Establishment and Verification of a Constitutive Model of Ice Material Considering the Effect of Temperature
Abstract
1. Introduction
2. Ice Material Model
2.1. Ice Material Model Considering the Temperature Effects
2.2. Stress Update Algorithm
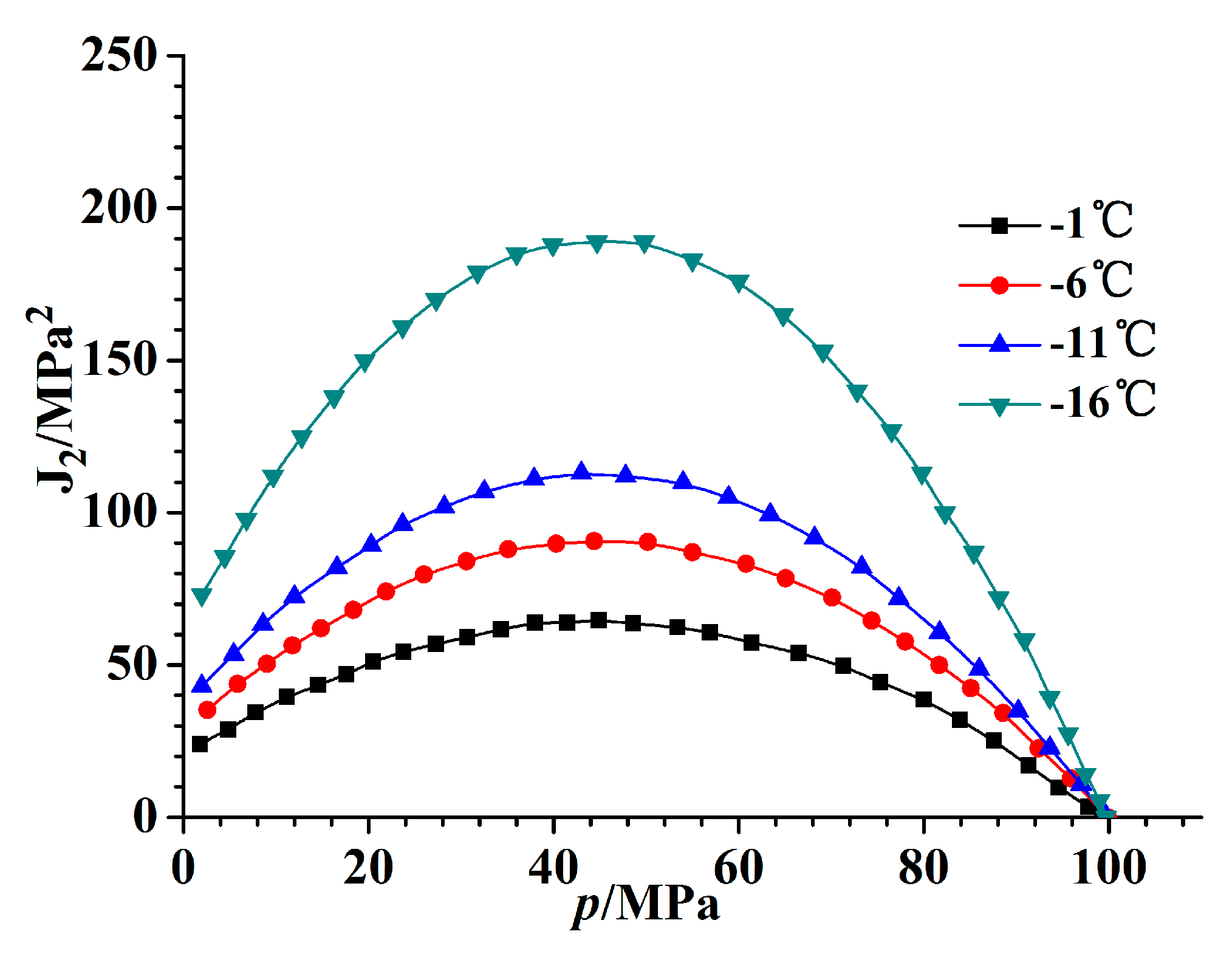
2.3. Verification and Comparative Analysis of Sea Ice Materials
3. Numerical Simulation Analysis of the Ice Drop Test
3.1. Experimental Introduction
3.2. Finite Element Model
3.3. Numerical Results
4. Discussions
4.1. Effect on the Temperature of the Ice Block
4.2. Effect of the Drop Height of the Ice Block
5. Conclusions
Author Contributions
Funding
Acknowledgments
Conflicts of Interest
References
- Bird, K.J.; Charpentier, R.R.; Gautier, D.L.; Houseknecht, D.W.; Klett, T.R.; Pitman, J.K.; Moore, T.E.; Schenk, C.J.; Tennyson, M.E.; Wandrey, C.J. Circum-Arctic resource appraisal: Estimates of undiscovered oil and gas north of the Arctic Circle. In US Geological Survey Fact Sheet FS-2008-3049; USGS: Washington DC, USA, 2008; Available online: http://pubs.usgs.gov/fs/2008/3049/ (accessed on 5 May 2016).
- Suppiah, C.R. The Northeast Arctic Passage: Possibilities and economic considerations. Marit. Stud. 2006, 2006, 12–15. [Google Scholar] [CrossRef]
- Schwarz, J.; Weeks, W.F. Engineering properties of sea ice. J. Glaciol. 1977, 19, 499–531. [Google Scholar] [CrossRef][Green Version]
- Timco, G.W.; Frederking, R.M.W. A review of sea ice density. Cold Reg. Sci. Technol. 1996, 24, 1–6. [Google Scholar] [CrossRef]
- Hutchings, J.K.; Heil, P.; Lecomte, O.; Stevens, R.; Steer, A.; Lieser, J.L. Comparing methods of measuring sea-ice density in the East Antarctic. Ann. Glaciol. 2015, 56, 77–82. [Google Scholar] [CrossRef]
- Forsström, S.; Gerland, S.; Pedersen, C.A. Thickness and density of snow-covered sea ice and hydrostatic equilibrium assumption from in situ measurements in Fram Strait, the Barents Sea and the Svalbard coast. Ann. Glaciol. 2011, 52, 261–270. [Google Scholar] [CrossRef]
- Sodhi, D.S.; Haehnel, R.B. Crushing ice forces on structures. J. Cold Reg. Eng. 2003, 17, 153–170. [Google Scholar] [CrossRef]
- Dempsey, J.P.; Adamson, R.M.; Mulmule, S.V. Large-scale in-situ fracture of ice. In Proceedings of the FRAMCOS, Zurich, Switzerland, 25–28 July 1995; pp. 675–684. [Google Scholar]
- Dempsey, J.P., Shen, H.H., Eds.; IUTAM Symposium on Scaling Laws in Ice Mechanics and Ice Dynamics. In Proceedings of the IUTAM Symposium, Fairbanks, Alaska, USA, 13–16 June 2000; Volume 94, pp. 43–54. [Google Scholar]
- Daley, C.G. Energy based ice collision forces. In Proceedings of the 15th International Conference on Port and Ocean Engineering under Arctic Conditions (POAC), Espoo, Finland, 23–27 August 1999; Volume 2, pp. 674–686. [Google Scholar]
- Richter-Menge, J.A. Triaxial Testing of First-Year Sea Ice; US Army Corps of Engineers, Cold Regions Research & Engineering Laboratory: Hanover, NH, USA, 1986. [Google Scholar]
- Gagnon, R.E.; Gammon, P.H. Triaxial experiments on iceberg and glacier ice. J. Glaciol. 1995, 41, 528–540. [Google Scholar] [CrossRef]
- Cox, G.F.N.; Richter-Menge, J.A. Triaxial compression testing of ice. In Proceedings of the Civil Engineering in the Arctic Offshore. ASCE, San Francisco, CA, USA, 25–27 March 1985; pp. 476–488. [Google Scholar]
- Hibler, W.D. A viscous sea ice law as a stochastic average of plasticity. J. Geophys. Res. Atmos. 1977, 82, 3932–3938. [Google Scholar] [CrossRef]
- Hibler, W.D. A Dynamic Thermodynamic Sea Ice Model. J. Phys. Oceanogr. 1979, 9, 815–846. [Google Scholar] [CrossRef]
- Ji, S.; Shen, H.T.; Wang, Z.; Shen, H.H.; Yue, Q. A viscoelastic-plastic constitutive model with Mohr-Coulomb yielding criterion for sea ice dynamics. Acta Oceanol. Sin. 2005, 24, 54–65. [Google Scholar]
- Gagnon, R.E. A numerical model of ice crushing using a foam analogue. Cold Reg. Sci. Technol. 2011, 65, 335–350. [Google Scholar] [CrossRef]
- Kim, H. Simulation of Compressive ‘Cone-Shaped’ Ice Specimen Experiments using LS-DYNA. In Proceedings of the International Ls-Dyna Users Conference, Detroit, MI, USA, 8–10 June 2014. [Google Scholar]
- Liu, Z.; Amdahl, J.; Løset, S. Plasticity based material modelling of ice and its application to ship–iceberg impacts. Cold Reg. Sci. Technol. 2011, 65, 326–334. [Google Scholar] [CrossRef]
- Gao, Y.; Hu, Z.; Ringsberg, J.W.; Wang, J. An elastic–plastic ice material model for ship-iceberg collision simulations. Ocean Eng. 2015, 102, 27–39. [Google Scholar] [CrossRef]
- Shi, C.; Hu, Z.; Ringsberg, J.; Luo, Y. A nonlinear viscoelastic iceberg material model and its numerical validation. Proc. Inst. Mech. Eng. Part M J. Eng. Marit. Environ. 2017, 231, 675–689. [Google Scholar] [CrossRef]
- Wang, F.; Zou, Z.J.; Zhou, L.; Ren, Y.Z.; Wang, S.Q. A simulation study on the interaction between sloping marine structure and level ice based on cohesive element model. Cold Reg. Sci. Technol. 2018, 149, 1–15. [Google Scholar] [CrossRef]
- Lu, W.; Lubbad, R.; Løset, S. Simulating ice-sloping structure interactions with the cohesive element method. J. Offshore Mech. Arct. Eng. 2014, 136, 031501. [Google Scholar] [CrossRef]
- Kolerski, T.; Zima, P.; Szydłowski, M. Mathematical Modeling of Ice Thrusting on the Shore of the Vistula Lagoon (Baltic Sea) and the Proposed Artificial Island. Water 2019, 11, 2297. [Google Scholar] [CrossRef]
- Derradji, A. A unified failure envelope for isotropic fresh water ice and iceberg ice. In Proceedings of the ETCE/OMAE-2000 Joint Conference Energy for the New Millenium, New Orleans, LA, USA, 14–17 February 2000; Available online: https://core.ac.uk/display/38594362 (accessed on 30 December 2000).
- Derradji-Aouat, A. Multi-surface failure criterion for saline ice in the brittle regime. Cold Reg. Sci. Technol. 2003, 36, 47–70. [Google Scholar] [CrossRef]
- Clouston, P.; Lam, F.; Barrett, J.D. Incorporating size effects in the Tsai-Wu strength theory for Douglas-fir laminated veneer. Wood Sci. Technol. 1998, 32, 215–226. [Google Scholar] [CrossRef]
- Shi, C.; Hu, Z.; Ringsberg, J.; Luo, Y. Validation of a temperature-gradient-dependent elastic-plastic material model of ice with finite element simulations. Cold Reg. Sci. Technol. 2017, 133, 15–25. [Google Scholar] [CrossRef]
- Jordaan, I.J.; Matskevitch, D.G.; Meglis, I.L. Disintegration of ice under fast compressive loading. Int. J. Fract. 1999, 97, 279–300. [Google Scholar] [CrossRef]
- Ortiz, M.; Simo, J.C. An analysis of a new class of integration algorithms for elastoplastic constitutive relations. Int. J. Numer. Methods Eng. 1986, 23, 353–366. [Google Scholar] [CrossRef]
- Timco, G.; Sudom, D. Revisiting the Sanderson pressure–area curve: Defining parameters that influence ice pressure. Cold Reg. Sci. Technol. 2013, 95, 53–66. [Google Scholar] [CrossRef]
- Kim, E.; Storheim, M.; Amdahl, J.; Løset, S.; Von Bock und Polach, R.U.F. Drop tests of ice blocks on stiffened panels with different structural flexibility. In Collision and Grounding of Ships and Offshore Structures; Taylor & Francis Group: Milton Park, UK, 2013; pp. 241–250. [Google Scholar]
- Villavicencio, R.; Soares, C.G. Numerical plastic response and failure of a pre-notched transversely impacted beam. Ships Offshore Struct. 2012, 7, 417–429. [Google Scholar] [CrossRef]
- Dieter, G.E. Mechanical behavior under tensile and compressive loads. ASM Handb. 2000, 8, 99–108. [Google Scholar]
- Zhang, L.; Egge, E.D.; Bruhns, H. Approval procedure concept for alternative arrangements. In Proceedings of the 3rd International Conference on Collision and Grounding of Ships (ICCGS), Izu, Japan, 25–27 October 2004; pp. 87–96. [Google Scholar]
- Samuelides, E.; Frieze, P.A. Fluid-structure interaction in ship collisions. Mar. Struct. 1989, 2, 65–88. [Google Scholar] [CrossRef]


























| Items | Material | Thickness |
|---|---|---|
| plate | S235 | 4 mm |
| stiffener | S235 | 4 mm |
| rib | S235 | 4 mm |
| Items | Drop Test | Simulation |
|---|---|---|
| Plate number | P3 | P3 |
| Kinetic energy/KJ | 17.7 | 17.7 |
| Length of dent/mm | ~750 | ~750 |
| Depth of dent/mm | ~8 | 8.61 |
| Peak force/KN | - | 753.48 |
| Energy absorbed(ice/plate)/KJ | -/1.2 | 0.5/2.31 |
| Items | −5 °C | −10 °C | −15 °C | −20 °C |
|---|---|---|---|---|
| Dent length/mm | ~750 | ~750 | ~750 | ~750 |
| Peak force/KN | 753.48 | 783.81 | 806.12 | 829.97 |
| Energy absorbed (ice block)/KJ | 0.52 | 0.44 | 0.47 | 0.48 |
| Energy absorbed (plate)/KJ | 2.31 | 2.73 | 3.09 | 3.41 |
| Items | 1.0 m | 1.5 m | 2 m | 2.5 m | 3 m |
|---|---|---|---|---|---|
| Velocity/ms−1 | 4.42 | 5.42 | 6.26 | 7 | 7.65 |
| Dent length/mm | ~750 | ~750 | ~750 | ~750 | ~750 |
| Peak force/KN | 677.49 | 705.71 | 746.52 | 750.09 | 753.48 |
| Initial kinetic energy/KJ | 6.25 | 9.35 | 12.48 | 15.61 | 17.7 |
| Energy absorbed (ice block)/KJ | 0.59 | 0.53 | 0.61 | 0.53 | 0.52 |
| Energy absorbed (plate)/KJ | 1.52 | 2.01 | 2.22 | 2.29 | 2.31 |
© 2020 by the authors. Licensee MDPI, Basel, Switzerland. This article is an open access article distributed under the terms and conditions of the Creative Commons Attribution (CC BY) license (http://creativecommons.org/licenses/by/4.0/).
Share and Cite
Yu, T.; Liu, K.; Wang, J.; Wang, Z. Establishment and Verification of a Constitutive Model of Ice Material Considering the Effect of Temperature. J. Mar. Sci. Eng. 2020, 8, 193. https://doi.org/10.3390/jmse8030193
Yu T, Liu K, Wang J, Wang Z. Establishment and Verification of a Constitutive Model of Ice Material Considering the Effect of Temperature. Journal of Marine Science and Engineering. 2020; 8(3):193. https://doi.org/10.3390/jmse8030193
Chicago/Turabian StyleYu, Tongqiang, Kun Liu, Jiaxia Wang, and Zili Wang. 2020. "Establishment and Verification of a Constitutive Model of Ice Material Considering the Effect of Temperature" Journal of Marine Science and Engineering 8, no. 3: 193. https://doi.org/10.3390/jmse8030193
APA StyleYu, T., Liu, K., Wang, J., & Wang, Z. (2020). Establishment and Verification of a Constitutive Model of Ice Material Considering the Effect of Temperature. Journal of Marine Science and Engineering, 8(3), 193. https://doi.org/10.3390/jmse8030193
