Seepage Force on a Buried Submarine Pipeline Induced by a Solitary Wave
Abstract
:1. Introduction
2. Mathematical Formulations
3. Finite-Element Methods
4. Model Validation
5. Pore Pressure Induced by Solitary Waves
5.1. Convergence Study
5.2. Effects of Permeability
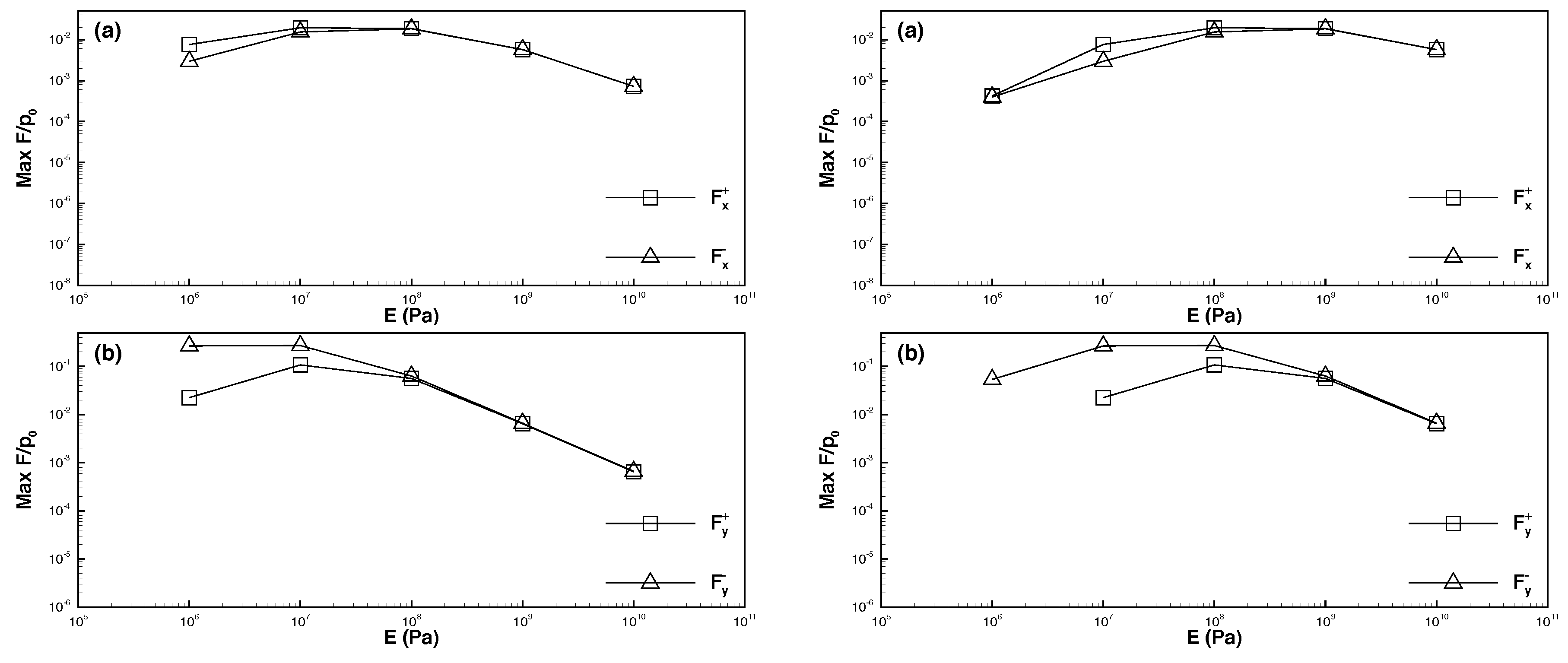
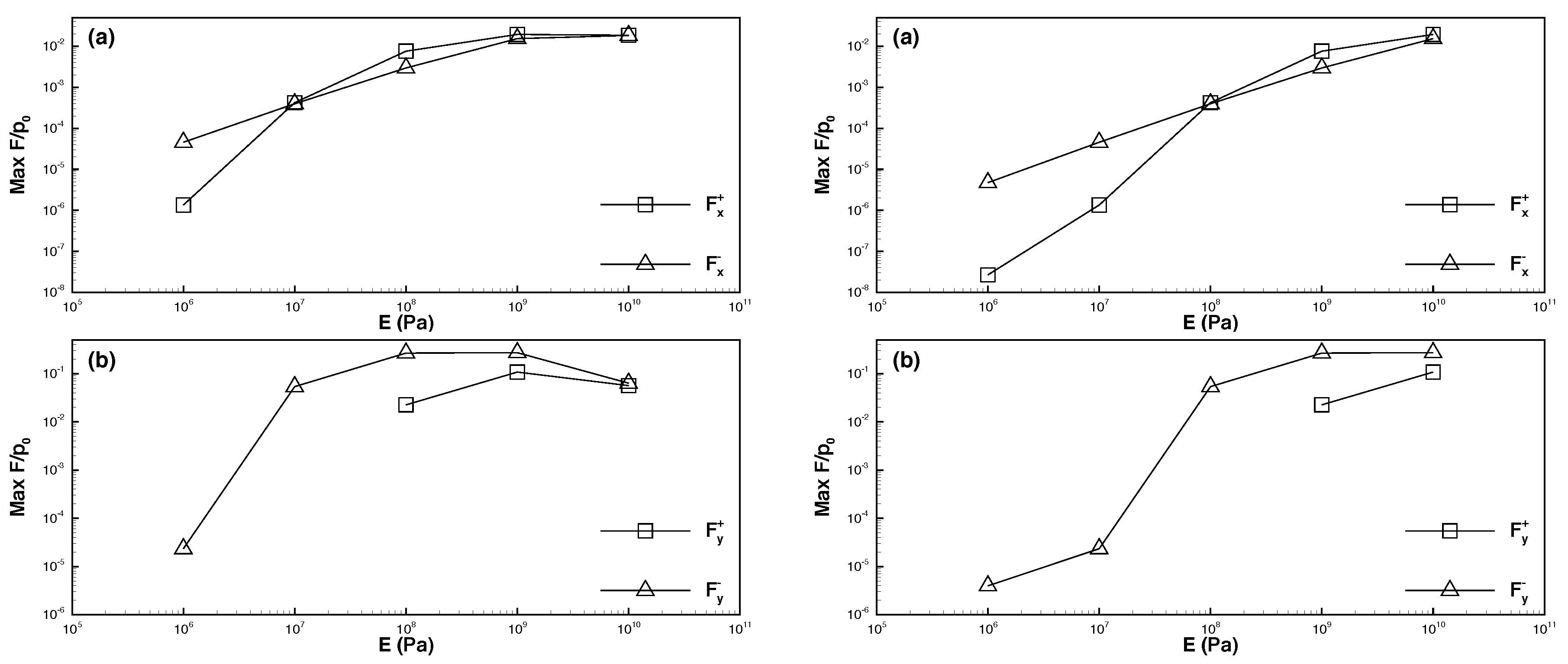
5.3. Effects of Young’s Modulus
6. Seepage Force on Pipeline Induced by Solitary Waves
6.1. Effects of Permeability
6.2. Effects of Young’s Modulus
6.3. Maximum Seepage Forces
7. Conclusions
- A lower permeability coefficient increased the difficulty in the propagation of water pressure, thus increasing the vertical gradient of excess pore water pressure. Additionally, when excess pore water pressure dissipated more slowly, the corresponding isoline shifted behind the peak of the solitary wave as the depth increased, indicating an asymmetrical spatial distribution.
- When the permeability coefficient was constant, dense seabed soils were more likely to be displaced, thus enabling the dissipation of pore water pressure into the depths of the seabed. Hence, the gradient of excess pore water pressure associated with dense seabed soils was lower than that of excess pore water pressure associated with loose seabed soils.
- Most of the seepage force exerted on pipelines embedded in loose seabed soils was vertical:
- When the permeability coefficient was higher and the solitary wave amplitude increased, the maximum downward vertical force () increased considerably, whereas the upward vertical force () decreased slightly. The horizontal force was weaker than the vertical force by one order of magnitude. Moreover, the maximum leftward and rightward horizontal forces ( and ) increased with the solitary wave amplitude.
- When the permeability coefficient was lower and the solitary wave amplitude increased, the maximum downward and upward vertical forces decreased, and the upward force was weaker than the downward force by one order of magnitude. Furthermore, the horizontal force was weaker than the vertical force by nearly two orders of magnitude. As the solitary wave amplitude increased, the maximum rightward horizontal force increased, whereas the maximum leftward horizontal force decreased.
- The force exerted on a pipeline embedded in dense seabed soils was weaker than that exerted on a pipeline embedded in loose seabed soils. Specifically, if the permeability coefficient was higher, the force exerted on the pipeline in dense seabed soils was weaker than that exerted on the pipeline in loose seabed soils by two to three orders of magnitude (or greater if the coefficient was lower).
Author Contributions
Funding
Acknowledgments
Conflicts of Interest
References
- Biot, M.A. General theory of three-dimensional consolidation. J. Appl. Phys. 1941, 12, 155–164. [Google Scholar] [CrossRef]
- Massel, S.R. Gravity waves propagated over permeable bottom. J. Waterw. Harb. Coast. Eng. 1976, 102, 111–121. [Google Scholar]
- Madsen, O.S. Wave-induced pore pressures and effective stresses in a porous bed. Géotechnique 1978, 28, 377–393. [Google Scholar] [CrossRef]
- Yamamoto, T.; Koning, H.L.; Sellmeijer, H.; Van Hijum, E. On the response of a poro-elastic bed to water waves. J. Fluid Mech. 1978, 87, 193–206. [Google Scholar] [CrossRef]
- Magda, W. Analytical Solution for the Wave-Induced Excess Pore-Pressure in a Finite-Thickness Seabed Layer. In 24th International Conference on Coastal Engineering; American Society of Civil Engineers: New York, NY, USA, 1994; pp. 3111–3125. [Google Scholar]
- Magda, W. Wave-induced uplift force acting on a submarine buried pipeline: Finite element formulation and verification of computations. Comput. Geotech. 1996, 19, 47–73. [Google Scholar] [CrossRef]
- Magda, W. Wave-induced cyclic pore-pressure perturbation effects in hydrodynamic uplift force acting on submarine pipeline buried in seabed sediments. Coast. Eng. 2000, 39, 243–272. [Google Scholar] [CrossRef]
- Wang, J.G.; Karim, M.R.; Lin, P.Z. Analysis of seabed instability using element free Galerkin method. Ocean Eng. 2007, 34, 247–260. [Google Scholar] [CrossRef]
- Liu, P.L.F.; Park, Y.; Lara, J.L. Long-wave-induced flows in an unsaturated permeable seabed. J. Fluid Mech. 2007, 586, 323–345. [Google Scholar] [CrossRef]
- Nakamura, H.; Onishi, R.; Minamide, H. On the Seepage in the Seabed Due to Waves. In Proceedings of 20th Coastal Engineering Conference; Japan Society of Civil Engineers: Tokyo, Japan, 1973; pp. 421–428. (In Japanese) [Google Scholar]
- McDougal, W.G.; Davidson, S.H.; Monkmeyer, P.L.; Sollitt, C.K. Wave-induced forces on buried pipelines. J. Waterw. Port Coast. Ocean Eng. 1988, 38, 331–336. [Google Scholar] [CrossRef]
- Sumer, B.M. Flow–structure–seabed interactions in coastal and marine environments. J. Hydraul. Res. 2014, 52, 1–13. [Google Scholar] [CrossRef]
- Verruijt, A. Elastic Stoage of Aquifers. In Flow through Porous Media; De Wiest, R.J.M., Bear, J., Eds.; Academic Press: New York, NY, USA, 1969; pp. 311–376. [Google Scholar]
- Boussinesq, J. Théorie des ondes et des remous qui se propagent le long d’un canal rectangulaire horizontal, en communiquant au liquide contenu dans ce canal des vitesses sensiblement pareilles de la surface au fond. J. Math. Pures Appl. 1872, 17, 55–108. [Google Scholar]
- Smith, I.M.; Griffiths, D.V.; Margetts, L. Programming the Finite Element Method; John Wiley & Sons, Ltd.: Chichester, UK, 2015. [Google Scholar]
- Gordon, W.J.; Hall, C.A. Construction of curvilinear co-ordinate systems and applications to mesh generation. Int. J. Numer. Methods Eng. 1973, 7, 461–477. [Google Scholar] [CrossRef]
- Schiffman, R.L. Field applications of soil consolidation, time-dependent loading and variable permeability. Highw. Res. Board Bull. 1960, 248, 25. [Google Scholar]





















© 2020 by the authors. Licensee MDPI, Basel, Switzerland. This article is an open access article distributed under the terms and conditions of the Creative Commons Attribution (CC BY) license (http://creativecommons.org/licenses/by/4.0/).
Share and Cite
Lin, M.-Y.; Wang, L.-J. Seepage Force on a Buried Submarine Pipeline Induced by a Solitary Wave. J. Mar. Sci. Eng. 2020, 8, 324. https://doi.org/10.3390/jmse8050324
Lin M-Y, Wang L-J. Seepage Force on a Buried Submarine Pipeline Induced by a Solitary Wave. Journal of Marine Science and Engineering. 2020; 8(5):324. https://doi.org/10.3390/jmse8050324
Chicago/Turabian StyleLin, Meng-Yu, and Li-Jie Wang. 2020. "Seepage Force on a Buried Submarine Pipeline Induced by a Solitary Wave" Journal of Marine Science and Engineering 8, no. 5: 324. https://doi.org/10.3390/jmse8050324
APA StyleLin, M.-Y., & Wang, L.-J. (2020). Seepage Force on a Buried Submarine Pipeline Induced by a Solitary Wave. Journal of Marine Science and Engineering, 8(5), 324. https://doi.org/10.3390/jmse8050324
