Level III Reliability Design of an Armor Block of Rubble Mound Breakwater Using Probabilistic Model of Wave Height Optimized for the Korean Sea Wave Conditions and Non-Gaussian Wave Slope Distribution
Abstract
1. Introduction
2. Design of Armor Block of Rubble Mound Breakwater
2.1. Deterministic Design Based on the Van der Meer Equation
2.2. Reliability Design
2.2.1. Partial Safety Factor Method (Level I)
2.2.2. Level II Reliability Design
3. Probabilistic Model
3.1. Wave Height Distribution
3.1.1. Rayleigh Distribution
3.1.2. Modified Glukhovskiy Distribution
3.1.3. Composite Weibull Distribution
3.1.4. Tri-Variates Weibull Distribution
3.1.5. Optimized Probabilistic Model of Wave Height for the Korean Sea Wave Conditions
3.2. Wave Slope Distribution
3.2.1. Gaussian Distribution
3.2.2. Non-Gaussian Wave Slope Distribution
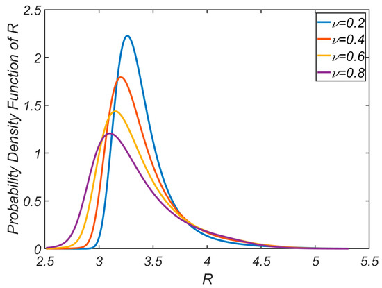
3.2.3. Verification of Non-Gaussian Wave Slope Distribution
4. Level III Reliability-Based Design of an Armor Block of Rubble Mound Breakwater
5. Numerical Results
5.1. Level III Reliability-Based Design of an Armor Block Using the Probabilistic Model of Wave Height Optimized for the Korean Sea Wave Conditions and Gaussian Wave Slope Distribution
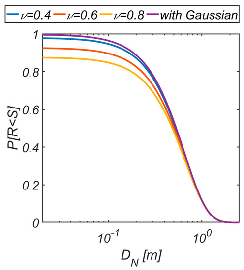
5.2. Level III Reliability-Based Design of an Armor Block Using the Probabilistic Model of Wave Height Optimized for the Korean Sea Wave Conditions and the Non-Gaussian Wave Slope Distribution
6. Conclusions
Funding
Institutional Review Board Statement
Informed Consent Statement
Data Availability Statement
Acknowledgments
Conflicts of Interest
References
- Choi, S.H.; Cho, Y.J. Development of a probabilistic model for the estimation of yearly workable wave condition period for offshore operations-centering on the sea off the Ulsan harbor. J. Korean Soc. Coast. Ocean Eng. 2019, 31, 115–128. [Google Scholar] [CrossRef]
- US Army Corps of Eng. Shore Protection Manual, 4th ed.; Coastal Eng. Res. Center, US Government Printing Office: Washington, DC, USA, 1984. [Google Scholar]
- Kim, S.W.; Suh, K.D.; Oh, Y.M. Comparative study of reliability design methods by application to Donghae Harbor breakwaters. 1. Stability of amour blocks. J. Korean Soc. Coast. Ocean Eng. 2005, 17, 188–201. [Google Scholar]
- Kim, S.W.; Suh, K.D.; Lee, C.E.; Park, D.H. Reliability analyses of breakwater armor blocks of harbors in Korea. J. Korean Soc. Coast. Ocean Eng. 2009, 21, 15–29. [Google Scholar]
- Suh, K.D.; Kweon, H.M.; Yoon, H.D. Calculation of expected damage to breakwater armor blocks considering variability in wave Direction. J. Korean Soc. Coast. Ocean Eng. 2003, 15, 21–32. [Google Scholar]
- Cho, Y.J.; Kim, I.H. Preliminary study on the development of platform for the selection of an optimal beach stabilization measures against the beach erosion–centering on the yearly sediment budget of the Mang-Bang beach. J. Korean Soc. Coast. Ocean Eng. 2019, 31, 28–39. [Google Scholar] [CrossRef]
- Cho, Y.J.; Kim, I.H.; Cho, Y.J. Numerical analysis of the grand circulation process of Mang-Bang beach-centered on the shoreline change from 2017.4.26 to 2018.4.20. J. Korean Soc. Coast. Ocean Eng. 2019, 31, 101–114. [Google Scholar] [CrossRef]
- Chang, P.S.; Cho, Y.J. Preliminary study on the development of a platform for the optimization of beach stabilization measures against beach erosion III—Centering on the effects of random Waves occurring during the unit observation period, and infra-gravity waves of bound mode, and boundary layer streaming on the sediment transport. J. Korean Soc. Coast. Ocean Eng. 2019, 31, 434–449. [Google Scholar]
- Van der Meer, J.W. Deterministic and probabilistic design of break water armor blocks. Proc. Am. Soc. Civ. Eng. J. Waterw. Ports Coastal Ocean Eng. Div. 1988, 114, 1. [Google Scholar]
- Van der Meer, J.W. Stability of Cubes, Tetrapodes and Accropode. In Proceedings of the Breakwaters ’88 Conference, Eastbourne, UK, 4–6 May 1988; Design of Breakwaters, Institution of Civil Engineers: London, UK, 1988; pp. 71–80. [Google Scholar]
- Van der Meer, J.W. Design of concrete armor layers. In Proceedings Coastal Structures ’99; Balkema: Rotterdam, The Netherlands, 2000; pp. 213–221. [Google Scholar]
- Battjes, J.A.; Groenendijk, H.W. Wave height distributions on shallow fore-shores. Coast. Eng. 2000, 40, 161–182. [Google Scholar]
- Klopman, G.; Stive, M.J.F. Extreme waves and wave loading in shallow water. Presented at the E&P Forum Workshop in Paris, Delft Hydraulics, The Netherlands, 25–26 October 1989. [Google Scholar]
- Forristall, G.Z. Wave crest distribution: Observations and second-order theory. J. Phys. Oceanogr. 2000, 30, 1931–1943. [Google Scholar] [CrossRef]
- Cavanie, A.; Arhan, M.; Ezraty, R. A statistical relationship between individual heights and periods of storm waves. Proc. Conf. Behav. Offshore Struct. 1976, 2, 354–360. [Google Scholar]
- Longuet-Higgins, M.S. On the Joint Distribution of Wave Periods and Amplitudes in a Random Wave Field. Proc. Roy. Soc. Lond. 1983, 389, 241–258. [Google Scholar]
- Park, S.H.; Cho, Y.J. Joint distribution of wave crest and its associated period in nonlinear random waves. J. Korean Soc. Coast. Ocean Eng. 2019, 31, 278–293. [Google Scholar] [CrossRef]
- PIANC. Analysis of Rubble Mound Breakwaters; Report of working group 12 of PTC II; Supplement to Bulletin No. 78/79; PIANC General Secretariat: Brussels, Belgium, 1992; ISBN 2-87223-047-5. [Google Scholar]
- Papoulis, A. Probability, Random Variables and Stochastic Processes; McGraw-Hill book Co.: New York, NY, USA, 1965. [Google Scholar]
- Thompson, D.M.; Shuttler, R.M. Riprap Design for Wind-Wave Attack-a Laboratory Study in Random Waves; Report 61; Report EX 707 Hydraulics Research: Wallingford, UK, 1975. [Google Scholar]
- Burcharth, H.F.; Sorensen, J.D. The PIANC safety factor system for breakwaters. In Proceedings of the International Conference Coastal Structures ’99, Santander, Spain, 7–10 June 1999; pp. 1125–1144. [Google Scholar]
- Longuet-Higgins, M.S. On the statistical distributions of heights of sea waves. J. Mar. Res. 1952, 11, 245–266. [Google Scholar]
- Glukhovskiy, B.K. Investigation of sea wind waves. In Proceedings of the Sea Climatology Conference, Leningrad, Russia, 15–16 February 1966; pp. 51–71. [Google Scholar]
- Battjes, J.A. Energy Dissipation in Breaking Solitary and Periodic Waves; Rep. No. 1986-5; Delft University of Technology, Communications on Hydraulic and Geotechnical Engineering: Delft, The Netherlands, 1986. [Google Scholar]
- Klopman, G. Extreme Wave Heights in Shallow Water; H2486; Delft Hydraulics: Delft, The Netherlands, 1996. [Google Scholar]
- van Vledder, G.P.; Ruessink, G.; Rijnsdorp, D.P. Individual wave height distributions in the coastal zone: Measurements and simulations and the effect of directional spreading. In Proceedings of the Coastal Dynamics 2013: 7th International Conference on Coastal Dynamics, Arcachon, France, 24–28 June 2013. [Google Scholar]
- Ochi, M.K. Applied Probability & Stochastic Processes in Engineering & Physical Sciences; John Wiley & Sons: Hoboken, NJ, USA, 1992. [Google Scholar]
- CUR [Centre for Civil Engineering Research and Codes]. Manual on the Use of Block in Hydraulic Engineering; Ministry of Transport, Public Works and Water Management, Road and Hydraulic Engineering Division: Delft, The Netherlands, 1988. [Google Scholar]
- Hasselmann, K. A criterion for nonlinear wave stability. J. Fluid Mech. 1967, 30, 737–739. [Google Scholar] [CrossRef]
- Phillips, O.M. The Dynamics of the Upper Ocean; Cambridge Monographs on Mechanics; Cambridge University Press: Cambridge, UK, 1980. [Google Scholar]
- Abramowitz, M.; Stegun, I.A. Handbook of Mathematical Functions; Dover: Mineola, NY, USA, 1968. [Google Scholar]
- Nayfeh, A.H. Introduction to Perturbation Techniques; John Wiley & Sons: Hoboken, NJ, USA, 1981. [Google Scholar]




















| Variables | ||
|---|---|---|
| 0.2 | 0.05 | |
| 1000 | 0 | |
| 1.282 | 0.03 | |
| 2.3 | 0.0396 | |
| 0.0267 | 0.0016 | |
| 0 | 0.25 | |
| 6.0 | 0.00 | |
| 3.385 |
| RUN 1 | 2.7 | 0.25 | 2.9 | 6.30 |
| RUN 2 | 3.4 | 0.25 | 3.60 | 8.07 |
| RUN 3 | 4.5 | 0.25 | 4.71 | 10.87 |
| RUN 4 | 5.1 | 0.25 | 5.315 | 12.40 |
| RUN 5 | 6.6 | 0.25 | 6.81 | 16.24 |
| 0.2 | 0.4 | 0.6 | 0.8 | |
| 3.26 | 3.20 | 3.15 | 3.1 |
Publisher’s Note: MDPI stays neutral with regard to jurisdictional claims in published maps and institutional affiliations. |
© 2021 by the author. Licensee MDPI, Basel, Switzerland. This article is an open access article distributed under the terms and conditions of the Creative Commons Attribution (CC BY) license (http://creativecommons.org/licenses/by/4.0/).
Share and Cite
Cho, Y.J. Level III Reliability Design of an Armor Block of Rubble Mound Breakwater Using Probabilistic Model of Wave Height Optimized for the Korean Sea Wave Conditions and Non-Gaussian Wave Slope Distribution. J. Mar. Sci. Eng. 2021, 9, 223. https://doi.org/10.3390/jmse9020223
Cho YJ. Level III Reliability Design of an Armor Block of Rubble Mound Breakwater Using Probabilistic Model of Wave Height Optimized for the Korean Sea Wave Conditions and Non-Gaussian Wave Slope Distribution. Journal of Marine Science and Engineering. 2021; 9(2):223. https://doi.org/10.3390/jmse9020223
Chicago/Turabian StyleCho, Yong Jun. 2021. "Level III Reliability Design of an Armor Block of Rubble Mound Breakwater Using Probabilistic Model of Wave Height Optimized for the Korean Sea Wave Conditions and Non-Gaussian Wave Slope Distribution" Journal of Marine Science and Engineering 9, no. 2: 223. https://doi.org/10.3390/jmse9020223
APA StyleCho, Y. J. (2021). Level III Reliability Design of an Armor Block of Rubble Mound Breakwater Using Probabilistic Model of Wave Height Optimized for the Korean Sea Wave Conditions and Non-Gaussian Wave Slope Distribution. Journal of Marine Science and Engineering, 9(2), 223. https://doi.org/10.3390/jmse9020223

