Multi-Platform, High-Resolution Study of a Complex Coastal System: The TOSCA Experiment in the Gulf of Trieste
Abstract
1. Introduction
2. Materials and Methods
2.1. Numerical Simulations
2.1.1. Ocean Circulation Model
2.1.2. Meteorological Model
2.1.3. Configuration of the Simulations
2.2. High-Frequency Radar Data
2.3. Drifter Data
2.4. In-Situ Thermohaline Measurements
2.5. Data Intercomparison
2.5.1. Comparison between Model Results and HFR-Derived Surface Currents
2.5.2. HFR and Drifter Data Intercalibration
2.5.3. Comparison between Real and Virtual Drifter Trajectories
3. Results
3.1. Description of the Meteo-Oceanographic Conditions during the TOSCA Experiment
3.2. Modelling the Freshwater Input
3.3. Comparison between Model Results and CTD Casts
3.4. Comparison between Model Results and HF Radar Data
3.4.1. Surface Current Maps
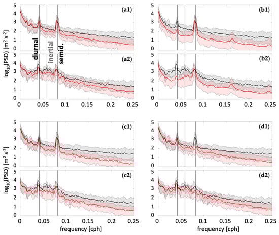
3.4.2. Power Spectral Density
3.5. Drifter (Real and Virtual) Data Analysis
3.5.1. Radar–Drifter Comparison
3.5.2. Model–Drifter Comparison
3.5.3. Separation Distance between Real and Virtual Drifters
4. Discussion and Conclusions
Author Contributions
Funding
Data Availability Statement
Acknowledgments
Conflicts of Interest
References
- Roarty, H.; Cook, T.; Hazard, L.; George, D.; Harlan, J.; Cosoli, S.; Wyatt, L.; Alvarez Fanjul, E.; Terrill, E.; Otero, M.; et al. The Global High Frequency Radar Network. Front. Mar. Sci. 2019, 6, 164. [Google Scholar] [CrossRef]
- Testor, P.; de Young, B.; Rudnick, D.L.; Glenn, S.; Hayes, D.; Lee, C.M.; Pattiaratchi, C.; Hill, K.; Heslop, E.; Turpin, V.; et al. OceanGliders: A Component of the Integrated GOOS. Front. Mar. Sci. 2019, 6, 422. [Google Scholar] [CrossRef]
- Bellomo, L.; Griffa, A.; Cosoli, S.; Falco, P.; Gerin, R.; Iermano, I.; Kalampokis, A.; Kokkini, Z.; Lana, A.; Magaldi, M.G.; et al. Toward an Integrated HF Radar Network in the Mediterranean Sea to Improve Search and Rescue and Oil Spill Response: The TOSCA Project Experience. J. Oper. Oceanogr. 2015, 8, 95–107. [Google Scholar] [CrossRef]
- Simpson, J.H. Physical Processes in the ROFI Regime. J. Mar. Syst. 1997, 12, 3–15. [Google Scholar] [CrossRef]
- Covelli, S.; Piani, R.; Faganeli, J.; Brambati, A. Circulation and Suspended Matter Distribution in a Microtidal Deltaic System: The Isonzo River Mouth (Northern Adriatic Sea). J. Coast. Res. 2004, 41, 130–140. [Google Scholar]
- Malačič, V.; Petelin, B. Climatic Circulation in the Gulf of Trieste (Northern Adriatic). J. Geophys. Res. 2009, 114, C07002. [Google Scholar] [CrossRef]
- Querin, S.; Crise, A.; Deponte, D.; Solidoro, C. Numerical Study of the Role of Wind Forcing and Freshwater Buoyancy Input on the Circulation in a Shallow Embayment (Gulf of Trieste, Northern Adriatic Sea). J. Geophys. Res. 2007, 112, C03S16. [Google Scholar] [CrossRef]
- Chavanne, C.; Janeković, I.; Flament, P.; Poulain, P.-M.; Kuzmić, M.; Gurgel, K.-W. Tidal Currents in the Northwestern Adriatic: High-Frequency Radio Observations and Numerical Model Predictions. J. Geophys. Res. 2007, 112, C03S21. [Google Scholar] [CrossRef]
- Kovačević, V.; Gačić, M.; Mancero Mosquera, I.; Mazzoldi, A.; Marinetti, S. HF Radar Observations in the Northern Adriatic: Surface Current Field in Front of the Venetian Lagoon. J. Mar. Syst. 2004, 51, 95–122. [Google Scholar] [CrossRef]
- Cosoli, S.; Gačić, M.; Mazzoldi, A. Surface Current Variability and Wind Influence in the Northeastern Adriatic Sea as Observed from High-Frequency (HF) Radar Measurements. Cont. Shelf Res. 2012, 33, 1–13. [Google Scholar] [CrossRef]
- Poulain, P.-M. Tidal Currents in the Adriatic as Measured by Surface Drifters. J. Geophys. Res. Oceans 2013, 118, 1434–1444. [Google Scholar] [CrossRef]
- Stravisi, F. The IT Method for the Harmonic Tidal Prediction. Boll. Oceanol. Teor. Ed. Appl. 1983, 1, 193–204. [Google Scholar]
- Cushman-Roisin, B.; Naimie, C.E. A 3D Finite-Element Model of the Adriatic Tides. J. Mar. Syst. 2002, 37, 279–297. [Google Scholar] [CrossRef]
- Malačič, V.; Viezzoli, D. Tides in the Northern Adriatic Sea—The Gulf of Trieste. Nuovo Cimento 2000, 23, 365–382. [Google Scholar]
- Dorman, C.E.; Carniel, S.; Cavaleri, L.; Sclavo, M.; Chiggiato, J.; Doyle, J.; Haack, T.; Pullen, J.; Grbec, B.; Vilibić, I.; et al. February 2003 Marine Atmospheric Conditions and the Bora over the Northern Adriatic. J. Geophys. Res. 2007, 112, C03S03. [Google Scholar] [CrossRef]
- Raicich, F.; Malačič, V.; Celio, M.; Giaiotti, D.; Cantoni, C.; Colucci, R.R.; Čermelj, B.; Pucillo, A. Extreme Air-Sea Interactions in the Gulf of Trieste (North Adriatic) during the Strong Bora Event in Winter 2012. J. Geophys. Res. Oceans 2013, 118, 5238–5250. [Google Scholar] [CrossRef]
- Querin, S.; Cossarini, G.; Solidoro, C. Simulating the Formation and Fate of Dense Water in a Midlatitude Marginal Sea during Normal and Warm Winter Conditions. J. Geophys. Res. Oceans 2013, 118, 885–900. [Google Scholar] [CrossRef]
- Querin, S.; Bensi, M.; Cardin, V.; Solidoro, C.; Bacer, S.; Mariotti, L.; Stel, F.; Malačič, V. Saw-tooth Modulation of the Deep-water Thermohaline Properties in the Southern Adriatic Sea. J. Geophys. Res. Oceans 2016, 121, 4585–4600. [Google Scholar] [CrossRef]
- Vilibić, I.; Mihanović, H.; Janeković, I.; Šepić, J. Modelling the Formation of Dense Water in the Northern Adriatic: Sensitivity Studies. Ocean Model. 2016, 101, 17–29. [Google Scholar] [CrossRef]
- Janeković, I.; Mihanović, H.; Vilibić, I.; Tudor, M. Extreme Cooling and Dense Water Formation Estimates in Open and Coastal Regions of the Adriatic Sea during the Winter of 2012. J. Geophys. Res. Oceans 2014, 119, 3200–3218. [Google Scholar] [CrossRef]
- Stravisi, F. Some Characteristics of the Circulation in the Gulf of Trieste. Thalass. Jugosl. 1983, 19, 355–363. [Google Scholar]
- Cosoli, S.; Ličer, M.; Vodopivec, M.; Malačič, V. Surface Circulation in the Gulf of Trieste (Northern Adriatic Sea) from Radar, Model, and ADCP Comparisons: Hf Radar and Model Study of Trieste Gulf. J. Geophys. Res. Oceans 2013, 118, 6183–6200. [Google Scholar] [CrossRef]
- Bogunović, B.; Malačič, V. Circulation in the Gulf of Trieste: Measurements and Model Results. Nuovo Cimento C 2009, 31, 301–326. [Google Scholar] [CrossRef]
- Zavatarelli, M.; Pinardi, N.; Kourafalou, V.H.; Maggiore, A. Diagnostic and Prognostic Model Studies of the Adriatic Sea General Circulation: Seasonal Variability. J. Geophys. Res. 2002, 107, 3004. [Google Scholar] [CrossRef]
- Zavatarelli, M.; Pinardi, N. The Adriatic Sea Modelling System: A Nested Approach. Ann. Geophys. 2003, 21, 345–364. [Google Scholar] [CrossRef]
- Malačič, V.; Petelin, B.; Vodopivec, M. Topographic Control of Wind-Driven Circulation in the Northern Adriatic. J. Geophys. Res. Oceans 2012, 117, C06032. [Google Scholar] [CrossRef]
- Marshall, J.; Adcroft, A.; Hill, C.; Perelman, L.; Heisey, C. A Finite-Volume, Incompressible Navier Stokes Model for Studies of the Ocean on Parallel Computers. J. Geophys. Res. Oceans 1997, 102, 5753–5766. [Google Scholar] [CrossRef]
- Leith, C.E. Large Eddy Simulation of Complex Engineering and Geophysical Flows. Phys. Fluids 1968, 10, 1409–1416. [Google Scholar] [CrossRef]
- Smagorinsky, J. Large Eddy Simulation of Complex Engineering and Geophysical Flows. In Evolution of Physical Oceanography; Orszag, S.A., Galperin, B., Eds.; Cambridge University Press: Cambridge, UK, 1993; pp. 3–36. [Google Scholar]
- Large, W.G.; McWilliams, J.C.; Doney, S.C. Oceanic Vertical Mixing: A Review and a Model with a Nonlocal Boundary Layer Parameterization. Rev. Geophys. 1994, 32, 363–403. [Google Scholar] [CrossRef]
- Campin, J.-M.; Heimbach, P.; Losch, M.; Forget, G.; Hill, E.; Adcroft, A.; Molod, A.; Menemenlis, D.; Ferreira, D.; Hill, C.; et al. MITgcm/MITgcm: Mid 2020 Version; Zenodo: Geneva, Switzerland, 2020. [Google Scholar]
- Silvestri, C.; Bruschi, A.; Calace, N.; Cossarini, G.; Angelis, R.D.; Di Biagio, V.; Giua, N.; Saccomandi, F.; Peleggi, M.; Querin, S.; et al. CADEAU Project—Final Report, figshare, Iasi, Romania. 2020; 4399279. [CrossRef]
- Erofeeva, S.; Padman, L.; Howard, S.L. Tide Model Driver (TMD) Version 2.5, Toolbox for Matlab; Earth & Space Research: Seattle, WA, USA, 2019. [Google Scholar]
- Termonia, P.; Fischer, C.; Bazile, E.; Bouyssel, F.; Brožková, R.; Bénard, P.; Bochenek, B.; Degrauwe, D.; Derková, M.; El Khatib, R.; et al. The ALADIN System and Its Canonical Model Configurations AROME CY41T1 and ALARO CY40T1. Geosci. Model Dev. 2018, 11, 257–281. [Google Scholar] [CrossRef]
- Strajnar, B.; Cedilnik, J.; Fettich, A.; Ličer, M.; Pristov, N.; Smerkol, P.; Jerman, J. Impact of Two-Way Coupling and Sea-Surface Temperature on Precipitation Forecasts in Regional Atmosphere and Ocean Models. Q. J. R. Meteorol. Soc. 2019, 145, 228–242. [Google Scholar] [CrossRef]
- Fischer, C.; Montmerle, T.; Berre, L.; Auger, L.; Ştefănescu, S.E. An Overview of the Variational Assimilation in the ALADIN/France Numerical Weather-Prediction System. Q. J. R. Meteorol. Soc. 2005, 131, 3477–3492. [Google Scholar] [CrossRef]
- Giard, D.; Bazile, E. Implementation of a New Assimilation Scheme for Soil and Surface Variables in a Global NWP Model. Mon. Weather Rev. 2000, 128, 19. [Google Scholar] [CrossRef]
- Donlon, C.J.; Martin, M.; Stark, J.; Roberts-Jones, J.; Fiedler, E.; Wimmer, W. The Operational Sea Surface Temperature and Sea Ice Analysis (OSTIA) System. Remote Sens. Environ. 2012, 116, 140–158. [Google Scholar] [CrossRef]
- Paduan, J.D.; Graber, H.C. Introduction to High-Frequency Radar: Reality and Myth. Oceanography 1997, 10, 36–39. [Google Scholar] [CrossRef]
- Stewart, R.H.; Joy, J.W. HF Radio Measurements of Surface Currents. Deep Sea Res. Oceanogr. Abstr. 1974, 21, 1039–1049. [Google Scholar] [CrossRef]
- Gurgel, K.-; Essen, H.-; Schirmer, F. CODAR in Germany–A Status Report Valid November 1985. IEEE J. Ocean. Eng. 1986, 11, 251–257. [Google Scholar] [CrossRef]
- Gerin, R.; Poulain, P.-M.; Bussani, A.; Brunetti, F.; Zervakis, V.; Kokkini, Z.; Malačič, V.; Čermelj, B. First TOSCA Drifter Experiment in the Gulf of Trieste (April 2012); Technical Report 2012/91 OCE 6 SIRE; OGS: Trieste, Italy, 2012; p. 32. [Google Scholar]
- Gerin, R.; Bussani, A. Nuova Procedura Di Editing Automatico Dei Dati Drifter Impiegata Su Oceano per MyOcean e Prodotti Web in Near-Real Time e Delay Mode; Technical Report 2011/55 OGA 20 SIRE; OGS: Trieste, Italy, 2011; p. 13. [Google Scholar]
- Hansen, D.V.; Poulain, P.-M. Quality Control and Interpolations of WOCE-TOGA Drifter Data. J. Atmos. Ocean. Technol. 1996, 13, 900–909. [Google Scholar] [CrossRef]
- Menna, M.; Gerin, R.; Bussani, A.; Poulain, P.-M. The OGS Mediterranean Drifter Dataset: 1986–2016; Technical Report 2017/92 OCE 28 MAOS; OGS: Trieste, Italy, 2017; p. 34. [Google Scholar]
- Poulain, P.-M.; Gerin, R. Assessment of the Water-Following Capabilities of CODE Drifters Based on Direct Relative Flow Measurements. J. Atmos. Ocean. Technol. 2019, 36, 621–633. [Google Scholar] [CrossRef]
- Fofonoff, N.P.; Millard, R.C. Algorithms for the Computation of Fundamental Properties of Seawater; UNESCO Technical Papers in Marine Sciences; UNESCO: Paris, France, 1983; p. 53. [Google Scholar]
- Cosoli, S.; Drago, A.; Ciraolo, G.; Capodici, F. Tidal Currents in the Malta—Sicily Channel from High-Frequency Radar Observations. Cont. Shelf Res. 2015, 109, 10–23. [Google Scholar] [CrossRef]
- Capodici, F.; Cosoli, S.; Ciraolo, G.; Nasello, C.; Maltese, A.; Poulain, P.-M.; Drago, A.; Azzopardi, J.; Gauci, A. Validation of HF Radar Sea Surface Currents in the Malta-Sicily Channel. Remote Sens. Environ. 2019, 225, 65–76. [Google Scholar] [CrossRef]
- Halverson, M.; Pawlowicz, R.; Chavanne, C. Dependence of 25-MHz HF Radar Working Range on Near-Surface Conductivity, Sea State, and Tides. J. Atmos. Ocean. Technol. 2017, 34, 447–462. [Google Scholar] [CrossRef]
- Ličer, M.; Estival, S.; Reyes-Suarez, C.; Deponte, D.; Fettich, A. Lagrangian Modelling of a Person Lost at Sea during the Adriatic Scirocco Storm of 29 October 2018. Nat. Hazards Earth Syst. Sci. 2020, 20, 2335–2349. [Google Scholar] [CrossRef]
- Kukulka, T.; Plueddemann, A.J.; Trowbridge, J.H.; Sullivan, P.P. Significance of Langmuir Circulation in Upper Ocean Mixing: Comparison of Observations and Simulations. Geophys. Res. Lett. 2009, 36, L10603. [Google Scholar] [CrossRef]
- McWilliams, J.C.; Huckle, E.; Liang, J.-H.; Sullivan, P.P. The Wavy Ekman Layer: Langmuir Circulations, Breaking Waves, and Reynolds Stress. J. Phys. Oceanogr. 2012, 42, 1793–1816. [Google Scholar] [CrossRef]
- Poulain, P.-M.; Gerin, R.; Mauri, E.; Pennel, R. Wind Effects on Drogued and Undrogued Drifters in the Eastern Mediterranean. J. Atmos. Ocean. Technol. 2009, 26, 1144–1156. [Google Scholar] [CrossRef]
- Enrile, F.; Besio, G.; Stocchino, A.; Magaldi, M.G.; Mantovani, C.; Cosoli, S.; Gerin, R.; Poulain, P.M. Evaluation of Surface Lagrangian Transport Barriers in the Gulf of Trieste. Cont. Shelf Res. 2018, 167, 125–138. [Google Scholar] [CrossRef]













| Simulation Name | Wind | River Flow | Tides |
|---|---|---|---|
| reference run (RR) | ✓ | ✓ | ✓ |
| no wind (NW) | 10% 1 | ✓ | ✓ |
| no river (NR) | ✓ | 10% 1 | ✓ |
| no tides (NT) | ✓ | ✓ | ✕ |
| R (95%CL) | a (95%CL) | b (95%CL) | n | |
|---|---|---|---|---|
| HFR-U | 0.7561 | 0.6742 | −0.4870 | 713 |
| (0.7228, 0.7859) | (0.6312, 0.7172) | (−1.1212, 0.1473) | ||
| HFR-V | 0.7468 | 0.5951 | 1.9872 | 713 |
| (0.7124, 0.7775) | (0.5561, 0.6341) | (1.3691, 2.6052) |
| R (95%CL) | a (95%CL) | b (95%CL) | n | |
|---|---|---|---|---|
| RR-U | 0.313 | 0.2186 | 1.2134 | 713 |
| (0.2452, 0.3777) | (0.1698, 0.2675) | (0.4922, 1.9346) | ||
| RR-V | 0.2406 | 0.164 | 0.726 | 713 |
| (0.1702, 0.3086) | (0.1153, 0.2128) | (−0.0457, 1.4977) | ||
| NW-U | 0.3948 | 0.1918 | 1.9718 | 713 |
| (0.3309, 0.4550) | (0.1589, 0.2247) | (1.4866, 2.4570) | ||
| NW-V | 0.3025 | 0.1373 | −2.4317 | 713 |
| (0.2343, 0.3678) | (0.1054, 0.1691) | (−2.9360, −1.9274) | ||
| NR-U | 0.3981 | 0.227 | 2.7082 | 713 |
| (0.3344, 0.4581) | (0.1885, 0.2655) | (2.1396, 3.2769) | ||
| NR-V | 0.1876 | 0.0954 | 2.1136 | 713 |
| (0.1158, 0.2575) | (0.0586, 0.1322) | (1.5313, 2.6960) | ||
| NT-U | 0.2982 | 0.2013 | 1.8935 | 713 |
| (0.2298, 0.3637) | (0.1539, 0.2488) | (1.1930, 2.5939) | ||
| NT-V | 0.213 | 0.1416 | 2.2624 | 713 |
| (0.1418, 0.2821) | (0.0938, 0.1895) | (1.5050, 3.0198) |
Publisher’s Note: MDPI stays neutral with regard to jurisdictional claims in published maps and institutional affiliations. |
© 2021 by the authors. Licensee MDPI, Basel, Switzerland. This article is an open access article distributed under the terms and conditions of the Creative Commons Attribution (CC BY) license (https://creativecommons.org/licenses/by/4.0/).
Share and Cite
Querin, S.; Cosoli, S.; Gerin, R.; Laurent, C.; Malačič, V.; Pristov, N.; Poulain, P.-M. Multi-Platform, High-Resolution Study of a Complex Coastal System: The TOSCA Experiment in the Gulf of Trieste. J. Mar. Sci. Eng. 2021, 9, 469. https://doi.org/10.3390/jmse9050469
Querin S, Cosoli S, Gerin R, Laurent C, Malačič V, Pristov N, Poulain P-M. Multi-Platform, High-Resolution Study of a Complex Coastal System: The TOSCA Experiment in the Gulf of Trieste. Journal of Marine Science and Engineering. 2021; 9(5):469. https://doi.org/10.3390/jmse9050469
Chicago/Turabian StyleQuerin, Stefano, Simone Cosoli, Riccardo Gerin, Célia Laurent, Vlado Malačič, Neva Pristov, and Pierre-Marie Poulain. 2021. "Multi-Platform, High-Resolution Study of a Complex Coastal System: The TOSCA Experiment in the Gulf of Trieste" Journal of Marine Science and Engineering 9, no. 5: 469. https://doi.org/10.3390/jmse9050469
APA StyleQuerin, S., Cosoli, S., Gerin, R., Laurent, C., Malačič, V., Pristov, N., & Poulain, P.-M. (2021). Multi-Platform, High-Resolution Study of a Complex Coastal System: The TOSCA Experiment in the Gulf of Trieste. Journal of Marine Science and Engineering, 9(5), 469. https://doi.org/10.3390/jmse9050469

