Evaluation of the Lifecycle Environmental Benefits of Full Battery Powered Ships: Comparative Analysis of Marine Diesel and Electricity
Abstract
1. Introduction
2. Approach
2.1. Scenario Analysis
2.1.1. Selection of Case Ship
2.1.2. Modelling of Propulsion System
2.2. Life Cycle Assessment
2.2.1. Goal and Scope
2.2.2. LCI
- The data set covers all relevant process steps and technologies along the supply chain. The inventory is partly based on primary industry data, partly on secondary literature data.
- The following life cycle phases are considered in each power plant model: construction, use, and end of life.
- Major emissions (e.g., sulfur dioxide, nitrogen oxides, etc.) from power plants are based on operational data measured in national statistics.
- All other emissions from power plants are based on literature data and/or calculated through energy carrier configurations combined with (data based) combustion models.
- Infrastructure data as well as the inventory of exploration, production and processing is referred from the literature.
- The model includes the infrastructure of the power plant as well as the end-of-life of the auxiliary buildings, e.g., cooling tower. The model is structured considering the main phases of the fuel cycle.
- The efficiency standards of the power plants and their national share are modelled.
- The photovoltaic model is based on the global average market mix of photovoltaic technologies installed: mono-silicon 42%, multi-silicon 47%, cadmium-telluride (cdte) 7% and copper-indium-gallium-diselenide 4%.
- The onshore wind model is based on a 300 MW wind park, operating 100 wind turbines with 3.00 MW each. The rotor diameter is 90 m.
- Losses in the cables and transformer station are included and calculated to approximately 5%.
Mibeop port (engine output 200 kW at 100 rpm), the average fuel consumption was estimated at 51.39 kg/h and the fuel consumption per unit output was at 257.0 g/kWh. Lastly, for the constant speed section (engine output 500 kW at 400 rpm), the average fuel consumption was measured at 113.97 kg/h and the fuel consumption per unit output was determined at 227.9 g/kWh.3. Results (LCIA and Interpretation)
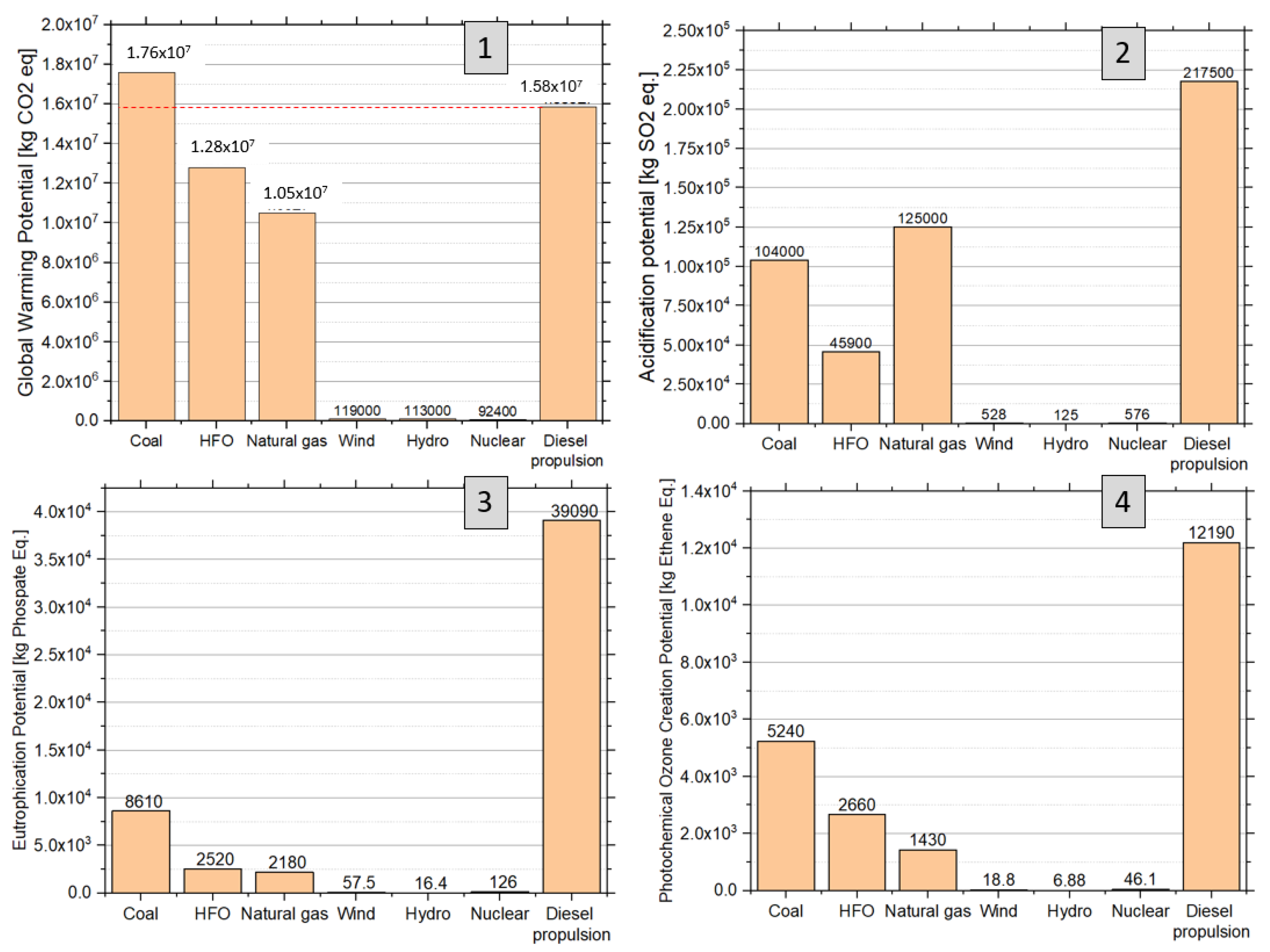
3.1. Diesel vs. Electricity
3.2. Sensitivity Analysis
3.2.1. Electricity from Various Energy Sources
3.2.2. 140 Ships Subject to Korean Policy
3.3. Global 2050 Strategies
4. Discussion
- Is the electricity from renewable sources enough to charge batteries to be used for the ships’ power?
- Is it recognized that a new technology may merely shift the ship emission from operation stage to other life cycle stages, e.g., construction, transport or recycling?
4.1. Contributions to Improving the Process of Maritime Environmental Assessment
4.2. Limitations
4.3. Guidelines for Future Study Directions
5. Conclusions
- Not only emissions associated with the on-board use, but also;
- Emissions associated with production of these fuels and electricity based on locations and source of energy;
- Emissions associated with transport of these fuels based on transport means and locations of ports and refineries;
Author Contributions
Funding
Acknowledgments
Conflicts of Interest
Appendix A





References
- Zhang, N.; Zhou, P.; Choi, Y. Energy efficiency, CO2 emission performance and technology gaps in fossil fuel electricity generation in Korea: A meta-frontier non-radial directional distance functionanalysis. J. Energy Policy 2013, 56, 653–662. [Google Scholar] [CrossRef]
- Yang, L.; Cai, Y.S.; Yang, Y.X.; Deng, Z.W. Supervisory long-term prediction of state of available power for lithium-ion batteries in electric vehicles. Appl. Energy 2020, 257, 114006. [Google Scholar] [CrossRef]
- DNVGL. Energy Transition Outlook P50; DNVGL: Oslo, Norway, 2019. [Google Scholar]
- DNVGL. Maritime forecast to 2050; DNVGL: Oslo, Norway, 2018. [Google Scholar]
- Skjong, E.; Volden, R.; Rødskar, E.; Molinas, M.; Johansen, T.A.; Cunningham, J. Past, present, and future challenges of the marine vessel’s electrical power system. IEEE Trans. Transp. Electrif. 2016, 2, 522–537. [Google Scholar] [CrossRef]
- Mo, O.; Guidi, G. Design of Minimum Fuel Consumption Energy Management Strategy for Hybrid Marine Vessels with Multiple Diesel Engine Generators and Energy Storage. In Proceedings of the 2018 IEEE Transportation Electrification Conference and Expo (ITEC), Long Beach, CA, USA, 13–15 June 2018; pp. 537–544. [Google Scholar]
- Jeong, B.; Wang, H.; Oguz, E.; Zhou, P. An effective framework for life cycle and cost assessment for marine vessels aiming to select optimal propulsion systems. J. Clean. Prod. 2018, 187, 111–130. [Google Scholar] [CrossRef]
- Jeong, B.; Oguz, E.; Wang, H.; Zhou, P. Multi-criteria decision-making for marine propulsion: Hybrid, diesel electric and diesel mechanical systems from cost-environment-risk perspectives. Appl. Energy 2018, 230, 1065–1081. [Google Scholar] [CrossRef]
- Ling-Chin, J.; Roskilly, A.P. Investigating the implications of a new-build hybrid power system for Roll-on/Roll-off cargo ships from a sustainability perspective–A life cycle assessment case study. Appl. Energy 2016, 181, 416–434. [Google Scholar] [CrossRef]
- Wolfram, P.; Lutsey, N. Electric Vehicles: Literature Review of Technology Costs and Carbon Emissions; The International Council on Clean Transportation: Washington, DC, USA, 2016; pp. 1–23. [Google Scholar]
- JRC, R.E.; Hass, H.; Larivé, J.-F.; Jrc, L.L.; Maas, H.; Rickeard, D. WELL-TO-WHEELS Report Version 4; Publications Office of the European Union: Ispra, Italy, 2014. [Google Scholar]
- Ellingsen, L.A.-W.; Singh, B.; Strømman, A.H. The size and range effect: Lifecycle greenhouse gas emissions of electric vehicles. Environ. Res. Lett. 2006, 11, 054010. [Google Scholar] [CrossRef]
- Onat, N.C.; Noori, M.; Kucukvar, M.; Zhao, Y.; Tatari, O.; Chester, M. Exploring the suitability of electric vehicles in the United States. Energy 2017, 121, 631–642. [Google Scholar] [CrossRef]
- Bauer, C.; Hofer, J.; Althaus, H.-J.; Del Duce, A.; Simons, A. The environmental performance of current and future passenger vehicles: Life cycle assessment based on a novel scenario analysis framework. J. Appl. Energy 2015, 157, 871–883. [Google Scholar] [CrossRef]
- Simons, A.; Bauer, C. A life-cycle perspective on automotive fuel cells. J. Appl. Energy 2015, 157, 884–896. [Google Scholar] [CrossRef]
- Offshore Energy. Korea Plans Eco-Friendly Fuel Conversion for 140 Ships by 2030. 2019. Available online: https://www.offshore-energy.biz/korea-plans-eco-friendly-fuel-conversion-for-140-ships-by-2030/ (accessed on 17 July 2020).
- Korean Shipping Association. Coastal Shipping Statistical Yearbook in Korean. 2017. Available online: http://www.haewoon.or.kr/ksa/bbs/selectBoardArticle.do?nttId=252918&bbsId=B_000801&menuNo=&viewType= (accessed on 21 July 2020).
- Ferguson Marine; Ferguson Marine Engineering Ltd.: Glasgow, UK, 2016.
- Tiano, F.A.; Rizzo, G.; De Feo, G.; Landolfi, S. Converting a Conventional Car into a Hybrid Solar Vehicle: A LCA Approach. J. IFAC-Pap. 2018, 51, 188–194. [Google Scholar] [CrossRef]
- Teodoru, S. Rechargeable lithium-ion battery VL 34570—High performance D-size cylindrical cell. In Proceedings of the 2017 10th International Symposium on Advanced Topics in Electrical Engineering (ATEE), Bucharest, Romania, 23–25 March 2017. [Google Scholar]
- Buchmann, I. Batteries in a Portable World: A Handbook on Rechargeable Batteries for Non-Engineers; Cadex Electronics: Richmond, BC, Canada, 2001. [Google Scholar]
- Powersim Inc. PSIM User’s Manual Version 12; Powersim Inc.: Rockville, MD, USA, 2019. [Google Scholar]
- Lee, Y.-C.; Kim, J.-S.; Yun, Y.-S.; Jeon, H.-M. Analysis on thermal loss reduction on electric power propulsion system on board ship. In Proceedings of the 2016 IEEE Transportation Electrification Conference and Expo, Asia-Pacific (ITEC Asia-Pacific), Busan, Korea, 1–4 June 2016; pp. 929–934. [Google Scholar]
- Ning, G.; Popov, B.N. Cycle life modeling of lithium-ion batteries. J. Electrochem. Soc. 2004, 151, A1584. [Google Scholar] [CrossRef]
- Guena, T.; Leblanc, P. How depth of discharge affects the cycle life of lithium-metal-polymer batteries. In Proceedings of the INTELEC 06-Twenty-Eighth International Telecommunications Energy Conference, Providence, RI, USA, 10–14 September 2006; pp. 1–8. [Google Scholar]
- Zhang, Y.; Chow, M.-Y. Microgrid cooperative distributed energy scheduling (CoDES) considering battery degradation cost. In Proceedings of the 2016 IEEE 25th International Symposium on Industrial Electronics (ISIE), Santa Clara, CA, USA, 8–10 June 2016; pp. 720–725. [Google Scholar]
- ISO. Environmental Management: Life Cycle Assessment; Principles and Framework; ISO: Geneva, Switzerland, 2006. [Google Scholar]
- Wang, H.; Oguz, E.; Jeong, B.; Zhou, P. Life cycle and economic assessment of a solar panel array applied to a short route ferry. J. Clean. Prod. 2019, 219, 471–484. [Google Scholar] [CrossRef]
- Jeong, B.; Jang, H.; Zhou, P.; Lee, J.U. Investigation on Marine LNG Propulsion Systems for LNG Carriers through an Enhanced Hybrid Decision Making Model. J. Clean. Prod. 2019, 230, 98–115. [Google Scholar] [CrossRef]
- Sphera. GaBi Solutions: GaBi LCA Database Documentation 2020; Extension database II: Energy. 2020. Available online: http://www.gabi-software.com/support/gabi/gabi-database-2020-lci-documentation/extension-database-ii-energy/ (accessed on 21 July 2020).
- BP. BP Statistical Review of World Energy June 2017. London SW1Y 4PD. 2017. Available online: https://www.bp.com/content/dam/bp/en/corporate/pdf/energy-economics/statistical-review-2017/bp-statistical-review-of-world-energy-2017-full-report.pdf (accessed on 10 July 2020).
- Power, A.E. Fact Book. In Proceedings of the 43rd EEI Financial Conference, Huston, TX, USA, 6 November 2008. [Google Scholar]
- Hwang, S.; Jeong, B.; Jung, K.; Kim, M.; Zhou, P. Life cycle assessment of LNG fueled vessel in domestic services. J. Mar. Sci. Eng. 2019, 7, 359. [Google Scholar] [CrossRef]
- Wang, H.; Oguz, E.; Jeong, B.; Zhou, P. Life cycle cost and environmental impact analysis of ship hull maintenance strategies for a short route hybrid ferry. Ocean. Eng. 2018, 161, 20–28. [Google Scholar] [CrossRef]
- Tietge, U.; Díaz, S.; Mock, P.; German, J.; Bandivadekar, A.; Ligterink, N. From Laboratory to Road. A 2016 Update of Official and Real-World Fuel Concumption and CO2 Values for Passenger Cars in Europe; International Council on Clean Transportation Europe: Berlin, Germany, 2016. [Google Scholar]
- IMO. Third IMO Greenhouse Gas Study. In Executive Summary Final Report, London; International Maritime Organization: London, UK, 2014. [Google Scholar]
- Dreyer, L.C.; Niemann, A.L.; Hauschild, M.Z. Comparison of three different LCIA methods: EDIP97, CML2001 and Eco-indicator 99. Int. J. Life Cycle Assess. 2003, 8, 191–200. [Google Scholar] [CrossRef]
- Monteiro, H.; Freire, F. Life-cycle assessment of a house with alternative exterior walls: Comparison of three impact assessment methods. Energy Build. 2012, 47, 572–583. [Google Scholar] [CrossRef]
- Cavalett, O.; Chagas, M.F.; Seabra, J.E.; Bonomi, A. Comparative LCA of ethanol versus gasoline in Brazil using different LCIA methods. Int. J. Life Cycle Assess. 2013, 18, 647–658. [Google Scholar] [CrossRef]
- REN21. What are the Current Trends in Renewable Energy. 2019. Available online: https://www.ren21.net/what-are-the-current-trends-in-renewable-energy/ (accessed on 13 January 2020).
- IRENA. Renewable Electricity Capacity and Generation Statistics, IRENA: Abu Dhabi, United Arab Emirates, June 2018.
- IMO. ISWG-GHG 5/4/5: Consideration of concrete proposals on candidate short-term measures; Consideration on development of the lifecycle GHG/carbon intensity guidelines for all types of fuels; International Maritime Organization: London, UK, 2019. [Google Scholar]
- Kim, K.; Park, K.; Ahn, J.; Roh, G.; Chun, K. A study on applicability of Battery Energy Storage System (BESS) for electric propulsion ships. In Proceedings of the 2016 IEEE Transportation Electrification Conference and Expo, Asia-Pacific (ITEC Asia-Pacific), Busan, Korea, 1–4 June 2016; pp. 203–207. [Google Scholar]
















![]() | |
| Item | Specification (Unit) |
| Design speed | 10 (Knot) |
| Gross tonnage | 69 (ton) |
| Outputs | 500 (kW) at 400 (rpm) |
| Operation time (voyage) | 72 (mins) |
| Ship length | 26.8 (m) |
| Breadth | 7 (m) |
| Draft | 1.9 (m) |
| Depth of Discharge | Discharge Times |
|---|---|
| 100% | 500 |
| 50% | 1500 |
| 25% | 2500 |
| 20% | 4700 |
| Parameter | Value (Unit) |
|---|---|
| Outputs | 500 (kW) |
| No. of Poles | 6 |
| Rotation speed | 400 (rpm) |
| Stator resistance | 0.0045 (Ω) |
| Stator inductance | 0.0957 (H) |
| Rotor resistance | 0.007 (Ω) |
| Rotor inductance | 0.1486 (H) |
| Mutual inductance | 2.75 (H) |
| Moment of Inertia | 20.1 (kg·m2) |
| Category | Items | Coal | Oil | Natural Gas | Hyo | Nuclear | Renewables | |
|---|---|---|---|---|---|---|---|---|
| PV | Wind | |||||||
| Major Emissions (kg) | CO2 | 8.68 × 10−1 | 6.95 × 10−1 | 5.23 × 10−1 | 6.16 × 10−3 | 5.31 × 10−3 | 6.22 × 10−2 | 9.87 × 10−3 |
| CO | 3.38 × 10−4 | 2.23 × 10−4 | 2.53 × 10−4 | 1.01× 10−5 | 6.24 × 10−6 | 8.32 × 10−5 | 3.48 × 10−5 | |
| NOx | 2.29 × 10−3 | 9.84 × 10−4 | 7.26 × 10−4 | 4.98 ×10−6 | 2.04 × 10−5 | 1.18 × 10−4 | 1.38 × 10−5 | |
| SOx | 1.46 × 10−4 | 1.68 × 10−3 | 1.94 × 10−4 | 3.05 × 10−6 | 1.65 × 10−5 | 1.73 × 10−4 | 1.48 × 10−5 | |
| PM10 | 1.01 × 10−4 | 1.90 × 10−6 | 1.66 × 10−6 | 1.80 × 10−6 | 4.82 × 10−6 | 3.96 × 10−5 | 2.49 × 10−6 | |
| PM2.5 | 2.04 × 10−5 | 1.50 × 10−5 | 2.23 × 10−5 | 3.73 ×10−7 | 4.56 × 10−7 | 2.18 × 10−5 | 9.42 × 10−7 | |
| Environmental potentials | GWP (kg CO2 eq.) | 9.12 × 10−1 | 7.06 × 10−1 | 5.65 × 10−1 | 6.24 × 10−3 | 5.68 × 10−3 | 6.71 × 10−2 | 1.05 × 10−2 |
| AP (kg SO2 eq.) | 1.20 × 10−3 | 2.52 × 10−3 | 6.01 × 10−4 | 6.90 × 10−6 | 3.13 × 10−5 | 2.82 × 10−4 | 2.92 × 10−5 | |
| EP (kg Phosphate eq.) | 1.46 × 10−4 | 1.36 × 10−4 | 9.67 × 10−5 | 9.03 × 10−7 | 6.13 × 10−6 | 2.11 × 10−5 | 3.18 × 10−6 | |
| POCP (kg Ethene Eq.) | 9.09 × 10−5 | 1.45 × 10−4 | 6.79 × 10−5 | 3.80 × 10−7 | 2.62 × 10−6 | 2.45 × 10−5 | 1.04 × 10−6 | |
| 100 kW at 55 rpm | 200 kW at 100 rpm | 500 kW at 400 rpm | ||||||||||
|---|---|---|---|---|---|---|---|---|---|---|---|---|
| Inlet (kg/h) | Return (kg/h) | (kg/h) | g/kWh | Inlet (kg/h) | Return (kg/h) | (kg/h) | g/kWh | Inlet (kg/h) | Return (kg/h) | (kg/h) | g/kWh | |
| 1st | 631.89 | 81.68 | 50.21 | 251.1 | 668.21 | 554.24 | 113.97 | 227.9 | 668.21 | 554.24 | 113.97 | 227.9 |
| 2nd | 632.29 | 581.52 | 50.77 | 253.9 | 668.15 | 554.03 | 114.12 | 228.2 | 668.15 | 554.03 | 114.12 | 228.2 |
| 3rd | 632.78 | 581.56 | 51.22 | 256.1 | 667.88 | 554.05 | 113.83 | 227.7 | 667.88 | 554.05 | 113.83 | 227.7 |
| 4th | 633.52 | 581.18 | 52.34 | 261.7 | 667.78 | 553.66 | 114.12 | 228.2 | 667.78 | 553.66 | 114.12 | 228.2 |
| 5th | 633.17 | 580.76 | 52.41 | 262.1 | 667.80 | 553.99 | 113.81 | 227.6 | 667.80 | 553.99 | 113.81 | 227.6 |
| Average | 51.39 | 257.0 | Average | 113.97 | 227.9 | Average | 113.97 | 227.9 | ||||
| Operation Route | Diesel System | Battery System | ||||||
|---|---|---|---|---|---|---|---|---|
| Actual Measurement | IMO Analytic Calculation | Deviation (Actual vs. Analytic) | ||||||
| Fuel Consumption (kg) | CO2 (kg) | NOx (kg) | CO2 (kg) | NOx (kg) | CO2 (%) | NOx (%) | Electricity Consumption (kWh) | |
| A-B | 8.91 | 22.61 | 0.08 | 28.60 | 0.78 | 126.50% | 968.96% | 66.67 |
| B-C | 40.05 | 101.65 | 2.22 | 128.56 | 3.48 | 126.47% | 156.95% | 180.00 |
| C-B | 40.05 | 101.65 | 2.22 | 128.56 | 3.48 | 126.47% | 156.95% | 180.00 |
| B-A | 8.89 | 22.61 | 0.08 | 28.54 | 0.77 | 126.21% | 966.79% | 66.67 |
| One Voyage | 97.92 | 248.52 | 4.60 | 314.26 | 8.52 | 126.45% | 185.20% | 493.33 |
| One Day | 391.68 | 994.08 | 18.40 | 1257.04 | 34.08 | 126.47% | 185.20% | 1973.32 |
| (Four Voyages) | ||||||||
© 2020 by the authors. Licensee MDPI, Basel, Switzerland. This article is an open access article distributed under the terms and conditions of the Creative Commons Attribution (CC BY) license (http://creativecommons.org/licenses/by/4.0/).
Share and Cite
Jeong, B.; Jeon, H.; Kim, S.; Kim, J.; Zhou, P. Evaluation of the Lifecycle Environmental Benefits of Full Battery Powered Ships: Comparative Analysis of Marine Diesel and Electricity. J. Mar. Sci. Eng. 2020, 8, 580. https://doi.org/10.3390/jmse8080580
Jeong B, Jeon H, Kim S, Kim J, Zhou P. Evaluation of the Lifecycle Environmental Benefits of Full Battery Powered Ships: Comparative Analysis of Marine Diesel and Electricity. Journal of Marine Science and Engineering. 2020; 8(8):580. https://doi.org/10.3390/jmse8080580
Chicago/Turabian StyleJeong, Byongug, Hyeonmin Jeon, Seongwan Kim, Jongsu Kim, and Peilin Zhou. 2020. "Evaluation of the Lifecycle Environmental Benefits of Full Battery Powered Ships: Comparative Analysis of Marine Diesel and Electricity" Journal of Marine Science and Engineering 8, no. 8: 580. https://doi.org/10.3390/jmse8080580
APA StyleJeong, B., Jeon, H., Kim, S., Kim, J., & Zhou, P. (2020). Evaluation of the Lifecycle Environmental Benefits of Full Battery Powered Ships: Comparative Analysis of Marine Diesel and Electricity. Journal of Marine Science and Engineering, 8(8), 580. https://doi.org/10.3390/jmse8080580


