Application of an Innovative Jet Pump System for the Sediment Management in a Port Channel: Techno-Economic Assessment based on Experimental Measurements
Abstract
1. Introduction
2. Materials and Methods
2.1. Cattolica Port Area Description
2.2. Brief Description of the Ejector Technology
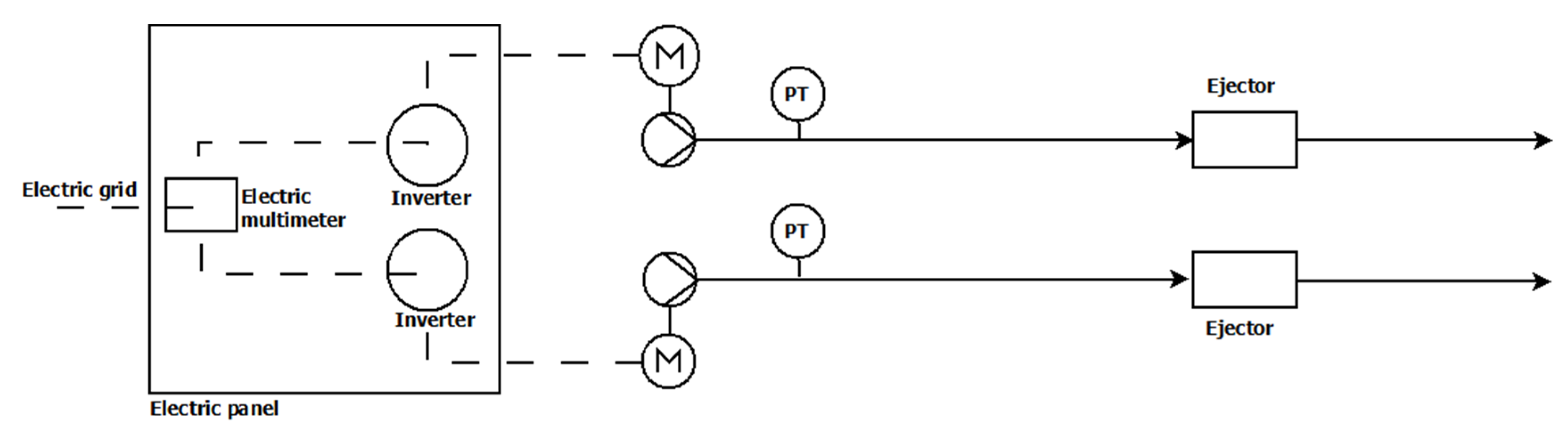
2.3. Pilot Plant Description
2.4. Pilot Plant Configurations Tested
2.5. Monitoring Plan
2.5.1. Bathymetries
2.5.2. Energy Consumption
2.5.3. Maintenance Activities
2.6. Economic Assessment
3. Results and Discussion
3.1. Pilot Plant Efficiency
3.2. Pilot Plant Effectiveness
3.2.1. Monitoring of Discharge Area
3.2.2. Monitoring of Ejectors Area
3.3. Economic Assessment
3.3.1. Ordinary Maintenance Costs Evaluation
3.3.2. Mean Yearly Cost for Operation and Maintenance of the Pilot Plant
3.3.3. Comparison with Maintenance Dredging Operations
4. Conclusions
Supplementary Materials
Author Contributions
Funding
Acknowledgments
Conflicts of Interest
References
- Eikeset, A.M.; Mazzarella, A.B.; Daviosdottir, B.; Klinger, D.H.; Levin, S.A.; Rovenskaya, E.; Stenseth, N.C. What is blue growth? The semantics of “Sustainable Development” of marine environments. Mar. Policy 2018, 87, 177–179. [Google Scholar] [CrossRef]
- Pavlic, B.; Cepak, F.; Sucic, B.; Peckaj, M.; Kandus, B. Sustainable port infrastructure, practical implementation of the green port concept. Therm. Sci. 2014, 18, 935–948. [Google Scholar] [CrossRef]
- Diedrich, A.; Terrados, J.; Arroyo, N.L.; Balaguer, P. Modeling the influence of attitudes and belies on recreational boaters’ use of buoys in the Balearic Islands. Ocean Coast. Manag. 2013, 78, 112–120. [Google Scholar] [CrossRef]
- NMMA Canada. The Economic Impact of Recreational Boating in Canada: 2016; Final Report; NMMA Canada: Bolton, ON, Canada, 2017. [Google Scholar]
- Liu, C.; Walling, E.D.; He, Y. Review: The international Sediment Initiative case studies of sediment problems in river basins and their management. Int. J. Sed. Res. 2018, 33, 216–219. [Google Scholar] [CrossRef]
- Van Rijin, L.C. Principles of Sediment Transport in Rivers Estuaries and Coastal Seas; Aqua Publications: Amsterdam, The Netherlands, 1993. [Google Scholar]
- Mulligan, P.; Leys, V.; Ryan, P. Modelling Coastal Sediment Transport for Harbour Planning: Selected Case Studies. In Sediment Transport; Ginsberg, S.S., Ed.; IntechOpen: London, UK, 2011. [Google Scholar]
- Gurumurthy, P.; Orton, P.M.; Talke, S.A.; Georgas, N.; Booth, J.F. Mechanics and Historical Evolution of Sea Level Blowouts in New York Harbor. J. Mar. Sci. Eng. 2019, 7, 160. [Google Scholar] [CrossRef]
- Bianchini, A.; Cento, F.; Guzzini, A.; Pellegrini, M.; Saccani, C. Sediment management in coastal infrastructures: Techno-economic and environmental impact assessment of alternative technologies to dredging. J. Environ. Manag. 2019, 248, 109332. [Google Scholar] [CrossRef] [PubMed]
- Álvarez, M.; Carballo, R.; Ramos, V.; Iglesias, G. An integrated approach for the planning of dredging operations in estuaries. Ocean Eng. 2017, 140, 73–83. [Google Scholar] [CrossRef]
- Rehitha, T.V.; Ullas, N.; Vineetha, G.; Benny, P.Y.; Madhu, N.V.; Revichandran, C. Impact of maintenance dredging on macrobenthic community structure of a tropical estuary. Ocean Coast. Manag. 2017, 144, 71–82. [Google Scholar] [CrossRef]
- Turekian, K. Climate & Oceans, A Derivative of Encyclopedia of Ocean Sciences, 2nd ed.; Elsevier: Amsterdam, The Netherlands, 2010. [Google Scholar]
- Amati, G.; Saccani, C. Experimental plant for sand removal from harbor areas seabed. In Proceedings of the XXXII National Conference on Italian Plant Engineering, Rimini, Italy, 6–7 October 2005. (In Italian). [Google Scholar]
- Bianchini, A.; Pellegrini, M.; Saccani, C. Zero environmental impact plant for seabed maintenance. In Proceedings of the International Symposium on Sediment Management I2SM, Ferrara, Italy, 17–19 September 2014. [Google Scholar]
- Pellegrini, M.; Saccani, C. Laboratory and field tests on photo-electric probes and ultrasonic Doppler flow switch for remote control of turbidity and flowrate of a water-sand mixture flow. J. Phys. Conf. Ser. 2017, 882, 1–10. [Google Scholar] [CrossRef]
- Pellegrini, M.; Abbiati, M.; Bianchini, A.; Colangelo, M.A.; Guzzini, A.; Mikac, B.; Ponti, M.; Preda, G.; Saccani, C.; Willemsen, A. Sustainable sediment management in coastal infrastructures through an innovative technology: Preliminary results of the MARINAPLAN PLUS LIFE project. J. Soils Sediments 2020, 20, 2685–2696. [Google Scholar] [CrossRef]
- Drius, M.; Bongiorni, L.; Depellegrin, D.; Menegon, S.; Pugnetti, A.; Stifter, S. Tackling challenges for Mediterranean sustainable coastal tourism: An ecosystem service perspective. Sci. Total Environ. 2019, 652, 1302–1317. [Google Scholar] [CrossRef] [PubMed]
- Cunningham, R.; Jumpeter, A. Jet Pumps. In Pump Handbook, 2nd ed.; Karassik, I.J., Krutzsch, W.C., Fraser, W.H., Messina, J.P., Eds.; McGraw-Hill: New York, NY, USA, 1986. [Google Scholar]
- Rice, W.; Baird, R.B.; Eaton, A.D.; Clesceri, L.S. Standard Methods for the Examination of Water and Wastewater, 22nd ed.; American Public Health Association (APHA), American Water Works Association (AWWA) and Water Environment Federation (WEF): Washington, DC, USA, 2012. [Google Scholar]
- International Electrotechnical Commission. Electrical Safety in Low Voltage Distribution Systems up to 1 000 V AC and 1 500 V DC—Equipment for Testing, Measuring or Monitoring of Protective Measures—Part 12: Power Metering and Monitoring Devices (PMD); IEC 61557-12:2018; IEC: Geneva, Switzerland, 2018. [Google Scholar]
- Tonina, D.; McKean, J.A.; Benjankar, R.M.; Wright, C.W.; Goode, J.R.; Chen, Q.; Reeder, W.J.; Carmichael, R.A.; Edmondson, M.R. Mapping river bathymetries: Evaluating topobathymetric LiDAR survey. Earth Surf. Proc. Land 2019, 44, 507–520. [Google Scholar] [CrossRef]
- Bianchini, A.; Pellegrini, M.; Rossi, J. Maintenance scheduling optimization for industrial centrifugal pumps. Int. J. Syst. Assur. Eng. Manag. 2019, 10, 848–860. [Google Scholar] [CrossRef]










| Sediment Characteristics | Cattolica | Cervia | 
|---|---|---|
| Specific weight (g/mL) | 1.3 | 1.9 | 
| Sand | 10.1 | 97.1 | 
| Silt and clay (pelite) | 89.9 | 2.9 | 
| Devices | Main Characteristics | 
|---|---|
| Pump for Ejector n°1 | Submersible pump with cooling sleeve and inverter; manufacturer: Grundfos; model: SP 46-3-C R; sourced from Cesena, Italy. | 
| Pump for Ejector n°2 | Submersible pump with cooling sleeve and inverter; manufacturer: Grundfos; model: SP 46-4-C R; sourced from Cesena, Italy. | 
| Water feeding Pipeline | Flexible PVC pipe with a reinforced PVC spire, internal diameter 78 mm, maximum operating pressure 6.5 bar; manufacturer: Sati Trading; sourced from Bologna, Italy. | 
| Discharge Pipeline | Flexible PVC pipe with a metal spire, internal diameter 76 mm, maximum operating pressure 4 bar; manufacturer: Sati Trading; sourced from Bologna, Italy. | 
| Pressure Transmitter | 4–20 mA, 0–10 bar, reference accuracy ±0.3%; manufacturer: Endress and Hauser; model: Cerabar PMC21-1R60/0; sourced from Milan, Italy. | 
| Electric Multimeter | conformity accuracy of cl.0.5 for voltage, cl.0.5 for current, cl.0.5 for active power (accordingly to [20]); manufacturer: IME; model: Nemo 72 Le; sourced from Milan, Italy. | 
| Ejector # | Configuration # | Central Nozzle | N° of radial Nozzles | Inverter Frequency | 
|---|---|---|---|---|
| 1 | 1 | d = d0 | 18 | 78% | 
| 2 | d = d0 | 18 | 70% | |
| 3 | d = d0 | 6 | Variable | |
| 2 | 1 | d = 0.92 × d0 | 6 | 92% | 
| 2 | d = 0.92 × d0 | 6 | 69% | |
| 3 | d = d0 | 6 | Variable | 
| Parameter | Value | 
|---|---|
| Pilot Plant Capital Cost (€)—VAT Excluded | 49,000 | 
| Energy Cost (€/kWh el) | 0.22 | 
| Personnel Cost (€/h) | 25 | 
| Pilot Plant Expected Life (years) | 10 | 
| Extraordinary Maintenance Costs (€/year) | 750 | 
| Interest Rate (%) | 1.5 | 
| Period | Frequency Inverter #1 | Frequency Inverter #2 | Power Consumption | Working Hours | Mean Power Consumption | 
|---|---|---|---|---|---|
| 19 June–22 June | 70% | 70% | 362 kWh | 71 h | 5.10 kW | 
| 22 June–25 June | 85% | 65% | 410 kWh | 65 h | 6.31 kW | 
| 25 June–26 June | 90% | 85% | 120 kWh | 16 h | 7.51 kW | 
| 26 June–11 July | 85% | 65% | 2370 kWh | 368 h | 6.44 kW | 
| 11 July–16 July | 95% | 80% | 945 kWh | 117 h | 8.08 kW | 
| 16 July–19 July | 85% | 65% | 470 kWh | 76 h | 6.18 kW | 
| 19 July–27 July | 70% | 65% | 1049 kWh | 198 h | 5.30 kW | 
| 27 July–30 July | 90% | 80% | 630 kWh | 77 h | 8.18 kW | 
| 30 July–22 August | 75% | 65% | 2970 kWh | 539 h | 5.51 kW | 
| Total | - | - | 9326 kWh | 1527 h | 6.11 kW | 
| Date | Bathymetries (m) | |||||||
|---|---|---|---|---|---|---|---|---|
| A1 | A2 | B1 | B2 | B3 | B4 | B5 | ||
| 1 | 02 August 2018 | 2.00 | 3.00 | 2.40 | 2.40 | 2.30 | 2.70 | 2.70 | 
| 2 | 23 August 2018 | 2.00 | 3.35 | 2.35 | 2.35 | 2.25 | 2.55 | 3.05 | 
| Variation (2-1) | 0.00 | 0.35 | −0.05 | −0.05 | −0.05 | −0.15 | 0.35 | |
| 3 | 10 September 2018 | 2.15 | 3.45 | 2.75 | 2.35 | 2.65 | 2.85 | 3.05 | 
| Variation (3-2) | 0.15 | 0.10 | 0.40 | 0.00 | 0.40 | 0.30 | 0.00 | |
| 4 | 12 October 2018 | 2.20 | 3.5 | 3.40 | 2.50 | 2.40 | 2.60 | 3.30 | 
| Variation (4-3) | 0.05 | 0.05 | 0.65 | 0.15 | −0.25 | −0.25 | 0.25 | |
| 5 | 12 November 2018 | 2.20 | 3.30 | 2.80 | 2.50 | 2.70 | 2.80 | 3.00 | 
| Variation (5-4) | 0.00 | −0.20 | −0.60 | 0.00 | 0.30 | 0.20 | −0.30 | |
| 6 | 18 December 2018 | 2.45 | 3.55 | 2.65 | 2.65 | 2.65 | 2.65 | 2.95 | 
| Variation (6-5) | 0.25 | 0.25 | −0.15 | 0.15 | −0.05 | −0.15 | −0.05 | |
| Variation (6-1) | 0.45 | 0.55 | 0.25 | 0.25 | 0.35 | −0.05 | 0.25 | |
| 7 | 23 December 2018 | 2.50 | 3.40 | 2.60 | 2.60 | 2.50 | 3.00 | 2.70 | 
| Variation (7-6) | 0.05 | −0.15 | −0.05 | −0.05 | −0.15 | 0.35 | −0.25 | |
| 8 | 03 January 2019 | 2.60 | 3.50 | 2.50 | 3.30 | 2.60 | 3.20 | 3.00 | 
| Variation (8-7) | 0.10 | 0.10 | −0.10 | 0.70 | 0.10 | 0.20 | 0.30 | |
| 9 | 08 January 2019 | 2.60 | 3.40 | 2.50 | 2.40 | 2.70 | 2.70 | 3.40 | 
| Variation (9-8) | 0.00 | −0.10 | 0.00 | −0.90 | 0.10 | −0.50 | 0.40 | |
| 10 | 05 February 2019 | 2.45 | 2.85 | 2.55 | 2.45 | 2.85 | 2.45 | 2.95 | 
| Variation (10-9) | −0.15 | −0.55 | 0.05 | 0.05 | 0.15 | −0.25 | −0.45 | |
| 11 | 20 February 2019 | 2.35 | 3.65 | 2.75 | 2.75 | 2.45 | 2.35 | 3.25 | 
| Variation (11-10) | −0.10 | 0.80 | 0.20 | 0.30 | −0.40 | −0.10 | 0.30 | |
| 12 | 13 March 2019 | 2.35 | 3.35 | 2.65 | 3.45 | 2.55 | 3.05 | 3.15 | 
| Variation (12-11) | 0.00 | −0.30 | −0.10 | 0.70 | 0.10 | 0.70 | −0.10 | |
| 13 | 17 May 2019 | 2.30 | 3.55 | 2.30 | 2.90 | 2.30 | 2.40 | 3.10 | 
| Variation (13-12) | −0.05 | 0.20 | −0.35 | −0.55 | −0.25 | −0.65 | −0.05 | |
| Variation (13-6) | −0.15 | 0.00 | −0.35 | 0.25 | −0.35 | −0.25 | 0.15 | |
| Variation (13-1) | 0.30 | 0.55 | −0.10 | 0.50 | 0.00 | −0.30 | 0.40 | |
| 14 | 13 June 2019 | 2.00 | 2.40 | 2.20 | 2.30 | 2.20 | 3.40 | 2.80 | 
| Variation (14-13) | −0.30 | −1.15 | −0.10 | −0.60 | −0.10 | 1.00 | −0.30 | |
| 15 | 17 July 2019 | 2.25 | 2.25 | 2.35 | 2.45 | 2.45 | 2.45 | 2.65 | 
| Variation (15-14) | 0.25 | −0.15 | 0.15 | 0.15 | 0.25 | −0.95 | −0.15 | |
| Activity | Date | Time (h) | # People | Equipment | Consumables | 
|---|---|---|---|---|---|
| Pump n°2 and ejector n°1 cleaning | 26 September 2018 | 1.50 | 3 | Boat Pressure washer | Plastic straps Teflon | 
| Pump n°1 cleaning | 28 September 2018 | 1.50 | 3 | Boat Pressure washer | Plastic straps Teflon | 
| Antifouling (on pumps) | 03 October 2018 | 1.00 | 6 | Boat Pressure washer | Antifouling | 
| Antifouling (on pumps) | 04 October 2018 | 3.00 | 6 | Boat Pressure washer | Plastic straps Teflon Antifouling | 
| Pressure transmitter PT1 dismounted | 10 January 2019 | 0.50 | 2 | Boat | Teflon | 
| Pressure transmitter PT1 installed | 11 February 2019 | 0.50 | 2 | Boat | Teflon | 
| Pumps cleaning | 12 March 2019 | 1.00 | 5 | Pressure washer Forklift | - | 
| Pumps cleaning and pressure transmitter PT1 dismounted | 02 May 2019 | 2.00 | 7 | Boat Pressure washer Forklift | - | 
| Pumps cleaning and pressure transmitter PT1 installed | 06 June 2019 | 2.00 | 5 | Boat Pressure washer Forklift | - | 
| Ejectors substitution (for cleaning) | 19 June 2019 | 1.00 | 3 | Boat | Teflon | 
| Discharge line substitution on ejector n°2 | 27 June 2019 | 1.00 | 4 | Boat Forklift | 30 m discharge pipeline | 
| Metal clamp substitution on pump n°2 feeding pipeline | 01 July 2019 | 0.25 | 3 | Boat | Metal clamp | 
| Yearly Cost | 0 | 1 | 2 | 3 | 4 | 5 | 6 | 7 | 8 | 9 | 10 | 
|---|---|---|---|---|---|---|---|---|---|---|---|
| Capital cost (k€) | 49 | - | - | - | - | - | - | - | - | - | - | 
| Energy bill (k€) | - | 10.1 | 10.0 | 9.8 | 9.7 | 9.5 | 9.4 | 9.2 | 9.1 | 9.0 | 8.8 | 
| Manpower (k€) | - | 3.1 | 3.0 | 3.0 | 2.9 | 2.9 | 2.9 | 2.8 | 2.8 | 2.7 | 2.7 | 
| Consumables (k€) | - | 1.0 | 1.0 | 1.0 | 0.9 | 0.9 | 0.9 | 0.9 | 0.9 | 0.9 | 0.9 | 
| Extraordinary maintenance (k€) | - | 0.7 | 0.7 | 0.7 | 0.7 | 0.7 | 0.7 | 0.7 | 0.7 | 0.7 | 0.6 | 
| Total (k€) | 49 | 14.9 | 14.7 | 14.5 | 14.2 | 14.0 | 13.9 | 13.6 | 13.5 | 13.3 | 13.0 | 
© 2020 by the authors. Licensee MDPI, Basel, Switzerland. This article is an open access article distributed under the terms and conditions of the Creative Commons Attribution (CC BY) license (http://creativecommons.org/licenses/by/4.0/).
Share and Cite
Pellegrini, M.; Preda, G.; Saccani, C. Application of an Innovative Jet Pump System for the Sediment Management in a Port Channel: Techno-Economic Assessment based on Experimental Measurements. J. Mar. Sci. Eng. 2020, 8, 686. https://doi.org/10.3390/jmse8090686
Pellegrini M, Preda G, Saccani C. Application of an Innovative Jet Pump System for the Sediment Management in a Port Channel: Techno-Economic Assessment based on Experimental Measurements. Journal of Marine Science and Engineering. 2020; 8(9):686. https://doi.org/10.3390/jmse8090686
Chicago/Turabian StylePellegrini, Marco, Giovanni Preda, and Cesare Saccani. 2020. "Application of an Innovative Jet Pump System for the Sediment Management in a Port Channel: Techno-Economic Assessment based on Experimental Measurements" Journal of Marine Science and Engineering 8, no. 9: 686. https://doi.org/10.3390/jmse8090686
APA StylePellegrini, M., Preda, G., & Saccani, C. (2020). Application of an Innovative Jet Pump System for the Sediment Management in a Port Channel: Techno-Economic Assessment based on Experimental Measurements. Journal of Marine Science and Engineering, 8(9), 686. https://doi.org/10.3390/jmse8090686
 
        



 
       