Numerical Investigations of Cavitation Nose Structure of a High-Speed Projectile Impact on Water-Entry Characteristics
Abstract
1. Introduction
2. Numerical Simulation Method
2.1. Governing Equations
2.2. Turbulence Model
2.3. Cavitation Model
3. Validation of Numerical Method
4. Projectile Structure Impact on Water-Entry Characteristics
4.1. Computational Model and Boundary Conditions
4.2. Grid Generation and Independent Inspection
4.2.1. Grid Generation
4.2.2. Grid Independent Inspection and Grid Convergence Index
4.3. The Compressibility of the Liquid
4.4. Results and Discussions
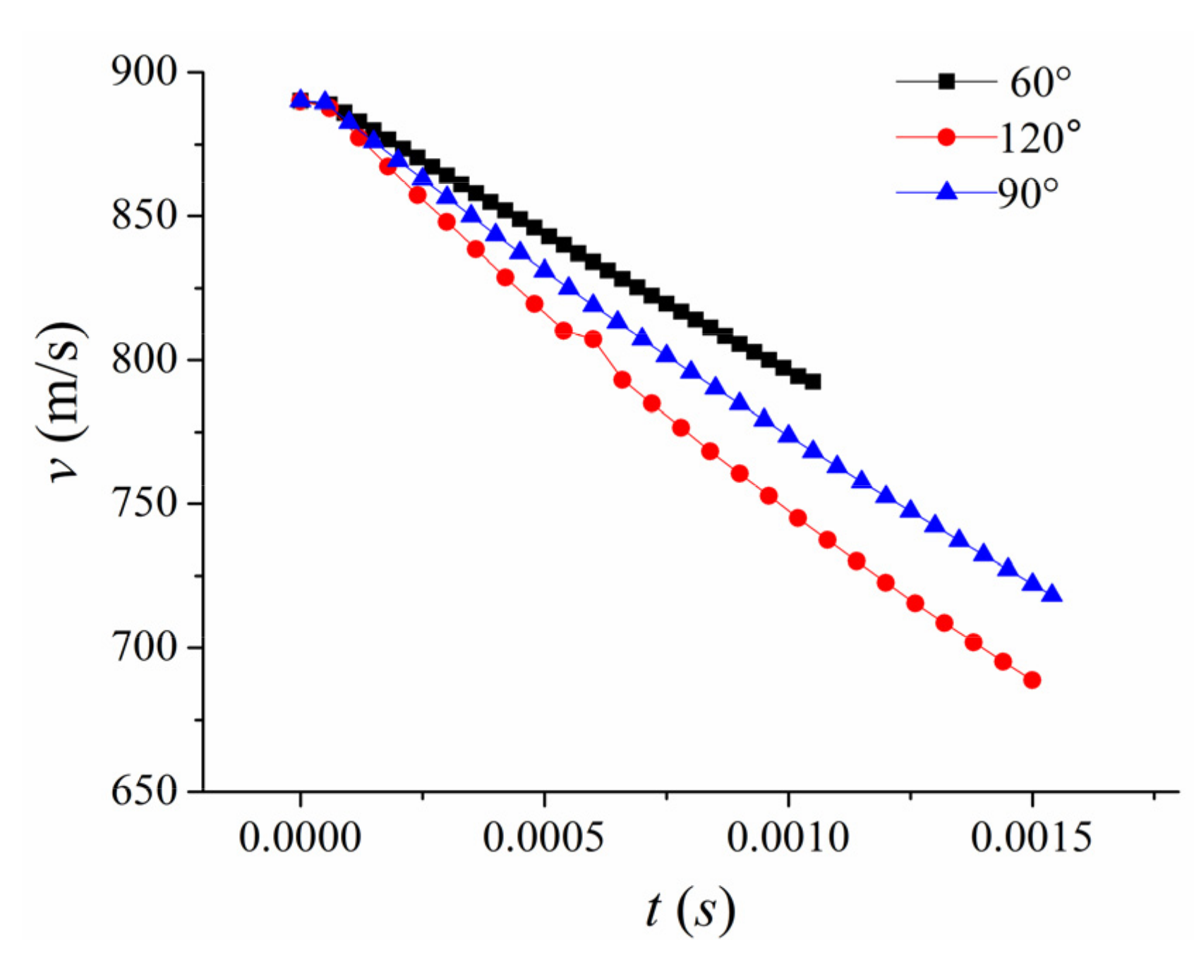
4.4.1. Effect of Cavitation Nose Angle of the Projectile
4.4.2. Effect of Cavitation Nose Diameter of the Projectile
5. Conclusions
Author Contributions
Funding
Conflicts of Interest
References
- Gilbarg, D.; Anderson, R.A. Influence of atmospheric pressure on the phenomena accompanying the entry of spheres into water. J. Appl. Phys. 1948, 19, 127–139. [Google Scholar] [CrossRef]
- May, A.; Woodhull, J.C. The virtual mass of a sphere entering water vertically. J. Appl. Phys. 1950, 21, 1285–1289. [Google Scholar] [CrossRef]
- May, A. Effect of surface condition of a sphere on its water-entry cavity. J. Appl. Phys. 1951, 22, 1219–1222. [Google Scholar] [CrossRef]
- Wu, G.X.; Sun, H.; He, Y.S. Numerical simulation and experimental study of water entry of a wedge in free fall motion. J. Fluid Struct. 2004, 19, 277–289. [Google Scholar] [CrossRef]
- Wu, G.X. Numerical simulation of water entry of twin wedges. J. Fluid Struct. 2006, 22, 99–108. [Google Scholar] [CrossRef]
- Zhu, X.; Faltinsen, O.M.; Hu, C. Water entry and exit of a horizontal circular cylinder. J. Offshore Mech. Arct. Eng. 2007, 129, 253–264. [Google Scholar] [CrossRef]
- Li, D.; Zhang, J.; Zhang, M.; Huang, B.; Ma, X.; Wang, G. Experimental study on water entry of spheres with different surface wettability. Ocean Eng. 2019, 187, 106123. [Google Scholar] [CrossRef]
- Shentu, J.; Zhao, T.; Li, D.; Zhao, X. Numerical simulations for water entry of hydrophobic objects. Ocean Eng. 2019, 190, 106485. [Google Scholar] [CrossRef]
- Mirzaei, M.; Taghvaei, H.; Golneshan, A.A. Improvement of cavity shape modeling in water-entry of circular cylinders by considering the cavity memory effect. Appl. Ocean Res. 2020, 97, 102073. [Google Scholar] [CrossRef]
- Scolan, Y.M. Oblique water entry of a three dimensional body. Int. J. Nav. Arch. Ocean Eng. 2014, 6, 1197–1208. [Google Scholar]
- Gu, H.B.; Qian, L.; Causon, D.M.; Mingham, C.G.; Lin, P. Numerical simulation of water impact of solid bodies with vertical and oblique entries. Ocean Eng. 2014, 75, 128–137. [Google Scholar] [CrossRef]
- Abraham, J.; Gorman, J.; Reseghetti, F.; Sparrow, E.; Stark, J.; Shepard, T. Modeling and numerical simulation of the forces acting on a sphere during early-water entry. Ocean Eng. 2014, 76, 1–9. [Google Scholar] [CrossRef]
- Erfanian, M.R.; Anbarsooz, M.; Rahimi, N.; Zare, M.; Moghiman, M. Numerical and experimental investigation of a three dimensional spherical-nose projectile water entry problem. Ocean Eng. 2015, 104, 397–404. [Google Scholar] [CrossRef]
- Iranmanesh, A.; Passandideh-Fard, M. A three-dimensional numerical approach on water entry of a horizontal circular cylinder using the volume of fluid technique. Ocean Eng. 2017, 130, 557–566. [Google Scholar] [CrossRef]
- Chen, C.; Sun, T.; Wei, Y.; Wang, C. Computational analysis of compressibility effects on cavity dynamics in high-speed water-entry. Int. J. Naval Architec. Ocean Eng. 2019, 11, 495–509. [Google Scholar] [CrossRef]
- Amin, K.; Mac Huang, J.; Hu, K.J.; Zhang, J.; Ristroph, L. The role of shape-dependent flight stability in the origin of oriented meteorites. Proc. Natl. Acad. Sci. USA 2019, 116, 16180–16185. [Google Scholar] [CrossRef]
- Jalalisendi, M.; Shams, A.; Panciroli, R.; Porfiri, M. Experimental reconstruction of three-dimensional hydrodynamic loading in water entry problems through particle image velocimetry. Exp. Fluids. 2015, 56, 41. [Google Scholar] [CrossRef]
- Panciroli, R.; Shams, A.; Porfiri, M. Experiments on the water entry of curved wedges: High speed imaging and particle image velocimetry. Ocean Eng. 2015, 94, 213–222. [Google Scholar] [CrossRef]
- Shams, A.; Jalalisendi, M.; Porfiri, M. Experiments on the water entry of asymmetric wedges using particle image velocimetry. Phys. Fluids 2015, 27, 027103. [Google Scholar] [CrossRef]
- Shi, H.H.; Takami, T. Hydrodynamic behavior of an underwater moving body after water entry. Acta. Mech. Sin. 2001, 17, 35–44. [Google Scholar]
- Barjasteh, M.; Zeraatgar, H.; Javaherian, M.J. An experimental study on water entry of asymmetric wedges. Appl. Ocean Res. 2016, 58, 292–304. [Google Scholar] [CrossRef]
- Chen, T.; Huang, W.; Zhang, W.; Qi, Y.; Guo, Z. Experimental investigation on trajectory stability of high-speed water entry projectiles. Ocean Eng. 2019, 175, 16–24. [Google Scholar] [CrossRef]
- Alaoui, A.E.M.; Nême, A.; Tassin, A.; Jacques, N. Experimental study of coefficients during vertical water entry of axisymmetric rigid shapes at constant speeds. Appl. Ocean Res. 2012, 37, 183–197. [Google Scholar] [CrossRef]
- Nila, A.; Vanlanduit, S.; Vepa, S.; Van Paepegem, W. A PIV-based method for estimating slamming loads during water entry of rigid bodies. Meas. Sci. Technol. 2013, 24, 045303. [Google Scholar] [CrossRef]
- Van Nuffel, D.; Vepa, K.S.; De Baere, I.; Lava, P.; Kersemans, M.; Degrieck, J.; De Rouck, J.; Van Paepegem, W. A comparison between the experimental and theoretical impact pressures acting on a horizontal quasi-rigid cylinder during vertical water entry. Ocean Eng. 2014, 77, 42–54. [Google Scholar] [CrossRef]
- Dong, C.; Sun, S.; Song, H.; Wang, Q. Numerical and experimental study on theimpact between a free falling wedge and water. Int. J. Naval Architec. Ocean Eng. 2018, 1–11. [Google Scholar]
- Menter, F.R. Two-equation eddy-viscosity turbulence models for engineering applications. AIAA J. 1994, 32, 1598–1605. [Google Scholar] [CrossRef]
- Singhal, A.K.; Athavale, M.M.; Li, H.; Jiang, Y. Mathematical basis and validation of the full cavitation model. J. Fluids Eng. 2002, 124, 617–624. [Google Scholar] [CrossRef]
- Watanabe, T.; Kawamura, T.; Takekoshi, Y.; Maeda, M.; Rhee, S.H. Simulation of steady and unsteady cavitation on a marine propeller using a RANS CFD code. In Proceedings of the 5th International Symposium on Cavitation, Osaka, Japan, 1–5 November 2003. [Google Scholar]
- Salvatore, F.; Streckwall, H.; Van Terwisga, T. Propeller cavitation modelling by CFD-results from the VIRTUE 2008 Rome workshop. In Proceedings of the First International Symposium on Marine Propulsors, Trondheim, Norway, 22–24 June 2009. [Google Scholar]
- Zwart, P.J.; Gerber, A.G.; Belamri, T. A two-phase flow model for predicting cavitation dynamics. In Proceedings of the 5th International Conference on Multiphase Flow, Yokohama, Japan, 30 May–3 June 2004. [Google Scholar]
- Guo, Z. Research on Characteristics of Projectile Water Entry and Ballistic Resistance of Targets under Different Mediums. Ph.D. Thesis, Harbin Institute of Technology, Harbin, China, 2012. (In Chinese). [Google Scholar]
- Polovnev, A.A.; Khasiakhmetov, V.S. Cavitating core. U.S. Patent No. 8,082,851; Patent and Trademark Office: Washington, DC, USA, 2011. [Google Scholar]
- Huang, C. Research of Trajectory Characteristics of Supersonic-Supercavitating Projectiles. Ph.D. Thesis, Northwestern Polytechnical University, Xi’an, China, 2017. (In Chinese). [Google Scholar]
- Huang, C.; Luo, K.; Bai, J.; Wang, Z.; Jiang, B. Influence of liquid’s compressibility on supercavitating flow. J. Shanghai Jiao Tong Univ. (Sci.) 2016, 50, 1241–1245. (In Chinese) [Google Scholar]
- Huang, C.; Dang, J.J.; Li, D.J.; Luo, K. Influence of the transonic motion on resistance and cavitation characteristics of projectiles. Acta Armamentarii 2016, 37, 1482–1488. (In Chinese) [Google Scholar]
- Chen, C. Multiphase Flow Characteristics of Subsonic and Transonic Water-entry for Small Moving Body. Ph.D. Thesis, Harbin Institute of Technology, Harbin, China, 2019. (In Chinese). [Google Scholar]
- Li, D.; Huang, B.; Zhang, M.; Wang, G.; Liang, T. Numerical and theoretical investigation of the high-speed compressible supercavitating flows. Ocean Eng. 2018, 156, 446–455. [Google Scholar] [CrossRef]
- Liang, T.; Zhang, M.; Li, D. Numerical simulation of high speed compressible supercavitaion flow. In Proceedings of the 14th National Congress on Hydrodynamics & 28th National Conference on Hydrodynamics, Changchun, China, 8–10 August 2017; pp. 357–362. (In Chinese). [Google Scholar]



























| Projectile Diameter (D) | 12.7 mm |
|---|---|
| Conical nose angle | |
| Mass | |
| Length (L) | 99 mm |
© 2020 by the authors. Licensee MDPI, Basel, Switzerland. This article is an open access article distributed under the terms and conditions of the Creative Commons Attribution (CC BY) license (http://creativecommons.org/licenses/by/4.0/).
Share and Cite
Li, Q.; Lu, L. Numerical Investigations of Cavitation Nose Structure of a High-Speed Projectile Impact on Water-Entry Characteristics. J. Mar. Sci. Eng. 2020, 8, 265. https://doi.org/10.3390/jmse8040265
Li Q, Lu L. Numerical Investigations of Cavitation Nose Structure of a High-Speed Projectile Impact on Water-Entry Characteristics. Journal of Marine Science and Engineering. 2020; 8(4):265. https://doi.org/10.3390/jmse8040265
Chicago/Turabian StyleLi, Qiang, and Lin Lu. 2020. "Numerical Investigations of Cavitation Nose Structure of a High-Speed Projectile Impact on Water-Entry Characteristics" Journal of Marine Science and Engineering 8, no. 4: 265. https://doi.org/10.3390/jmse8040265
APA StyleLi, Q., & Lu, L. (2020). Numerical Investigations of Cavitation Nose Structure of a High-Speed Projectile Impact on Water-Entry Characteristics. Journal of Marine Science and Engineering, 8(4), 265. https://doi.org/10.3390/jmse8040265

