Abstract
Ciguatera fish poisoning (CFP) is one of the most frequently reported seafood poisoning diseases. It is endemic to the tropical region and occurs most commonly in the regions around the Pacific Ocean, Indian Ocean, and Caribbean Sea. The principal toxins causing CFP are ciguatoxins (CTXs). In the Pacific region, more than 20 analogs of CTXs have been identified to date. Based on their skeletal structures, they are classified into CTX1B-type and CTX3C-type toxins. We have previously reported species-specific and regional-specific toxin profiles. In this study, the levels and profiles of CTXs in fish present in the tropical western Pacific regions were analyzed using the liquid chromatography–tandem mass spectrometry (LC–MS/MS) technique. Forty-two fish specimens, belonging to the categories of snappers, groupers, Spanish mackerel, and moray eel, were purchased from various places such as Fiji, the Philippines, Thailand, and Taiwan. Only the fish captured from Fijian coastal waters contained detectable amounts of CTXs. The toxin levels in the fish species found along the coastal regions of the Viti Levu Island, the main island in Fiji, and the toxin profiles were significantly different from those of the fish species present in other coastal regions. The toxin levels and profiles varied among the different fish samples collected from different coastal areas. Based on the toxin levels and toxin profiles, the coast was demarcated into three zones. In Zone-1, which covers the northern coast of the main island and the regions of the Malake Island and Korovau, CTXs in fish were below the detection level. In Zone-2, CTX3C-type toxins were present in low levels in the fish. CTX1B-type and CTX3C-type toxins co-occurred in the fish present in Zone-3. The toxin profiles may have reflected the variation in Gambierdiscus spp.
1. Introduction
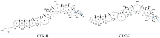
Ciguatera fish poisoning (CFP) is associated with gastrointestinal, cardiovascular, and neurological diseases. CFP is of non-microbial origin and is one of the frequently reported large-scale seafood poisoning diseases affecting more than 50,000 people worldwide. It is prevalent along the tropical and subtropical Indo-Pacific Ocean and the Caribbean Sea and is caused by ingesting finfish contaminated with toxins, collectively termed ciguatoxins (CTXs). In the Pacific region, the origin of CTXs was confirmed as the benthic dinoflagellate of the genera Gambierdiscus and Fukuyoa [,]. Based on their structure, the Pacific CTXs are classified into CTX1B-type and CTX3C-type toxins. Both the classes of the compounds are composed of fused polycyclic-ether backbones consisting of 13 rings aligned differently in the two groups (Figure 1). Bio-oxidation in fish results in the production of toxin analogs (24 identified to date), differing in the number and position of hydroxyl groups and the stereochemistry at the spiro ketal carbon [,]. The toxins in the fish samples collected from French Polynesia, Hawaii, and Japan were characterized using the liquid chromatography–tandem mass spectrometry (LC–MS/MS) technique. In Japan, samples were collected from the mainland, Ryukyu Islands (Okinawa and Amami), and the Minamitorishima region (Marcus Island). Significant differences were observed in the toxin profiles present in fish belonging to different species and captured from different regions [,,,]. Only CTX1B-type toxins were detected in the specimens captured in the Okinawa and Amami regions. In the specimens captured in Hawaii, French Polynesia, Minamitorishima, and mainland Japan, both CTX1B-type and CTX3C-type toxins were detected. The species-specific characteristics of the toxins present in fish specimens obtained from Okinawa were recorded. CTX1B was abundant in the snappers Lutjanus bohar and Lutjanus monostigma. The levels of CTX1B and the two deoxy analogs of CTX1B (52-epi-54-deoxyCTX1B and 54-deoxyCTX1B) were almost the same in the groupers of Variola louti, Variola albimarginata, and Epinephelus fuscoguttatus. The deoxy analogs were present in abundance in the groupers of Plectropomus laevis. CTX4A and CTX4B (produced by dinoflagellates), and CTX1B and its two deoxy analogs were detected in Oplegnathus punctatus that fed on grazers. The same trend was observed in the specimens from other areas of Japan.

Figure 1.
Structures of ciguatoxins, CTX1B and CTX3C.
It is important to characterize the toxins using the LC–MS technique to gain insight into CFP that is prevalent in the Pacific region. The LC–MS/MS technique was used to analyze the CTXs present in fish specimens obtained from different places, such as Fiji, Thailand, the Philippines, and Taiwan, to determine the toxin content in the various fish specimens found in the tropical western Pacific region. The toxin profiles were also studied.
2. Materials and Methods
2.1. Reagents
Acetone, hexane, diethyl ether, and methanol (used for extraction) were of analytical grade, while ethyl acetate, methanol, and acetonitrile, used for sample preparation and to prepare the mobile phases for LC–MS/MS, were of high-performance liquid chromatography (HPLC) or LC–MS grade (Kanto Chemical Co., Inc., Tokyo, Japan). Ammonium formate solution (1 mol/L, HPLC grade) and formic acid (HPLC grade) were purchased from Wako Chemical Industry, Ltd. (Osaka, Japan). Ultra-pure water was obtained from a Milli-Q® Integral Water Purification System (Millipore, Bedford, MA, USA). Chloroform (HPLC grade; Kanto Chemical Co., Inc., Tokyo, Japan), hydrogen chloride (~4 mol/L) in 1,4-dioxane (Tokyo Chemical Industry Co., LTD, Tokyo, Japan), and sodium hydroxide solution (1 mol/L; Kanto Chemical Co., Inc., Tokyo, Japan) were used for epimerizing CTX3C to 49-epiCTX3C.
2.2. Reference Toxins
The CTX reference mixture used in this study, consisting of CTX1B, 52-epi-54-deoxyCTX1B, 54-deoxyCTX1B, CTX4A, CTX4B, 2,3-dihydroxyCTX3C, 51-hydroxyCTX3C, and CTX3C, was prepared using purified (or semi-purified) CTXs provided by Prof. Takeshi Yasumoto (Japan Food Research Laboratories (JFRL)). The CTXs obtained from natural sources were characterized, and the spectra were analyzed for identification [,,,,,]. The levels of CTXs in the mixture were determined using ciguatoxin-1B (43.3 ± 1.3 ng; used for more polar analogs: CTX1B, 52-epi-54-deoxyCTX1B, 54-deoxyCTX1B, 2,3-dihydroxyCTX3C, and 51-hydoxyCTX3C) and ciguatoxin-3C (38.5 ± 2.6 ng; used for less polar analogs: 49-epiCTX3C, CTX3C, CTX4A, and CTX4B), provided by JFRL, as reference materials [].
Purified CTX3C was used to prepare the 49-epiCTX3C reference following the acid-catalyzed epimerization reaction reported by Yasumoto et al. []. A solution of CTX3C in methanol (10 ng/mL, 50 μL) was placed in a screw cap vial, and the sample was dried under a stream of nitrogen. The dried material was dissolved in chloroform (900 μL) and mixed with a solution of hydrochloric acid in dioxane (1 mol/L,100 μL). The mixture was heated at 55 °C for 45 min and stirred several times during the progress of the reaction. On completion of the reaction, the mixture was neutralized using sodium hydroxide in water (1 mol/L, 100 μL) and dried under a stream of nitrogen. The product was dissolved in methanol (500 μL) and analyzed using the LC–MS/MS technique to confirm the formation of 49-epiCTX3C. The 49-epiCTX3C formed was eluted prior to CTX3C (Figure S1).
Apart from the CTX1B and CTX3C analogs, the semi-purified Caribbean ciguatoxin-1 (C-CTX-1) provided by the late Dr. Ann Abraham (US Food and Drug Administration) was used as a reference.
2.3. Fish Specimens and Sample Preparation
Fish specimens were purchased from a local market or obtained from fishermen in Taiwan (Keelung, 6 specimens), Thailand (Hat Yai, 10 specimens), the Philippines (Manila, 7 specimens), and Fiji (Korovou, Lautoka, Malake, Sigatoka, and Suva, 19 specimens) in the 2014–2015 season (Table 1). A list of 42 specimens is presented in Table S1. These specimens were transferred to the National Institute of Health Sciences (NIHS) and stored at −30 °C or −70 °C until use. The fish species were morphologically identified by Prof. Hiroyuki Motomura of the Kagoshima University Museum. The CTXs present in the different specimens were also identified.

Table 1.
Number of specimens used in this study and regions of collection.
Fish flesh was extracted, and the extracts were treated following reported protocols [,,]. The frozen samples were packed in plastic bags and thawed under running water. The samples were dissected into flesh, skin, head, internal organs, and bony parts. The flesh samples were analyzed.
The fish flesh (5 g) was minced and extracted twice with acetone (15 mL). The combined extracts were concentrated by removing acetone. Following this, the residue was extracted twice with diethyl ether (5 mL). Following the removal of diethyl ether, the residue was suspended in 90% methanol (v/v, 1.5 mL) and defatted twice using hexane (3 mL). The aqueous methanol layer was completely evaporated. The dried residue was dissolved in a solvent system consisting of ethyl acetate and methanol (ethyl acetate:methanol = 9:1, v/v, 5 mL), and the solution was passed through a Florisil cartridge column (500 mg; GL Sciences Inc., Tokyo, Japan) that was preconditioned with the same solvent system. The eluate was completely evaporated under a stream of nitrogen, and the residue was subsequently dissolved in acetonitrile (5 mL). The solution was applied to a primary and secondary amine (PSA) cartridge column (200 mg; GL Sciences Inc., Tokyo, Japan), and the less polar components (CTX3C, 49-epiCTX3C) were eluted. Methanol (3 mL) was used to elute the polar toxins. The analogs bearing a 1,2-diol side-chain on ring A (CTX1B and two 54-deoxy isomers) and 2,3-dihydroxyCTX3C were present in the methanol eluate. The acetonitrile and methanol eluates were separately analyzed. The eluates were dried under a stream of nitrogen. The residues were dissolved in methanol (1 mL) and analyzed using the LC–MS/MS technique.
2.4. LC–MS/MS Analysis
The LC–MS/MS technique was used to analyze the samples. The samples were analyzed using an Agilent (Santa Clara, CA) 1290 HPLC system coupled to an Agilent 6460 Triple Quadrupole MS instrument. Previously reported protocols were followed for conducting the experiments [,]. The sample (5 µL) was chromatographed on a Zorbax Eclipse Plus C18 column (Agilent Technologies, Santa Clara, California; 2.1 × 50 mm id, 1.8 μm). The flow rate and column temperature were maintained at 0.4 mL/min and 40 °C, respectively. The gradient system consisted of eluates A (5 mM ammonium formate and 0.1% formic acid in water) and B (methanol): Grad I, 0.0–0 min (60% B), 0.25–0.50 min (60–75% B), 0.50–12.0 min (75% B), 12.0–14.0 min (90% B), and 14.1–20 min (100% B). When a CTX peak was detected, the sample was reanalyzed using Grad II (for more polar analogs) or Grad III (for less polar analogs) gradient systems (Grad II: 0.0–0.25 min (50% B), 0.25–0.5 min (50–65% B), 0.5–25 min (65–80% B), 25–27 min (80% B), 27.1–33.0 min (100% B); Grad III: 0.0–0.25 min (60% B), 0.25–0.5 min (60–75% B), 0.5–23 min (75–90% B), 23.0–25.0 min (90% B), 25.1–31.0 min (100% B)). The analytical column was equilibrated with the starting eluent. The equilibration step was conducted at least 4 min prior to the start of each analytical procedure.
The target toxins were ionized using the Agilent Jet Stream electrospray ionization (ESI) source. The positive ions were monitored under the multiple reaction monitoring (MRM) mode. As the [M+Na]+ ions were stable and did not produce fragment ions, the [M+Na]+ ions of each analog were set for both precursor and product ions ([M+Na]+ > [M+Na]+) with high collision energy to achieve sensitive analysis (Table S2). The optimized MS parameters are presented: dry gas: N2, 300 °C, 10 L/min; nebulizer gas: N2, 50 psi; sheath gas: N2, 380 °C, 11 L/min; capillary voltage: 5000 V; fragmentor voltage: 300 V; collision gas: N2; and collision energy: 40 eV.
Recoveries of CTX1B spiked at two different doses (0.8 ng and 1.6 ng) into a crude extract of a fish were 90.3% and 78.6%, respectively []. The limit of detection (LOD, s/n > 5) and the limit of quantitation (LOQ, s/n > 10) of all CTX analogs were estimated as 0.001 µg/kg and 0.005 µg/kg, respectively, based on the chromatograms of the CTX reference mixture solution.
3. Results
We collected 42 fish specimens from five different areas of the tropical western Pacific (19 specimens from Fiji, 6 from Taiwan, 10 from Thailand, and 7 from the Philippines) and determined the types and levels of ciguatoxins present in them. Snappers, groupers, barracuda, Spanish mackerel, and moray eel, all listed by Halstead as potentially toxic (in some parts of the ocean), were studied []. Only the fish flesh was analyzed. Of the five areas surveyed, cases of CFP have been occasionally reported in Fiji [,,,,,,]. CTXs were detected only in five specimens purchased in Fiji. This prompted us to collect and test more fish from Fiji. The species name, standard length, body weight, and locations of purchase of the specimens are listed in Table 2. CTXs were detected in V. louti (two specimens), Lutjanus fulviflamma (two specimens), and Gymnothorax javanicus (one specimen). The types and levels of the toxins (expressed in μg/kg) are summarized in Table 3. The V. louti specimens obtained from Sigatoka and Suva contained CTX1B (0.078 and 0.033 μg/kg, respectively), 52-epi-54-deoxyCTX1B (0.065 and 0.022 μg/kg, respectively), and 54-deoxyCTX1B (0.105 and 0.028 μg/kg, respectively) (Figure 2A1,B1). Interestingly, the co-occurrence of trace amounts of 49-epiCTX3C and CTX3C was noted (Figure 2A2,B2). In the two specimens of L. fulviflamma (obtained from Nadi), CTX1B-type toxins were not detected but trace amounts of CTX3C and 49-epiCTX3C were detected (Figure 2C2,D2). The moray eel purchased in Lautoka contained only CTX3C-type toxins (Figure 2E2).

Table 2.
The fish specimens obtained from Viti Levu Island, Fiji.

Table 3.
Types and levels of CTXs detected in fish specimens obtained from Viti Levu Island, Fiji.

Figure 2.
Liquid chromatography–tandem mass spectrometry (LC–MS/MS) chromatogram of methanol (1) and acetonitrile (2) eluates of Variola louti specimens obtained from Sigatoka (A) and Suva (B), two specimens of Lutjanus fulviflamma obtained from Nadi (C,D), and Gymnothorax javanicus specimens obtained from Lautoka (E), Viti Levu Island, Fiji.
4. Discussion
Among all the collected fish specimens, CTXs were only detected in the specimens obtained from Fiji. CFP is endemic to the province [,,]. CFP incidents are uncommon in Taiwan, Thailand, and the Philippines [,]. The number of specimens analyzed was rather small to arrive at a conclusion. Only the specimens purchased from Fiji contained CTXs.
The V. louti specimen obtained from Sigatoka contained the highest levels of CTXs (0.25 µg/kg (total CTXs) or 0.13 µg CTX1B equivalent/kg). The toxicity equivalency factor (TEF) values proposed by the European Food Safety Authority (EFSA) were used for the calculations (Table 3) []. The minimum amount of CTX1B that can cause illness in humans, when consumed, was estimated to be 10 MU, which is equivalent to 70 ng of CTX1B []. Thus, CFP can occur if 400 g of the fish flesh is consumed. In our previous study [], we demonstrated that the recombinant human CYP3A4 enzyme can oxidize CTX4A and CTX4B (produced by G. toxicus) to 52-epi-54-deoxyCTX1B, 54-deoxyCTX1B, and CTX1B. If 52-epi-54-deoxyCTX1B and 54-deoxyCTX1B get oxidized to CTX1B before the reduction of CTX1B in the human body, the toxicity level is estimated to be 0.25 µg CTX1B equivalent/kg. In such a scenario, the consumption of 280 g of fish flesh can potentially cause CFP. Further investigations must be conducted to estimate the TEF values to assess the amount of ciguatera toxins entering the body upon fish consumption.
The marked variations in the toxin profiles and toxin levels suggest that depending on the toxin profiles and levels, the coastline can be divided into three zones (Figure 3): Zone-1, covering the region from Malake Island to Korovou, where CTXs could not be detected in the representative ciguateric species, L. bohar and L. monostigma (Table 2); Zone-2 (Suva and Sigatoka regions), where the fish contain high levels of toxins belonging to the CTX1B family and low levels of toxins belonging to the CTX3C family; Zone-3, which spans the regions from Nadi to Lautoka, where the fish contain low levels of the toxins belonging to the CTX3C family. It is difficult to divide the areas into distinct zones. The data shown in Figure 3 potentially help in providing an idea of the proposed zones. More numbers of fish need to be tested to properly demarcate the zones. Nevertheless, the data (presented herein) on the types of toxins in fish present in different zones are highly informative. The toxin levels may vary among the different fish specimens, but the toxin profiles may not. Epidemiological surveys conducted in the past have identified and recorded the frequency of occurrence of CFP at the sites [,,]. However, the diagnosis was primarily based on symptomatic evidences. The results from the LC–MS/MS analyses can help us confirm the diagnosis and correlate the severity of the symptoms to the toxin type and toxin levels. There is an ongoing debate on the origin of the symptoms observed in humans. It is still unclear whether the toxin types or the toxin levels dictate the appearance of the symptoms. Results obtained from analyzing the LC–MS/MS data can potentially answer this question.

Figure 3.
Proposed zonation of Viti Levu Island, Fiji, based on CTX profiles. Zone-1: CTXs undetectable; Zone-2: predominance of CTX1B-type and low levels of CTX3C-type toxins; and Zone-3: CTTX3C-type toxins present in low levels.
Vast areas around the Pacific region need to be surveyed to increase our knowledge of CFP. It is worth mentioning that L. fulviflamma contains CTXs, but the consumption of fish belonging to this species has never caused CFP in Okinawa, Japan []. Interestingly, low levels of CTX3C and its analogs were present in all the fish specimens studied (except those obtained from Lautoka). The fish purchased in Taiwan, Thailand, and the Philippines are members of the genera Epinephelus, Lutjanus, Plectropomus, Scarus, and Variola. It is well known that the consumption of these fish causes CFP in humans residing in various regions around the Pacific Ocean. Although CTXs were not detected in these specimens, it must be remembered that a limited number of fish was studied and a small area was explored. Thus, it is important to maintain vigilance on fish toxicity.
Supplementary Materials
The following are available online at https://www.mdpi.com/2077-1312/9/3/299/s1: Figure S1. LC–MS/MS chromatograms of purified CTX3C (a) and the product (b) of acid-catalyzed epimerization reaction described in Section 2.2. Reference Toxins; Table S1. The specimens used for this study; Table S2. CTX analogs and monitored ions on LC–MS/MS analysis.
Author Contributions
Conceptualization, N.O., T.K., and H.A.; methodology, N.O., A.I., and H.T.; validation, N.O. and K.K.; formal analysis, N.O., T.T., and K.K.; investigation, N.O., T.T., and K.K.; resources, N.O., A.I., and H.T.; data curation, N.O., T.T., and K.K.; writing—original draft preparation, N.O. and T.T.; writing—review and editing, N.O., T.T., K.K., A.I., H.T., T.K., and H.A.; visualization, N.O., T.T., and K.K.; supervision, T.K. and H.A.; project administration, N.O.; funding acquisition, N.O. All authors have read and agreed to the published version of the manuscript.
Funding
This research was funded by the Food Safety Commission, Japan, Research Program for Risk Assessment Study on Food Safety, No. 1403, and the Japan Food Chemical Research Foundation.
Institutional Review Board Statement
Not applicable.
Informed Consent Statement
Not applicable.
Data Availability Statement
Not applicable.
Acknowledgments
We thank Takeshi Yasumoto (Japan Food Research Laboratories) for supplying the reference CTXs and purified CTXs. We also thank him for providing valuable suggestions during our discussions. We thank Hiroyuki Motomura (Kagoshima University Museum) for identifying the fish specimens. We thank Takao Yoshimatsu (Graduate School of Bioresources, Mie University), Anuchit Plubrukarn (Faculty of Pharmaceutical Sciences, Prince of Songkla University), Kuo-Ping Chiang (National Taiwan Ocean University), and Marc Lawrence J. Romero (Bureau of Fisheries and Aquatic Resources Fisheries Resources Management, the Philippines) for helping us collect the fish specimens. We thank the late Ann Abraham (Center for Food Safety and Applied Nutrition, US Food and Drug Administration) for generously gifting us C-CTX-1. We thank Hiroya Nagasawa for assisting us in the laboratory at the NIHS.
Conflicts of Interest
The authors declare no conflict of interest.
References
- Yasumoto, T.; Nakajima, I.; Bagnis, R.; Adachi, R. Finding of a Dinoflagellate as a likely culprit of Ciguatera. Bull. Jap. Soc. Sci. Fish. 1977, 43, 1021–1026. [Google Scholar] [CrossRef]
- Chinain, M.; Gatti, C.M.; Roué, M.; Darius, H.T.; Subba Rao, D. Ciguatera-causing dinoflagellates in the genera Gambierdiscus and Fukuyoa: Distribution, ecophysiology and toxicology. In Dinoflagellates: Classification, Evolution, Physiology and Ecological Significance; Durvasula, S.R.V., Ed.; Nova Science Publishers: New York, NY, USA, 2020; pp. 405–457. [Google Scholar]
- Yasumoto, T. Chemistry, etiology, and food chain dynamics of marine toxins. Proc. Jpn. Acad. Ser. B 2005, 81, 43–51. [Google Scholar] [CrossRef]
- Ikehara, T.; Kuniyoshi, K.; Oshiro, N.; Yasumoto, T. Biooxidation of Ciguatoxins Leads to Species-Specific Toxin Profiles. Toxins 2017, 9, 205. [Google Scholar] [CrossRef]
- Yogi, K.; Oshiro, N.; Inafuku, Y.; Hirama, M.; Yasumoto, T. Detailed LC-MS/MS Analysis of Ciguatoxins revealing distinct regional and species characteristics in fish and Causative Alga from the Pacific. Anal. Chem. 2011, 83, 8886–8891. [Google Scholar] [CrossRef]
- Yogi, K.; Oshiro, N.; Matsuda, S.; Sakugawa, S.; Matsuo, T.; Yasumoto, T. Toxin profiles in fish implicated in Ciguatera fish poisoning in Amami and Kakeroma Islands, Kagoshima Prefecture, Japan. Shokuhin Eiseigaku Zasshi (Food Hyg. Saf. Sci.) 2013, 54, 385–391. [Google Scholar] [CrossRef]
- Yogi, K.; Sakugawa, S.; Oshiro, N.; Ikehara, T.; Sugiyama, K.; Yasumoto, T. Determination of toxins involved in Ciguatera fish poisoning in the Pacific by LC/MS. J. AOAC Int. 2014, 97, 398–402. [Google Scholar] [CrossRef]
- Oshiro, N.; Tomikawa, T.; Kuniyoshi, K.; Kimura, K.; Kojima, T.; Yasumoto, T.; Asakura, H. Detection of ciguatoxins from the fish introduced to a wholesale market in Japan. Shokuhin Eiseigaku Zasshi (Food Hyg. Saf. Sci.) 2021, 62, 8–13. [Google Scholar] [CrossRef] [PubMed]
- Yasumoto, T.; Igarashi, T.; Legrand, A.-M.; Cruchet, P.; Chinain, M.; Fujita, T.; Naoki, H. Structural elucidation of ciguatoxin congeners by fast-atom bombardment tandem mass spectroscopy. J. Am. Chem. Soc. 2000, 122, 4988–4989. [Google Scholar] [CrossRef]
- Murata, M.; Legrand, A.M.; Ishibashi, Y.; Yasumoto, T. Structures of ciguatoxin and its congener. J. Am. Chem. Soc. 1989, 111, 8929–8931. [Google Scholar] [CrossRef]
- Murata, M.; Legrand, A.M.; Ishibashi, Y.; Fukui, M.; Yasumoto, T. Structures and configurations of ciguatoxin from the moray eel Gymnothorax javanicus and its likely precursor from the dinoflagellate Gambierdiscus toxicus. J. Am. Chem. Soc. 1990, 112, 4380–4386. [Google Scholar] [CrossRef]
- Satake, M.; Murata, M.; Yasumoto, T. The structure of CTX3C, a ciguatoxin congener isolated from cultured Gambierdiscus toxicus. Tetrahedron Lett. 1993, 34, 1975–1978. [Google Scholar] [CrossRef]
- Satake, M.; Ishibashi, Y.; Legrand, A.-M.; Yasumoto, T. Isolation and structure of Ciguatoxin-4A, a new Ciguatoxin precursor, from cultures of Dinoflagellate Gambierdiscus toxicus and Parrotfish Scarus gibbus. Biosci. Biotechnol. Biochem. 1997, 60, 2103–2105. [Google Scholar] [CrossRef] [PubMed]
- Satake, M.; Fukui, M.; Legrand, A.-M.; Cruchet, P.; Yasumoto, T. Isolation and structures of new ciguatoxin analogs, 2,3-dihydroxyCTX3C and 51-hydroxyCTX3C, accumulated in tropical reef fish. Tetrahedron Lett. 1998, 39, 1197–1198. [Google Scholar] [CrossRef]
- Kato, T.; Yasumoto, T. Quantification of representative Ciguatoxins in the Pacific using quantitative nuclear magnetic resonance spectroscopy. Mar. Drugs 2017, 15, 309. [Google Scholar] [CrossRef] [PubMed]
- Halstead, B.W. Poisonous and Venomous Marine Animals of the World; Darwin Press, Inc.: Princeton, UK, 1988. [Google Scholar]
- EFSA Panel on Contaminants in the Food Chain, Scientific Opinion on marine biotoxins in shellfish–Emerging toxins: Ciguatoxin group. EFSA J. 2010, 8, 1627.
- Skinner, M.P.; Brewer, T.D.; Johnstone, R.; Fleming, L.E.; Lewis, R.J. Ciguatera fish poisoning in the Pacific Islands (1998 to 2008). PLoS Negl. Trop. Dis. 2011, 5, e1416. [Google Scholar] [CrossRef]
- Lewis, N.D. Epidemiology and impact of Ciguatera in the Pacific: A review. Mar. Fish. Rev. 1986, 48, 6–13. [Google Scholar]
- Lin, W.-F.; Lyu, Y.-C.; Wu, Y.-J.; Lu, C.-H.; Hwang, D.-F. Species identification of snapper: A food poisoning incident in Taiwan. Food Control 2012, 25, 511–515. [Google Scholar] [CrossRef]
- Sintunawa, C. Surveillance of marine fish for ciguatera toxin at fish markets in Bangkok, Thailand. Asian BioMed 2014, 8, 263. [Google Scholar] [CrossRef]
- Chan, T.Y. Ciguatera Fish Poisoning in East Asia and Southeast Asia. Mar. Drugs 2015, 13, 3466–3478. [Google Scholar] [CrossRef]
- Friedman, M.; Fernandez, M.; Backer, L.; Dickey, R.; Bernstein, J.; Schrank, K.; Kibler, S.; Stephan, W.; Gribble, M.; Bienfang, P.; et al. An updated review of Ciguatera fish poisoning: Clinical, epidemiological, environmental, and public health management. Mar. Drugs 2017, 15, 72. [Google Scholar] [CrossRef] [PubMed]
- Sorokin, M. Ciguatera poisoning in North-West Viti Levu, Fiji Islands. Hawaii Med. J. 1975, 34, 207–210. [Google Scholar]
- Narayan, Y. Fish Poisoning in Fiji. Fiji Med. J. 1980, 8, 254–258. [Google Scholar]
- Nahar, J.; Sharma, N.A.; Kumar, K.; Prasad, A.; Kumar, A. In Fishermen’s Expert Views on the Causes of Fish Poisoning in Fiji: An Investigation through Data Mining Technique. In Proceedings of the 2017 4th Asia-Pacific World Congress on Computer Science and Engineering (APWC on CSE), Nadi, Fiji, 11–13 December 2017; IEEE: Piscataway, NJ, USA, 2017; pp. 99–105. [Google Scholar]
- Oshiro, N.; Yogi, K.; Asato, S.; Sasaki, T.; Tamanaha, K.; Hirama, M.; Yasumoto, T.; Inafuku, Y. Ciguatera incidence and fish toxicity in Okinawa, Japan. Toxicon 2010, 56, 656–661. [Google Scholar] [CrossRef] [PubMed]
Publisher’s Note: MDPI stays neutral with regard to jurisdictional claims in published maps and institutional affiliations. |
© 2021 by the authors. Licensee MDPI, Basel, Switzerland. This article is an open access article distributed under the terms and conditions of the Creative Commons Attribution (CC BY) license (http://creativecommons.org/licenses/by/4.0/).