrossRef]
- Perrie, W.; Tang, C.L.; Hu, Y.; DeTracy, B.M. The Impact of Waves on Surface Currents. J. Phys. Oceanogr. 2003, 33, 2126–2140. [Google Scholar] [CrossRef]
- Tang, C.L.; Perrie, W.; Jenkins, A.D.; DeTracey, B.M.; Hu, Y.; Toulany, B.; Smith, P.C. Observation and modeling of surface currents on the Grand Banks: A study of the wave effects on surface currents. J. Geophys. Res. Ocean. 2007, 112. [Google Scholar] [CrossRef]
- Noh, Y.; Goh, G.; Raasch, S.; Gryschka, M. Formation of a Diurnal Thermocline in the Ocean Mixed Layer Simulated by LES. J. Phys. Oceanogr. 2009, 39, 1244–1257. [Google Scholar] [CrossRef]
- Noh, Y.; Ok, H.; Lee, E.; Toyoda, T.; Hirose, N. Parameterization of Langmuir Circulation in the Ocean Mixed Layer Model Using LES and Its Application to the OGCM. J. Phys. Oceanogr. 2016, 46, 57–78. [Google Scholar] [CrossRef]
- Zhang, Y.; Tan, Z.M. The diurnal wind variation in a variable eddy viscosity semi-geostrophic Ekman boundary-layer model: Analytical study. Meteorol. Atmos. Phys. Vol. 2002, 81, 207–217. [Google Scholar] [CrossRef]
- de Wiel, B.J.H.V.; Moene, A.F.; Steeneveld, G.J.; Baas, P.; Bosveld, F.C.; Holtslag, A.A.M. A Conceptual View on Inertial Oscillations and Nocturnal Low-Level Jets. J. Atmos. Sci. 2010, 67, 2679–2689. [Google Scholar] [CrossRef]
- Tan, Z.; Farahani, M. An Analytical Study of the Diurnal Variations of Wind in a Semi-geostrophic Ekman Boundary Layer Model. Bound. Layer Meteorol. 1998, 86, 313–332. [Google Scholar] [CrossRef]
- Jenkins, A. The use of a wave prediction model for driving a near-surface current model. Dtsch. Hydrogr. Z. 1989, 42, 133–149. [Google Scholar] [CrossRef]
- Rascle, N.; Ardhuin, F.; Terray, E.A. Drift and mixing under the ocean surface: A coherent one-dimensional description with application to unstratified conditions. J. Geophys. Res. Ocean. 2006, 111. [Google Scholar] [CrossRef]
- Jenkins, A.D. Wind and Wave Induced Currents in a Rotating Sea with Depth-varying Eddy Viscosity. J. Phys. Oceanogr. 1987, 17, 938–951. [Google Scholar] [CrossRef][Green Version]
- Buajitti, K.; Blackadar, A.K. Theoretical studies of diurnal wind-structure variations in the planetary boundary layer. Q. J. R. Meteorol. Soc. 1957, 83, 486–500. [Google Scholar] [CrossRef]
- Singh, M.; McNider, R.; Lin, J. An analytical study of diurnal wind-structure variations in the boundary layer and the low-level nocturnal jet. Bound.-Layer Meteorol. 1993, 63, 397–423. [Google Scholar] [CrossRef]
- McWilliams, J.C. Submesoscale surface fronts and filaments: Secondary circulation, buoyancy flux, and frontogenesis. J. Fluid Mech. 2017, 823, 391–432. [Google Scholar] [CrossRef]
- Dauhajre, D.P.; McWilliams, J.C. Diurnal Evolution of Submesoscale Front and Filament Circulations. J. Phys. Oceanogr. 2018, 48, 2343–2361. [Google Scholar] [CrossRef]
- Sun, D.; Bracco, A.; Barkan, R.; Berta, M.; Dauhajre, D.; Molemaker, M.J.; Choi, J.; Liu, G.; Griffa, A.; McWilliams, J.C. Diurnal Cycling of Submesoscale Dynamics: Lagrangian Implications in Drifter Observations and Model Simulations of the Northern Gulf of Mexico. J. Phys. Oceanogr. 2020, 50, 1605–1623. [Google Scholar] [CrossRef]
- Large, W.G.; McWilliams, J.C.; Doney, S.C. Oceanic vertical mixing: A review and a model with a nonlocal boundary layer parameterization. Rev. Geophys. 1994, 32, 363–403. [Google Scholar] [CrossRef]
- Wu, R.; Blumen, W. An Analysis of Ekman Boundary Layer Dynamics Incorporating the Geostrophic Momentum Approximation. J. Atmos. Sci. 1982, 39, 1774–1782. [Google Scholar] [CrossRef][Green Version]
- Group, T.W. The WAM Model—Third Generation Ocean Wave Prediction Model. J. Phys. Oceanogr. 1988, 18, 1775–1810. [Google Scholar] [CrossRef]
- Komen, G.J.; Cavaleri, L.; Donelan, M.; Hasselmann, K.; Hasselmann, S.; Janssen, P.A.E.M. Dynamics and Modelling of Ocean Waves; Cambridge University Press: Cambridge, UK, 1994. [Google Scholar] [CrossRef]
- Kenyon, K.E. Stokes drift for random gravity waves. J. Geophys. Res. 1969, 74, 6991–6994. [Google Scholar] [CrossRef]
- Breivik, Ø.; Janssen, P.A.E.M.; Bidlot, J.R. Approximate Stokes Drift Profiles in Deep Water. J. Phys. Oceanogr. 2014, 44, 2433–2445. [Google Scholar] [CrossRef]
- McWilliams, J.C.; Huckle, E.; Liang, J.; Sullivan, P.P. Langmuir Turbulence in Swell. J. Phys. Oceanogr. 2014, 44, 870–890. [Google Scholar] [CrossRef]
- Chu, P.C. Ekman Spiral in a Horizontally Inhomogeneous Ocean with Varying Eddy Viscosity. Pure Appl. Geophys. 2015, 172, 2831–2857. [Google Scholar] [CrossRef][Green Version]
- Breivik, Ø.; Bidlot, J.R.; Janssen, P.A. A Stokes drift approximation based on the Phillips spectrum. Ocean Model. 2016, 100, 49–56. [Google Scholar] [CrossRef]












Publisher’s Note: MDPI stays neutral with regard to jurisdictional claims in published maps and institutional affiliations. |
© 2021 by the authors. Licensee MDPI, Basel, Switzerland. This article is an open access article distributed under the terms and conditions of the Creative Commons Attribution (CC BY) license (https://creativecommons.org/licenses/by/4.0/).
Share and Cite
Chen, H.; Li, S.; Song, J.; He, H. Wave-Modified Ekman Current Solutions for the Time-Dependent Vertical Eddy Viscosity. J. Mar. Sci. Eng. 2021, 9, 664. https://doi.org/10.3390/jmse9060664
Chen H, Li S, Song J, He H. Wave-Modified Ekman Current Solutions for the Time-Dependent Vertical Eddy Viscosity. Journal of Marine Science and Engineering. 2021; 9(6):664. https://doi.org/10.3390/jmse9060664
Chicago/Turabian StyleChen, Hui, Shaofeng Li, Jinbao Song, and Hailun He. 2021. "Wave-Modified Ekman Current Solutions for the Time-Dependent Vertical Eddy Viscosity" Journal of Marine Science and Engineering 9, no. 6: 664. https://doi.org/10.3390/jmse9060664
APA StyleChen, H., Li, S., Song, J., & He, H. (2021). Wave-Modified Ekman Current Solutions for the Time-Dependent Vertical Eddy Viscosity. Journal of Marine Science and Engineering, 9(6), 664. https://doi.org/10.3390/jmse9060664

