Large Eddy Simulation of Microbubble Drag Reduction in Fully Developed Turbulent Boundary Layers
Abstract
1. Introduction
2. Numerical Methodology
2.1. Basic Governing Equations
2.2. Euler–Lagrange Model
2.3. Computational Domain and Boundary Conditions
2.4. Validation of the Numerical Methods
3. Results
3.1. Drag Reduction and the Movement of Microbubbles
3.2. Coherent Structure Features
3.2.1. The Velocity Distribution
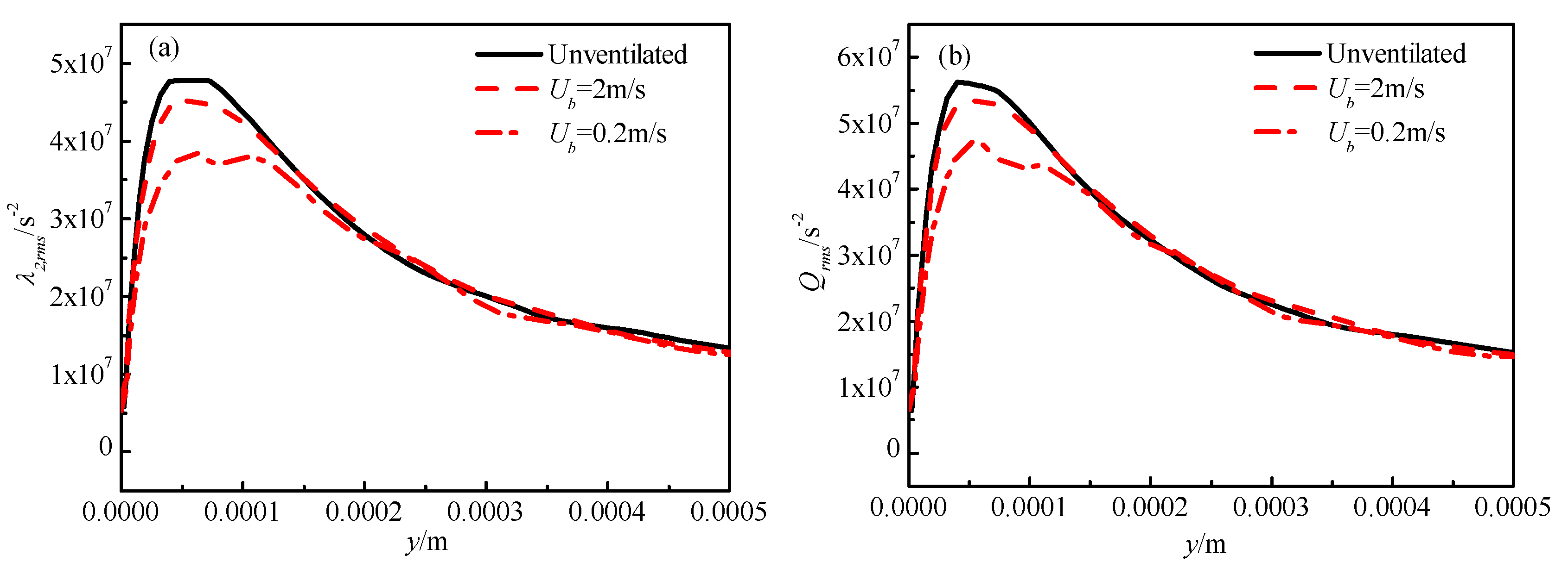
3.2.2. The Vortex Structure Intensity
3.2.3. The Burst Frequency
3.3. Transport of Turbulent Kinetic Energy
4. Discussion
5. Conclusions
- (1)
- The path of microbubbles shuttles back and forth between the bottom and outer layers of the turbulent boundary layer. Meanwhile, the kinetic energy of the microbubbles rises at the outer layer and decreases at the bottom layer due to the difference in flow velocity between the bottom and outer layers.
- (2)
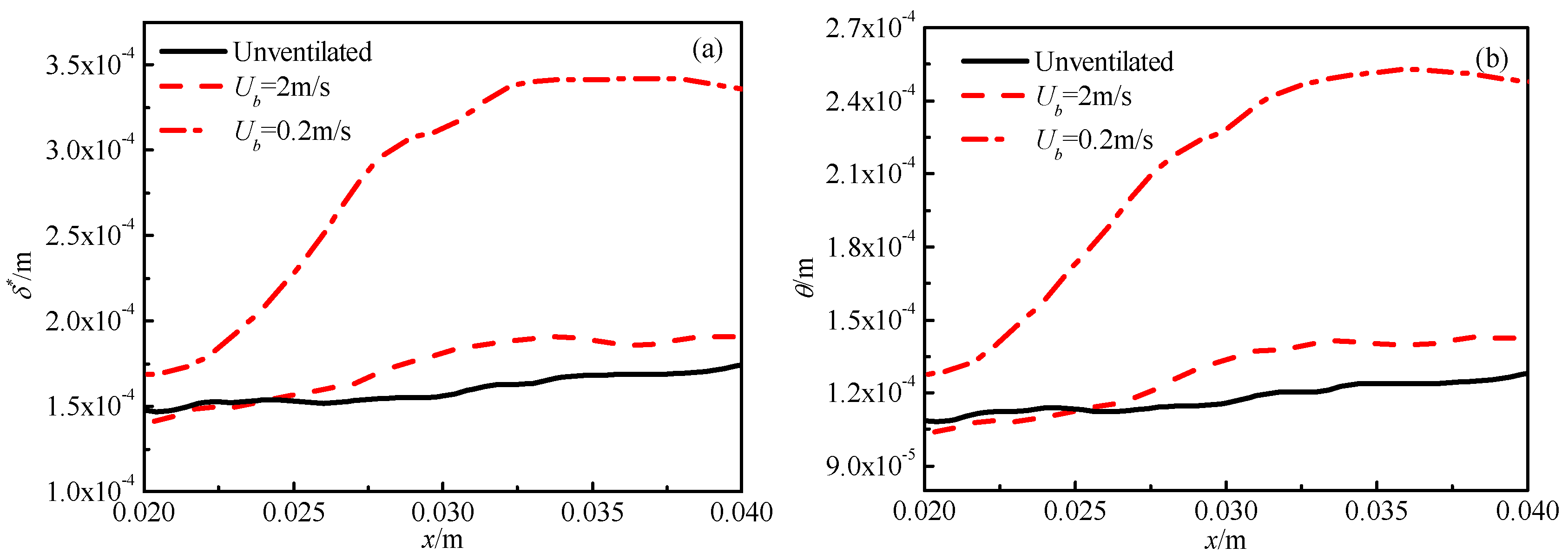
- The velocity gradient at the wall is decreased after the injection of microbubbles. At the same time, the region where the mean velocity promptly changes moves outward after injection. Because of these two changes, a longer distance is required for the velocity in the turbulent boundary layer to reach the inflow velocity. Thus, the displacement thickness and momentum thickness increase and the turbulent boundary layer becomes thicker.
- (3)
- The average burst frequency decreases from 637.8 Hz to 611.2 Hz after the injection of microbubbles, which leads to a decrease in the velocity gradient at the wall. Because sweeping, the last event in the burst process, contributes to the high velocity near the wall, the decrease in burst frequency means that the velocity near the wall is lowered, which leads to a decrease in the velocity gradient.
- (4)
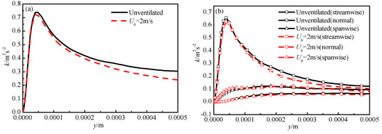
- The reduction of burst frequency also, with the fluid fluctuation reduced in degree, decreases the intensity of vortices near the wall, leading to reduced production of turbulent kinetic energy. Furthermore, the reduced production makes the streamwise and spanwise components of turbulent kinetic energy decrease, and the normal component remains unchanged.
Author Contributions
Funding
Conflicts of Interest
References
- Guin, M.M.; Kato, H.; Yamaguchi, H.; Maeda, M.; Miyanaga, M. Reduction of skin friction by microbubbles and its relation with near-wall bubble concentration in a channel. J. Mar. Sci. Technol. 1996, 1, 241–254. [Google Scholar] [CrossRef]
- Choi, H.; Moin, P.; Kim, J. Active turbulence control for drag reduction in wall-bounded flows. J. Fluid Mech. 1994, 262, 75–110. [Google Scholar] [CrossRef]
- Xu, J.; Maxey, M.R.; Karniadakis, G.E. Numerical simulation of turbulent drag reduction using micro-bubbles. J. Fluid Mech. 2002, 468, 271–281. [Google Scholar] [CrossRef]
- Sanders, W.C.; Winkel, E.S.; Dowling, D.R.; Perlin, M.; Ceccio, S.L. Bubble friction drag reduction in a high-Reynolds-number flat-plate turbulent boundary layer. J. Fluid Mech. 2006, 552, 353–380. [Google Scholar] [CrossRef]
- Chung, Y.M.; Talha, T. Effectiveness of active flow control for turbulent skin friction drag reduction. Phys. Fluids 2011, 23, 025102. [Google Scholar] [CrossRef]
- Deng, B.-Q.; Xu, C.-X. Influence of active control on STG-based generation of streamwise vortices in near-wall turbulence. J. Fluid Mech. 2012, 710, 234–259. [Google Scholar] [CrossRef][Green Version]
- Jiang, C.-X.; Li, S.-L.; Li, F.-C.; Li, W.-Y. Numerical study on axisymmetric ventilated supercavitation influenced by drag-reduction additives. Int. J. Heat Mass Transf. 2017, 115, 62–76. [Google Scholar] [CrossRef]
- Ferrante, A.; Elghobashi, S. On the physical mechanisms of drag reduction in a spatially developing turbulent boundary layer laden with microbubbles. J. Fluid Mech. 2004, 503, 345–355. [Google Scholar] [CrossRef]
- Mccormick, M.E.; Bhattacharyya, R. Drag reduction of a submersible hull by electrolysis. Nav. Eng. J. 1973, 85, 11–16. [Google Scholar] [CrossRef]
- Madavan, N.; Deutsch, S.; Merkle, C. Reduction of turbulent skin friction by microbubbles. Phys. Fluids 1984, 27, 356–363. [Google Scholar] [CrossRef]
- Merkle, C.; Deutsch, S. Microbubble drag reduction. In Frontiers in Experimental Fluid Mechanics; Springer: Berlin/Heidelberg, Germany, 1989; pp. 291–335. [Google Scholar]
- Kawamura, T.; Moriguchi, Y.; Kato, H.; Kakugawa, A.; Kodama, Y. Effect of bubble size on the microbubble drag reduction of a turbulent boundary layer. In Proceedings of the ASME/JSME 2003 4th Joint Fluids Summer Engineering Conference, Honolulu, HI, USA, 6–10 July 2003; pp. 647–654. [Google Scholar]
- Shen, X.; Ceccio, S.L.; Perlin, M. Influence of bubble size on micro-bubble drag reduction. Exp. Fluids 2006, 41, 415–424. [Google Scholar] [CrossRef]
- Fontaine, A.A.; Deutsch, S. The influence of the type of gas on the reduction of skin friction drag by microbubble injection. Exp. Fluids 1992, 13, 128–136. [Google Scholar] [CrossRef]
- Zhao, X.-j.; Zong, Z.; Jiang, Y.-c.; Pan, Y. Numerical simulation of micro-bubble drag reduction of an axisymmetric body using OpenFOAM. J. Hydrodyn. 2019, 31, 900–910. [Google Scholar] [CrossRef]
- Song, W.; Wang, C.; Wei, Y.; Zhang, X.; Wang, W. Experimental study of microbubble drag reduction on an axisymmetric body. Mod. Phys. Lett. B 2018, 32, 1850035. [Google Scholar] [CrossRef]
- Bogdevich, V.; Evseev, A.; Malyuga, A.; Migirenko, G. Gas-saturation effect on near-wall turbulence characteristics. In Proceedings of the 2nd International BHRA Fluid Drag Reduction Conference, Cambridge, UK, 31 August 1977. [Google Scholar]
- Legner, H.H. A simple model for gas bubble drag reduction. Phys. Fluids 1984, 27, 2788–2790. [Google Scholar] [CrossRef]
- Madavan, N.; Merkle, C.; Deutsch, S. Numerical investigations into the mechanisms of microbubble drag reduction. J. Fluids Eng. 1985, 107, 370–377. [Google Scholar] [CrossRef]
- Kanai, A.; Miyata, H. Direct numerical simulation of wall turbulent flows with microbubbles. Int. J. Numer. Methods Fluids 2001, 35, 593–615. [Google Scholar] [CrossRef]
- Ferrante, A.; Elghobashi, S. Reynolds number effect on drag reduction in a microbubble-laden spatially developing turbulent boundary layer. J. Fluid Mech. 2005, 543, 93–106. [Google Scholar] [CrossRef]
- Zhang, X.; Wang, J.; Wan, D. Euler–Lagrange study of bubble drag reduction in turbulent channel flow and boundary layer flow. Phys. Fluids 2020, 32, 027101. [Google Scholar]
- Elbing, B.R.; Mäkiharju, S.; Wiggins, A.; Perlin, M.; Dowling, D.R.; Ceccio, S.L. On the scaling of air layer drag reduction. J. Fluid Mech. 2013, 717, 484–513. [Google Scholar] [CrossRef]
- Elbing, B.R.; Winkel, E.S.; Lay, K.A.; Ceccio, S.L.; Dowling, D.R.; Perlin, M. Bubble-induced skin-friction drag reduction and the abrupt transition to air-layer drag reduction. J. Fluid Mech. 2008, 612, 201–236. [Google Scholar] [CrossRef]
- Yu, X.; Wang, Y.; Huang, C.; Wei, Y.; Fang, X.; Du, T.; Wu, X. Experiment and simulation on air layer drag reduction of high-speed underwater axisymmetric projectile. Eur. J. Mech.-B/Fluids 2015, 52, 45–54. [Google Scholar] [CrossRef]
- Ceccio, S.L. Friction drag reduction of external flows with bubble and gas injection. Annu. Rev. Fluid Mech. 2010, 42, 183–203. [Google Scholar] [CrossRef]
- Du, T.; Wang, Y.; Liao, L.; Huang, C. A numerical model for the evolution of internal structure of cavitation cloud. Phys. Fluids 2016, 28, 077103. [Google Scholar] [CrossRef]
- Long, X.; Cheng, H.; Ji, B.; Arndt, R.E.; Peng, X. Large eddy simulation and Euler–Lagrangian coupling investigation of the transient cavitating turbulent flow around a twisted hydrofoil. Int. J. Multiph. Flow 2018, 100, 41–56. [Google Scholar] [CrossRef]
- Nicoud, F.; Ducros, F. Subgrid-scale stress modelling based on the square of the velocity gradient tensor. Flow Turbul. Combust. 1999, 62, 183–200. [Google Scholar] [CrossRef]
- Germano, M.; Piomelli, U.; Moin, P.; Cabot, W.H. A dynamic subgrid-scale eddy viscosity model. Phys. Fluids A Fluid Dyn. 1991, 3, 1760–1765. [Google Scholar] [CrossRef]
- Lilly, D.K. A proposed modification of the Germano subgrid-scale closure method. Phys. Fluids A Fluid Dyn. 1992, 4, 633–635. [Google Scholar] [CrossRef]
- Apte, S.; Mahesh, K.; Lundgren, T. A Eulerlan-Lagrangian Model to Simulate Two-Phase/Particulate Flows; Minnesota Univ Minneapolis: Minneapolis, MN, USA, 2003. [Google Scholar]
- Patel, R.G.; Desjardins, O.; Kong, B.; Capecelatro, J.; Fox, R.O. Verification of Eulerian–Eulerian and Eulerian–Lagrangian simulations for turbulent fluid–particle flows. AIChE J. 2017, 63, 5396–5412. [Google Scholar] [CrossRef]
- Hoppe, F.; Breuer, M. A deterministic and viable coalescence model for Euler–Lagrange simulations of turbulent microbubble-laden flows. Int. J. Multiph. Flow 2018, 99, 213–230. [Google Scholar] [CrossRef]
- Asiagbe, K.S.; Fairweather, M.; Njobuenwu, D.O.; Colombo, M. Large eddy simulation of microbubble transport in a turbulent horizontal channel flow. Int. J. Multiph. Flow 2017, 94, 80–93. [Google Scholar] [CrossRef][Green Version]
- Zhang, Z.; Cui, G.; Xu, C. Theory and Modeling of Turbulence; Tsinghua University Press: Beijing, China, 2005; Volume 80, p. 81. [Google Scholar]
- Zhang, Z.; Cui, G.; Xu, C. The Theory and Application of Large-Eddy Simulation of Turbulence; Tsinghua University Press: Beijing, China, 2008. [Google Scholar]
- Clauser, F.H. The turbulent boundary layer. Adv. Appl. Mech. 1956, 4, 1–51. [Google Scholar]
- Orlandi, P.; Pirozzoli, S.; Bernardini, M. DNS of laminar-turbulent boundary layer transition induced by solid obstacles. arXiv 2015, arXiv:1503.08614. [Google Scholar]
- Zhang, L.-x.; Chen, M.; Deng, J.; Shao, X.-m. Experimental and numerical studies on the cavitation over flat hydrofoils with and without obstacle. J. Hydrody. 2019, 31, 708–716. [Google Scholar] [CrossRef]
- Coles, D. The law of the wake in the turbulent boundary layer. J. Fluid Mech. 1956, 1, 191–226. [Google Scholar] [CrossRef]
- Schlichting, H.; Gersten, K. Boundary-Layer Theory; Springer: Berlin/Heidelberg, Germany, 2016. [Google Scholar]
- Lund, T.S.; Wu, X.; Squires, K.D. Generation of turbulent inflow data for spatially-developing boundary layer simulations. J. Comput. Phys. 1998, 140, 233–258. [Google Scholar] [CrossRef]
- Spalart, P.R. Direct simulation of a turbulent boundary layer up to R θ = 1410. J. Fluid Mech. 1988, 187, 61–98. [Google Scholar] [CrossRef]
- Pope, S.B. Turbulent Flows; IOP Publishing: Bristol, UK, 2001. [Google Scholar]
- Kim, H.; Kline, S.; Reynolds, W. The production of turbulence near a smooth wall in a turbulent boundary layer. J. Fluid Mech. 1971, 50, 133–160. [Google Scholar] [CrossRef]
- Klebanoff, P. Characteristics of turbulence in a boundary layer with zero pressure gradient. NACA Tech. Note 1954, 1247, 8–35. [Google Scholar]
- Shekar, A.; Graham, M.D. Exact coherent states with hairpin-like vortex structure in channel flow. J. Fluid Mech. 2018, 849, 76–89. [Google Scholar] [CrossRef]
- Maciel, Y.; Simens, M.P.; Gungor, A.G. Coherent structures in a non-equilibrium large-velocity-defect turbulent boundary layer. Flow Turbul. Combust. 2017, 98, 1–20. [Google Scholar] [CrossRef]
- Silvestri, A.; Ghanadi, F.; Arjomandi, M.; Cazzolato, B.; Zander, A.; Chin, R. Mechanism of sweep event attenuation using micro-cavities in a turbulent boundary layer. Phys. Fluids 2018, 30, 055108. [Google Scholar] [CrossRef]
- Robinson, S.K. Coherent motions in the turbulent boundary layer. Annu. Rev. Fluid Mech. 1991, 23, 601–639. [Google Scholar] [CrossRef]
- Strickland, J.; Simpson, R.L. ’’Bursting’’frequencies obtained from wall shear stress fluctuations in a turbulent boundary layer. Phys. Fluids 1975, 18, 306–308. [Google Scholar] [CrossRef]
- Nan, J.; Zhendong, W. Detection of average burst period in wall turbulence by means of autocorrelation. J. Exp. Mech. 1995, 10, 343–348. [Google Scholar]


















| Case | Timestep (s) | |||||
|---|---|---|---|---|---|---|
| A | 7 | 0.2 | 40 | 0.3286 | ||
| B | 7 | 2 | 40 | 0.3381 |
| Case | ||||
|---|---|---|---|---|
| A | 0.2 | 5 × 106 | 4.458 × 10−3 | 7.34% |
| B | 2 | 5 × 106 | 4.664 × 10−3 | 1.85% |
© 2020 by the authors. Licensee MDPI, Basel, Switzerland. This article is an open access article distributed under the terms and conditions of the Creative Commons Attribution (CC BY) license (http://creativecommons.org/licenses/by/4.0/).
Share and Cite
Wang, T.; Sun, T.; Wang, C.; Xu, C.; Wei, Y. Large Eddy Simulation of Microbubble Drag Reduction in Fully Developed Turbulent Boundary Layers. J. Mar. Sci. Eng. 2020, 8, 524. https://doi.org/10.3390/jmse8070524
Wang T, Sun T, Wang C, Xu C, Wei Y. Large Eddy Simulation of Microbubble Drag Reduction in Fully Developed Turbulent Boundary Layers. Journal of Marine Science and Engineering. 2020; 8(7):524. https://doi.org/10.3390/jmse8070524
Chicago/Turabian StyleWang, Tongsheng, Tiezhi Sun, Cong Wang, Chang Xu, and Yingjie Wei. 2020. "Large Eddy Simulation of Microbubble Drag Reduction in Fully Developed Turbulent Boundary Layers" Journal of Marine Science and Engineering 8, no. 7: 524. https://doi.org/10.3390/jmse8070524
APA StyleWang, T., Sun, T., Wang, C., Xu, C., & Wei, Y. (2020). Large Eddy Simulation of Microbubble Drag Reduction in Fully Developed Turbulent Boundary Layers. Journal of Marine Science and Engineering, 8(7), 524. https://doi.org/10.3390/jmse8070524
