Numerical Investigation of Sloshing in Rectangular Tank with Permeable Baffle
Abstract
1. Introduction
2. Mathematics Model of Sloshing
2.1. Governing Equations of Fluid Flows
2.2. Boundary Conditions
3. Model Verification and Validation
3.1. Linear Sloshing in a Clean Rectangular Tank
3.2. Nonlinear Sloshing in a Clean Rectangular Tank
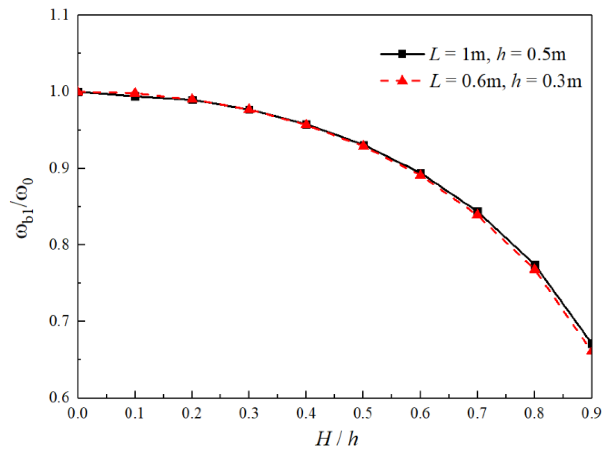
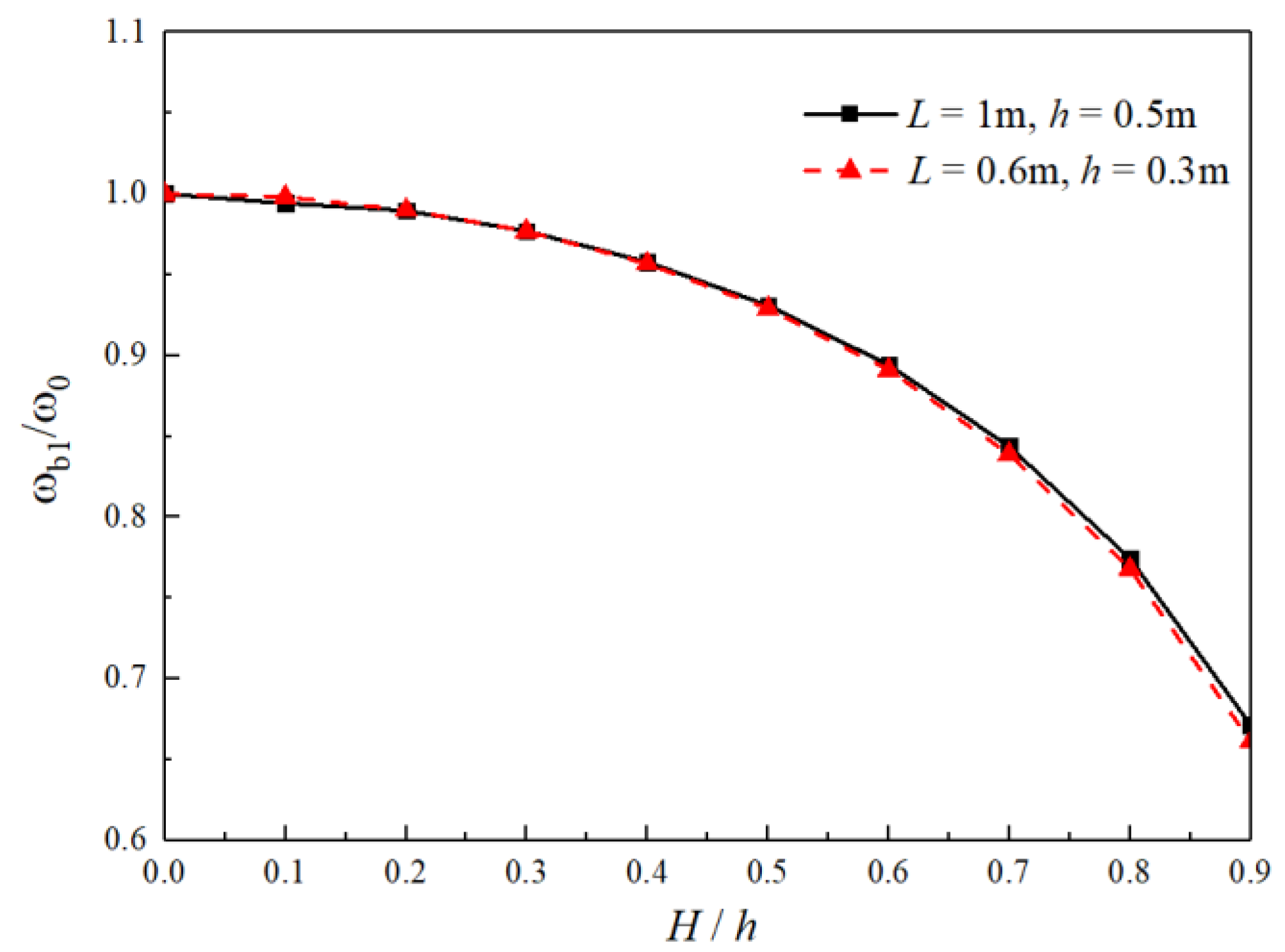
3.3. Sloshing in a Rectangular Tank with a Vertical Baffle
4. Results and Discussion
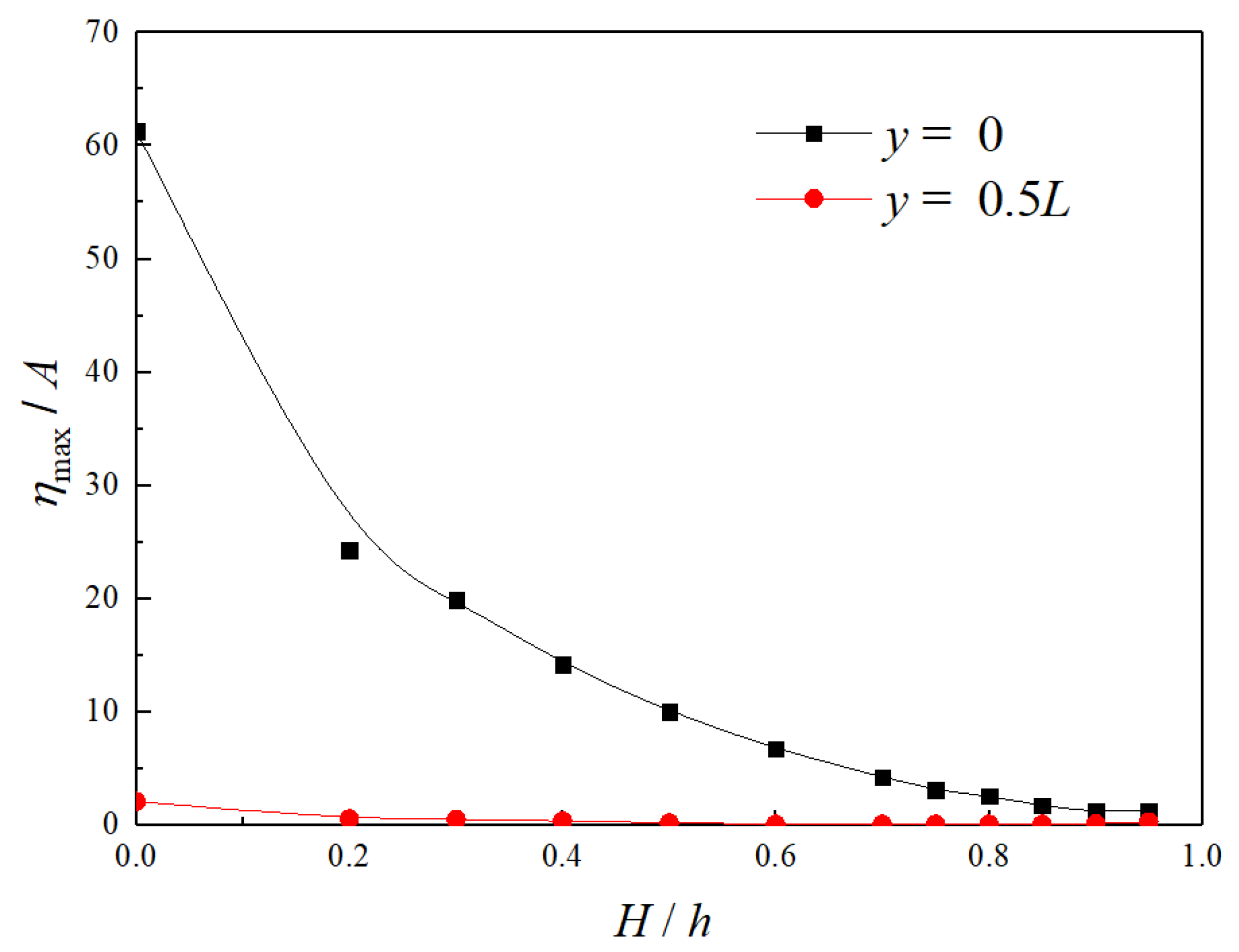
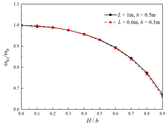
4.1. Effect of Baffle Height on Sloshing
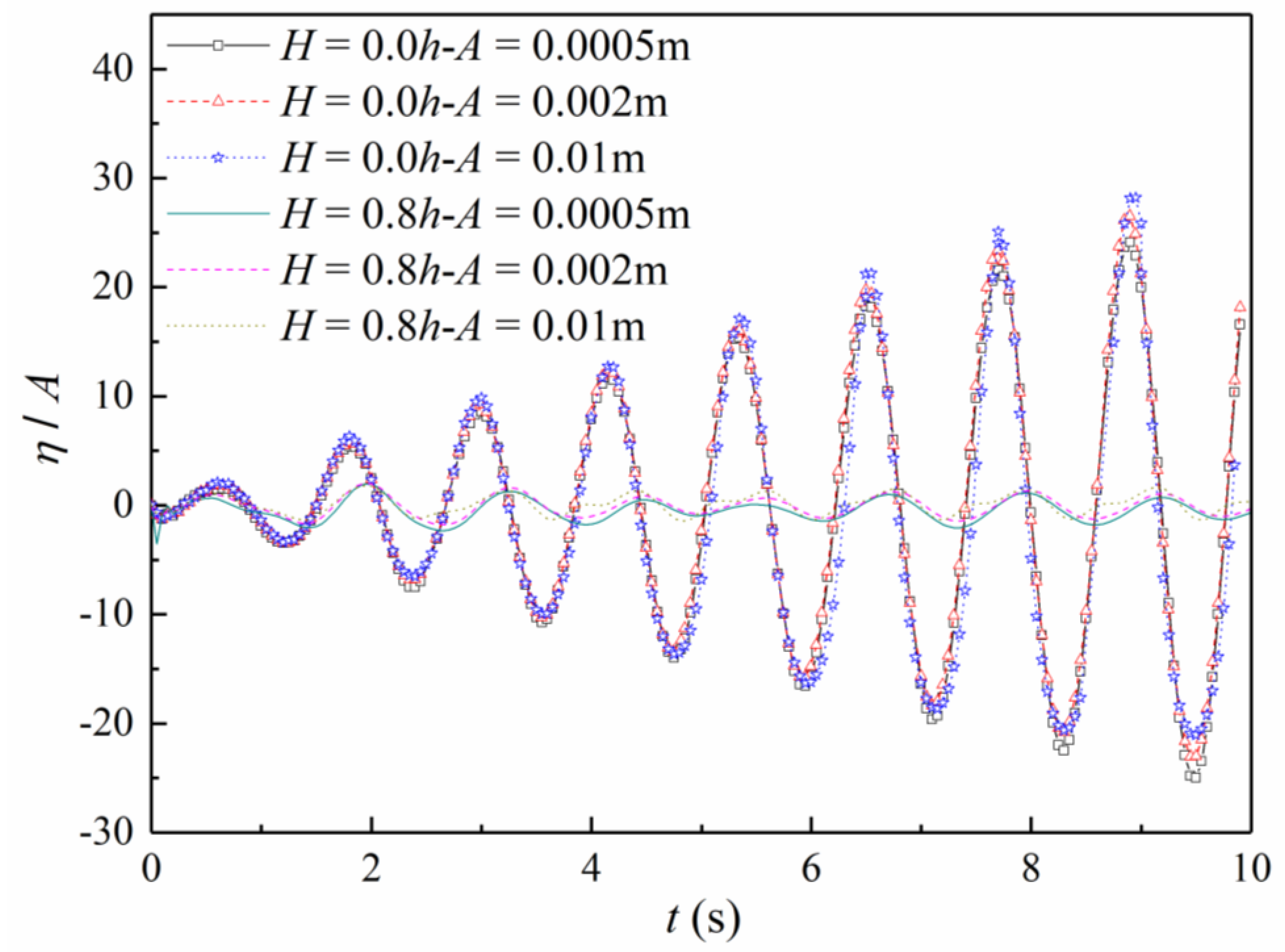
4.2. Effect of Excitation Amplitude on Sloshing in the Tank with a Vertical Baffle
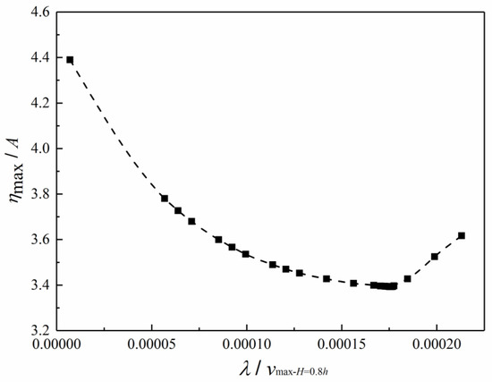
4.3. Effect of Excitation Frequency on Sloshing in the Tank with a Vertical Baffle
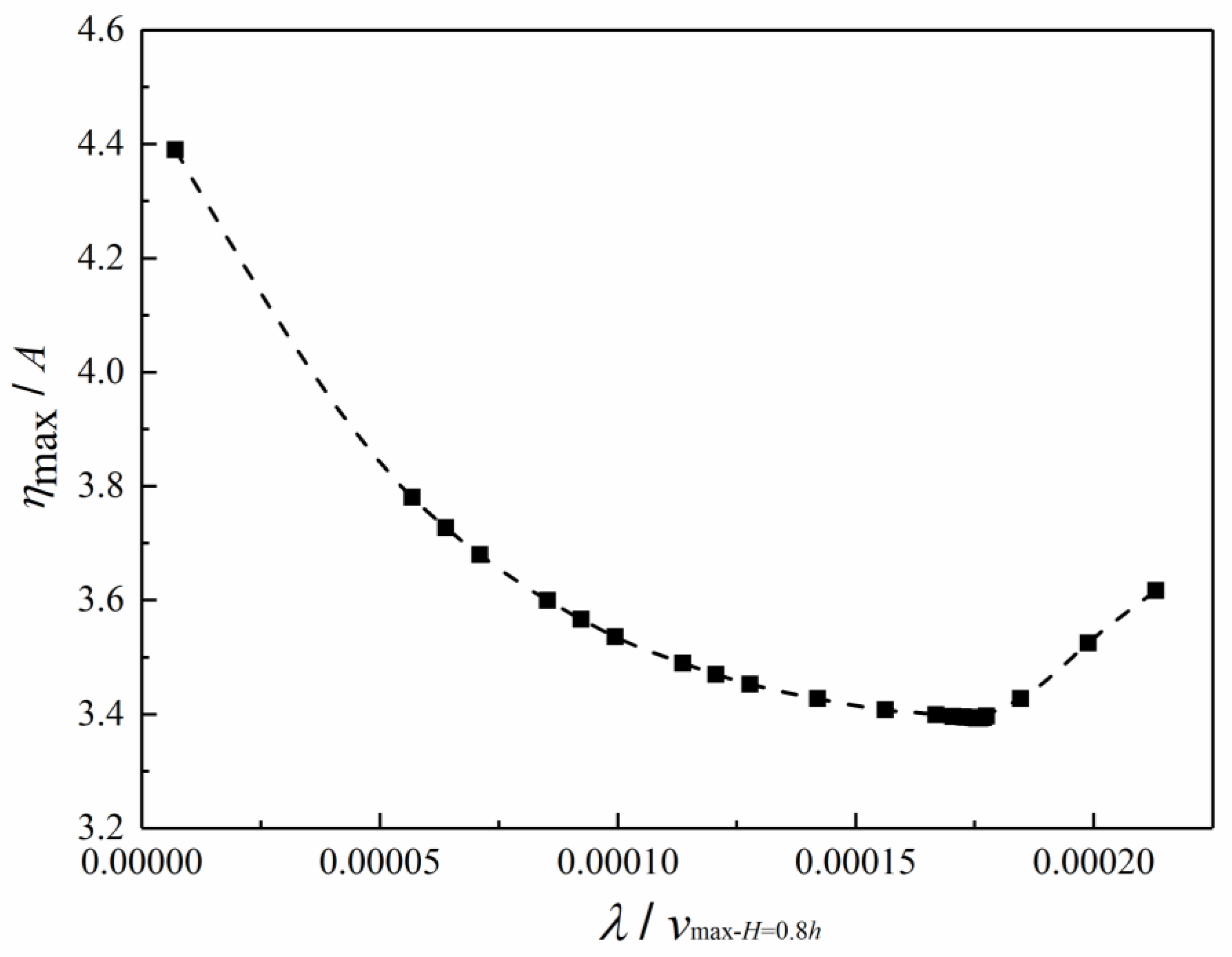
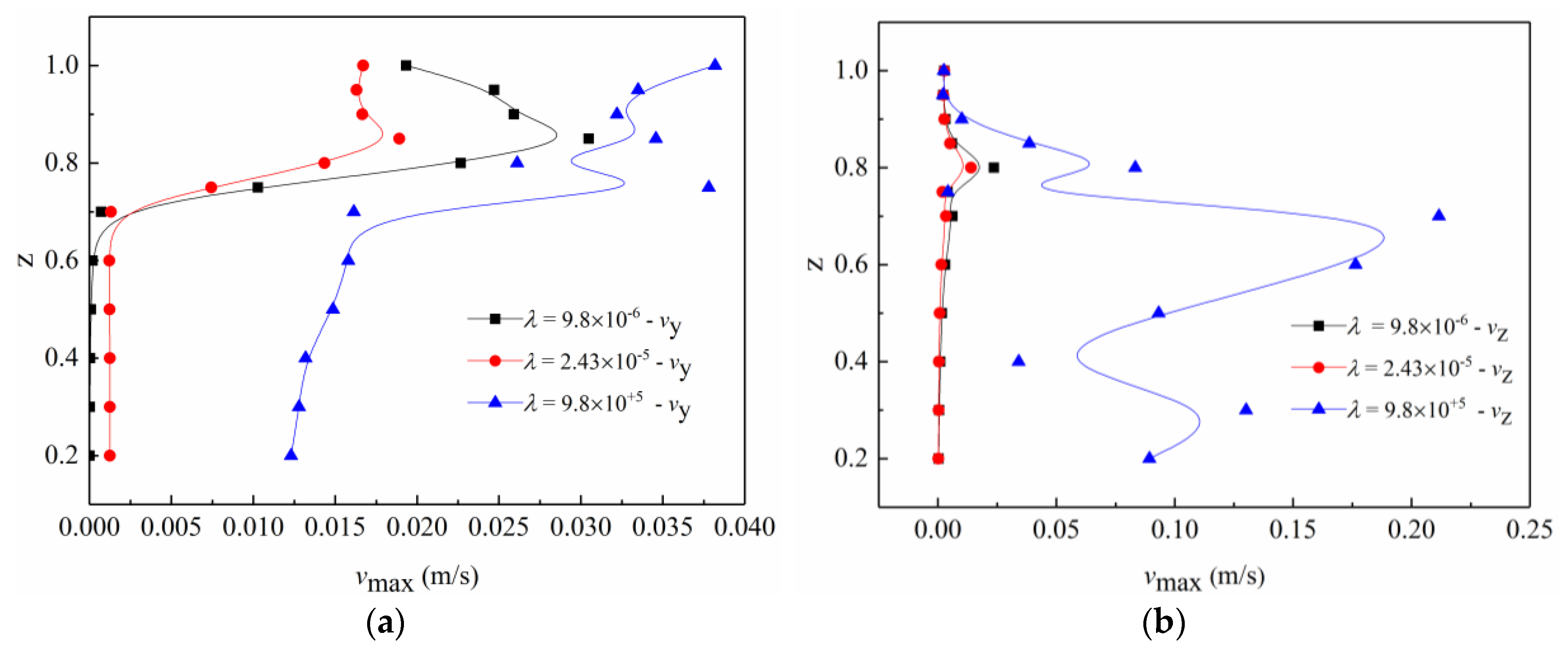
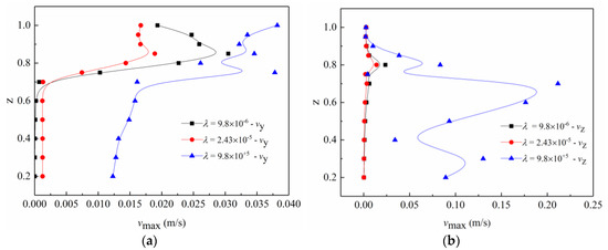
4.4. Effect of Baffle Permeability on Sloshing
5. Conclusions
Author Contributions
Funding
Conflicts of Interest
References
- Yu, G.; Jia, S.; Geng, Y. Numerical investigation into the two-phase convective heat transfer within the hold of an oil tanker subjected to a rolling motion. J. Mar. Sci. Eng. 2019, 7, 94. [Google Scholar] [CrossRef]
- Faltinsen, O.M.; Timokha, A.N. Sloshing; Cambridge University Press: New York, NY, USA, 2009. [Google Scholar]
- Dou, P.; Xue, M.-A.; Zheng, J.H.; Zhang, C.; Qian, L. Numerical and experimental study of tuned liquid damper effects on suppressing nonlinear vibration of elastic supporting structural platform. Nonlinear Dynam. 2020, 99, 2675–2691. [Google Scholar] [CrossRef]
- Xue, M.-A.; Chen, Y.C.; Zheng, J.H.; Qian, L.; Yuan, X.L. Fluid dynamics analysis of sloshing pressure distribution in storage vessles of different shapes. Ocean Eng. 2019, 192, 106582. [Google Scholar] [CrossRef]
- Chen, Y.C.; Xue, M.-A. Numerical simulation of liquid sloshing with different filling levels using OpenFOAM and experimental validation. Water 2018, 10, 1752. [Google Scholar] [CrossRef]
- Jin, H.; Song, R.Y.; Liu, Y. Sloshing motion in a real-scale water storage tank under nonlinear ground motion. Water 2020, 12, 2098. [Google Scholar] [CrossRef]
- Kim, D.H.; Kim, E.; Shin, S.; Kwon, S.H. Sources of the measurement error of the impact pressure in sloshing experiments. J. Mar. Sci. Eng. 2019, 7, 207. [Google Scholar] [CrossRef]
- Trimulyono, A.; Hashimoto, H.; Matsuda, A. Experimental validation of single- and two-phase smoothed particle hydrodynamics on sloshing in a prismatic tank. J. Mar. Sci. Eng. 2019, 7, 247. [Google Scholar] [CrossRef]
- Xue, M.-A.; Zheng, J.H.; Lin, P.Z. Numerical simulation of sloshing phenomena in cubic tank with multiple baffles. J. Appl. Math. 2012, 2012, 3800–3844. [Google Scholar] [CrossRef]
- Zheng, X.; You, Y.; Ma, Q.; Khayyer, A.; Shao, S. A comparative study on violent sloshing with complex baffles using the ISPH method. Appl. Sci. 2018, 8, 904. [Google Scholar] [CrossRef]
- Goudarzi, M.A.; Sabbagh-Yazdi, S.R.; Marx, W. Investigation of sloshing damping in baffled rectangular tanks subjected to the dynamic excitation. B. Earthq. Eng. 2010, 8, 1055–1072. [Google Scholar] [CrossRef]
- Akyildiz, H. A numerical study of the effects of the vertical baffle on liquid sloshing in two-dimensional rectangular tank. J. Sound Vib. 2012, 331, 41–52. [Google Scholar] [CrossRef]
- Armenio, V.; La Rocca, M. On the analysis of sloshing of water in rectangular containers: Numerical study and experimental validation. Ocean Eng. 1996, 23, 705–739. [Google Scholar] [CrossRef]
- Maleki, A.; Ziyaeifar, M. Sloshing damping in cylindrical liquid storage tanks with baffles. J. Sound Vib. 2008, 311, 372–385. [Google Scholar] [CrossRef]
- Xue, M.-A.; Lin, P.Z. Numerical study of ring baffle effects on reducing violent liquid sloshing. Comput. Fluids 2011, 52, 116–129. [Google Scholar] [CrossRef]
- Xue, M.-A.; Lin, P.Z.; Zheng, J.H.; Ma, Y.; Yuan, X.; Nguyen, V.T. Effects of perforated baffle on reducing sloshing in rectangular tank: Experimental and numerical study. China Ocean Eng. 2013, 27, 615–628. [Google Scholar] [CrossRef]
- Xue, M.-A.; Zheng, J.H.; Lin, P.Z.; Xiao, Z. Violent transient sloshing-wave interaction with a baffle in a three-dimensional numerical tank. J. Ocean Univ. China 2017, 16, 661–673. [Google Scholar] [CrossRef]
- Xue, M.-A.; Zheng, J.H.; Lin, P.Z.; Yuan, X.L. Experimental study on vertical baffles of different configurations in suppressing sloshing pressure. Ocean Eng. 2017, 136, 178–189. [Google Scholar] [CrossRef]
- Faltinsen, O.M.; Timokha, A.N. Natural sloshing frequencies and modes in a rectangular tank with a slat-type screen. J. Sound Vib. 2011, 330, 1490–1503. [Google Scholar] [CrossRef]
- Faltinsen, O.M.; Firoozkoohi, R.; Timokha, A.N. Analytical modeling of liquid sloshing in a two-dimensional rectangular tank with a slat screen. J. Eng. Math. 2011, 70, 93–109. [Google Scholar] [CrossRef]
- Faltinsen, O.M.; Firoozkoohi, R.; Timokha, A.N. Effect of central slotted screen with a high solidity ratio on the secondary resonance phenomenon for liquid sloshing in a rectangular tank. Phys. Fluids. 2011, 23, 062106. [Google Scholar] [CrossRef]
- Yu, L.T.; Xue, M.-A.; Zheng, J.H. Experimental study of vertical slat screens effects on reducing shallow water sloshing in a tank under horizontal excitation with a wide frequency range. Ocean Eng. 2019, 173, 131–141. [Google Scholar] [CrossRef]
- Yu, L.T.; Xue, M.-A.; Jiang, Z.Y. Experimental investigation of parametric sloshing in a tank with vertical baffles. Ocean Eng. 2020, 213, 107783. [Google Scholar] [CrossRef]
- Suzuki, H.; Kaneko, S. The effect of punching plates to suppress the sloshing in a gas liquid separator. J. Press. Vess. Technol. 2013, 136, 051312. [Google Scholar]
- Jin, H.; Liu, Y.; Song, R.Y.; Liu, Y. Analytical study on the effect of a horizontal perforated plate on sloshing motion in a rectangular tank. J. Offshore Mech. Arct. Eng. 2020, 142, 041203. [Google Scholar] [CrossRef]
- Zhang, J.; Zheng, J.H.; Jeng, D.S.; Wang, G. Numerical simulation of solitary wave induced flow motion around a permeable submerged breakwater. J. Appl. Math. 2012, 2012, 2428–2439. [Google Scholar] [CrossRef]
- Abbaspour, M.; Hassanabad, M.G. Comparing sloshing phenomena in a rectangular container with and without a porous medium using explicit nonlinear 2-D BEM-FDM. Sci. Iran. 2010, 17, 93–101. [Google Scholar]
- He, Z.; Zhu, R.C.; Miao, G.P. The simulation and analysis of tank sloshing with porosity girder by multi-domain boundary element method. J. Hydrodyn. Ser. B 2010, 22, 546–553. [Google Scholar] [CrossRef]
- Zhu, C.F.; Tang, G.A.; Zhang, M.Y. Coupling analysis of liquid sloshing and structural vibration using general software. J. Press. Vess. Technol. 2015, 137, 011304. [Google Scholar] [CrossRef]
- Wang, J.D.; Lo, S.H.; Zhou, D. Sloshing of liquid in rigid cylindrical container with multiple rigid annular baffles: Lateral excitations. J. Fluid. Struct. 2013, 42, 421–436. [Google Scholar] [CrossRef]
- Eswaran, M.; Saha, U.K.; Maity, D. Effect of baffles on a partially filled cubic tank: Numerical simulation and experimental validation. Comput. Struct. 2009, 87, 198–205. [Google Scholar] [CrossRef]
- Hughes, T.J.; Liu, W.K.; Zimmermann, T.K. Lagrangian-Eulerian finite element formulation for incompressible viscous flows. Comput. Methods Appl. Mech. Eng. 1981, 29, 329–349. [Google Scholar] [CrossRef]
- ADINA R&D Inc. ADINA-F Theory and Modeling Guide; Report No. ARD-03-9; ADINA R&D Inc.: Watertown, MA, USA, 2010. [Google Scholar]
- Faltinsen, O.M. A numerical nonlinear method of sloshing in tanks with two-dimensional flow. J. Ship Res. 1978, 22, 193–202. [Google Scholar]
- Liu, D.; Lin, P. A numerical study of three-dimensional liquid sloshing in tanks. J. Comput. Phys. 2008, 227, 3921–3938. [Google Scholar] [CrossRef]
- Bouscasse, B.; Antuono, M.; Colagrossi, A.; Lugni, C. Numerical and experimental investigation of nonlinear shallow water sloshing. Int. J. Nonlin. Sci. Numer. Sim. 2013, 14, 123–138. [Google Scholar] [CrossRef]
- Wu, C.H.; Faltinsen, O.M.; Chen, B.F. Numerical study of sloshing liquid in tanks with baffles by time-independent finite difference and fictitious cell method. Comput. Fluids 2012, 63, 9–26. [Google Scholar] [CrossRef]
- Firouz-Abadi, R.D.; Haddadpour, H.; Noorian, M.A.; Ghasemi, M. A 3D BEM model for liquid sloshing in baffled tanks. Int. J. Numer. Meth. Eng. 2008, 76, 1419–1433. [Google Scholar] [CrossRef]






















© 2020 by the authors. Licensee MDPI, Basel, Switzerland. This article is an open access article distributed under the terms and conditions of the Creative Commons Attribution (CC BY) license (http://creativecommons.org/licenses/by/4.0/).
Share and Cite
Yu, L.; Xue, M.-A.; Zhu, A. Numerical Investigation of Sloshing in Rectangular Tank with Permeable Baffle. J. Mar. Sci. Eng. 2020, 8, 671. https://doi.org/10.3390/jmse8090671
Yu L, Xue M-A, Zhu A. Numerical Investigation of Sloshing in Rectangular Tank with Permeable Baffle. Journal of Marine Science and Engineering. 2020; 8(9):671. https://doi.org/10.3390/jmse8090671
Chicago/Turabian StyleYu, Liting, Mi-An Xue, and Aimeng Zhu. 2020. "Numerical Investigation of Sloshing in Rectangular Tank with Permeable Baffle" Journal of Marine Science and Engineering 8, no. 9: 671. https://doi.org/10.3390/jmse8090671
APA StyleYu, L., Xue, M.-A., & Zhu, A. (2020). Numerical Investigation of Sloshing in Rectangular Tank with Permeable Baffle. Journal of Marine Science and Engineering, 8(9), 671. https://doi.org/10.3390/jmse8090671
