Comparison of Wave Energy Park Layouts by Experimental and Numerical Methods
Abstract
1. Introduction
2. Theory and Numerical Model
Mathematical Model
3. Physical Experiments
3.1. Wave Tank
3.2. Experimental Set-Up
3.3. Tests
3.4. Array Layouts
4. Simulations
5. Results and Discussion
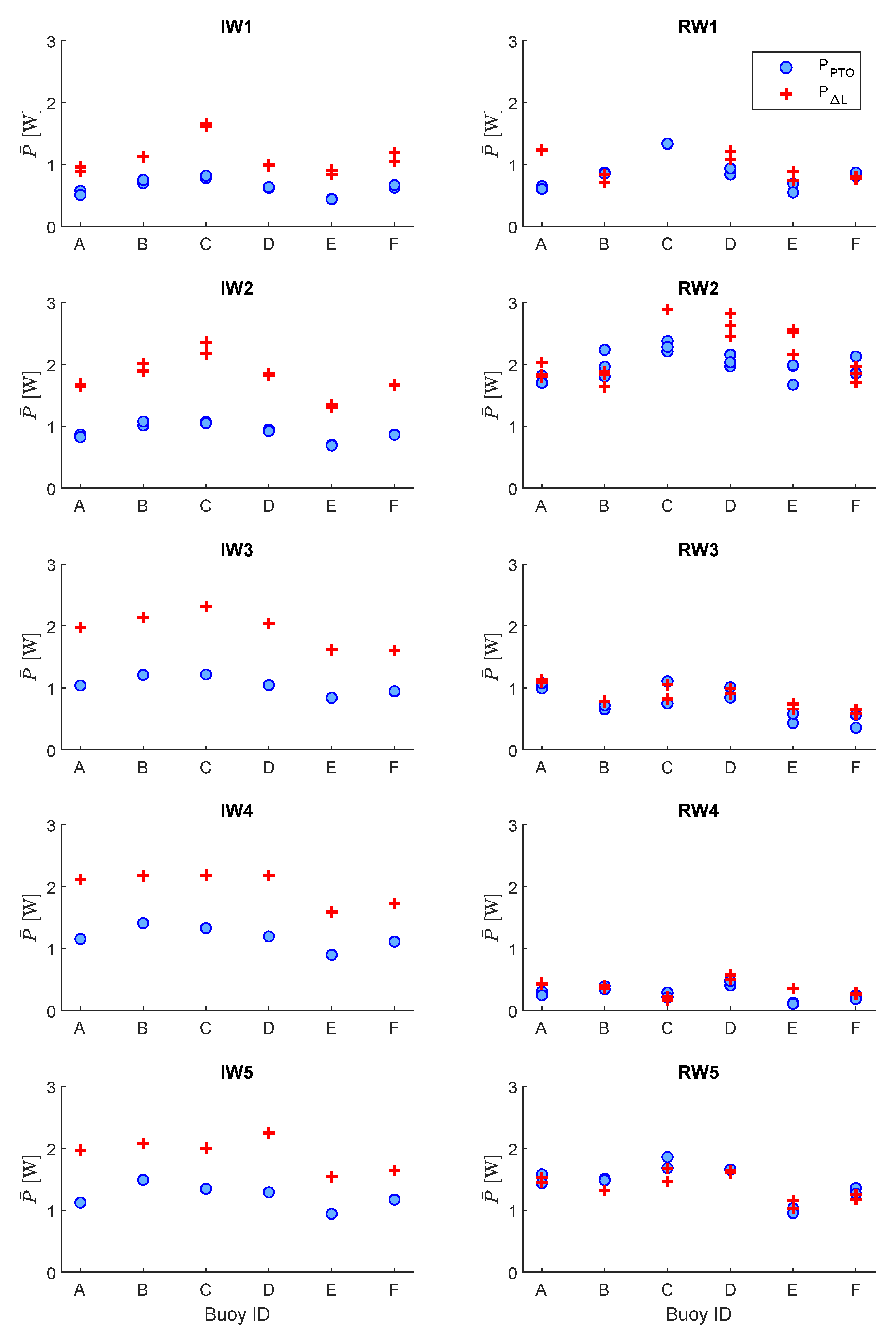
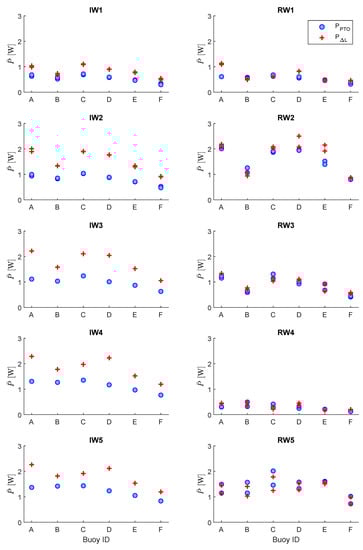
5.1. Power Output
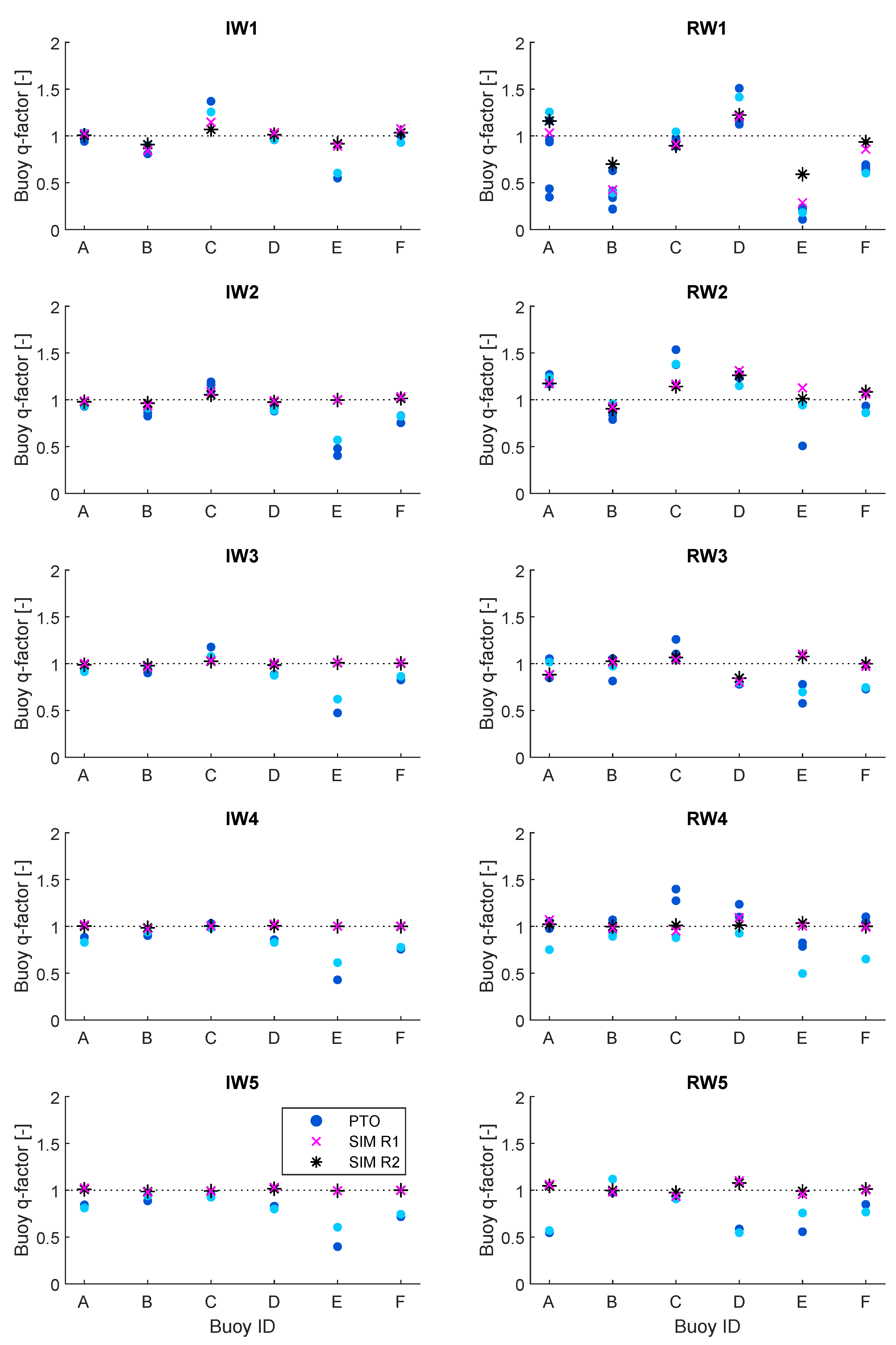
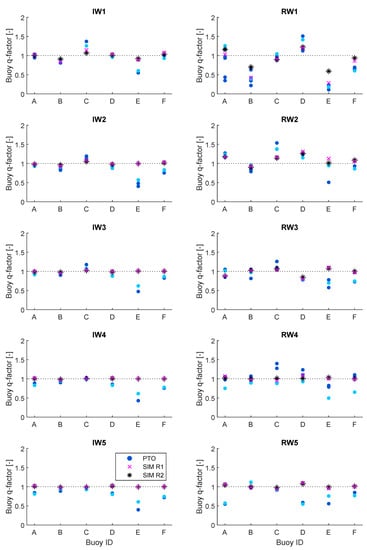
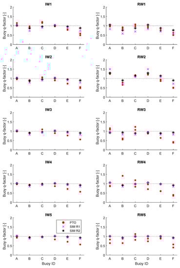
5.2. q-Factor
6. Conclusions
6.1. Performances of Different Array Layouts under Several Wave Conditions
6.2. Comparison of Simulation Optimization Predictions with Experimental Data
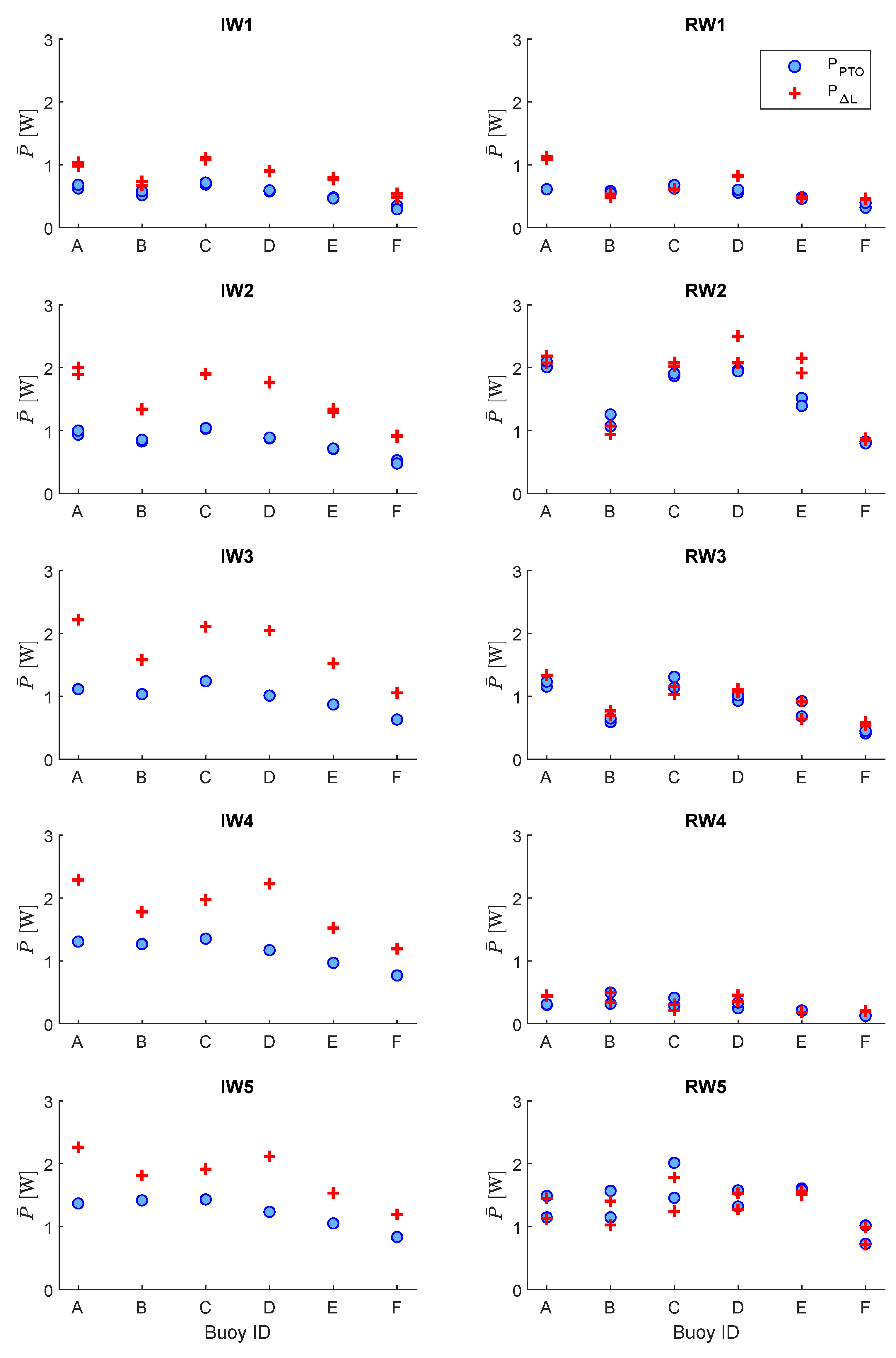
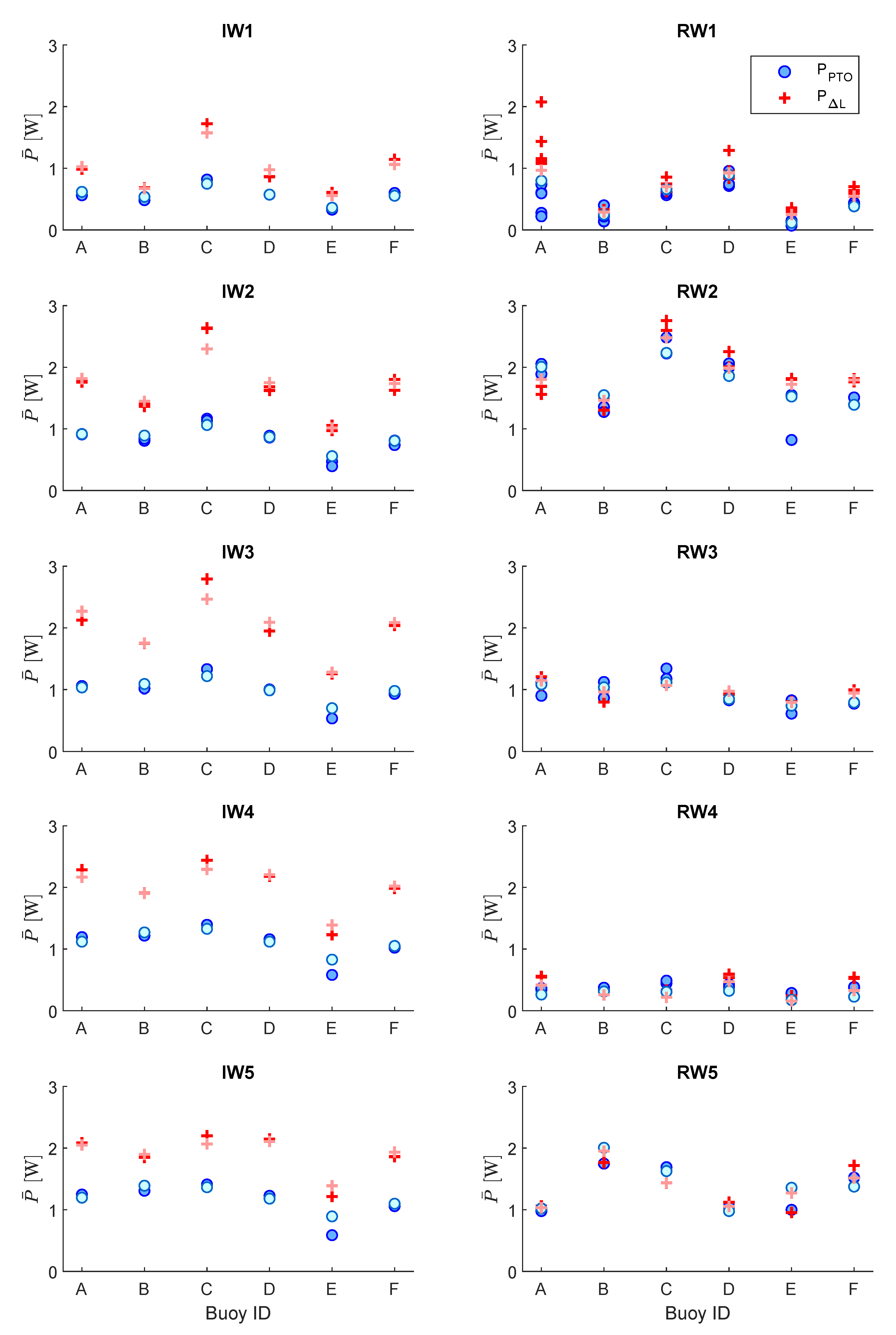
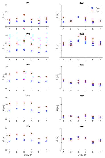
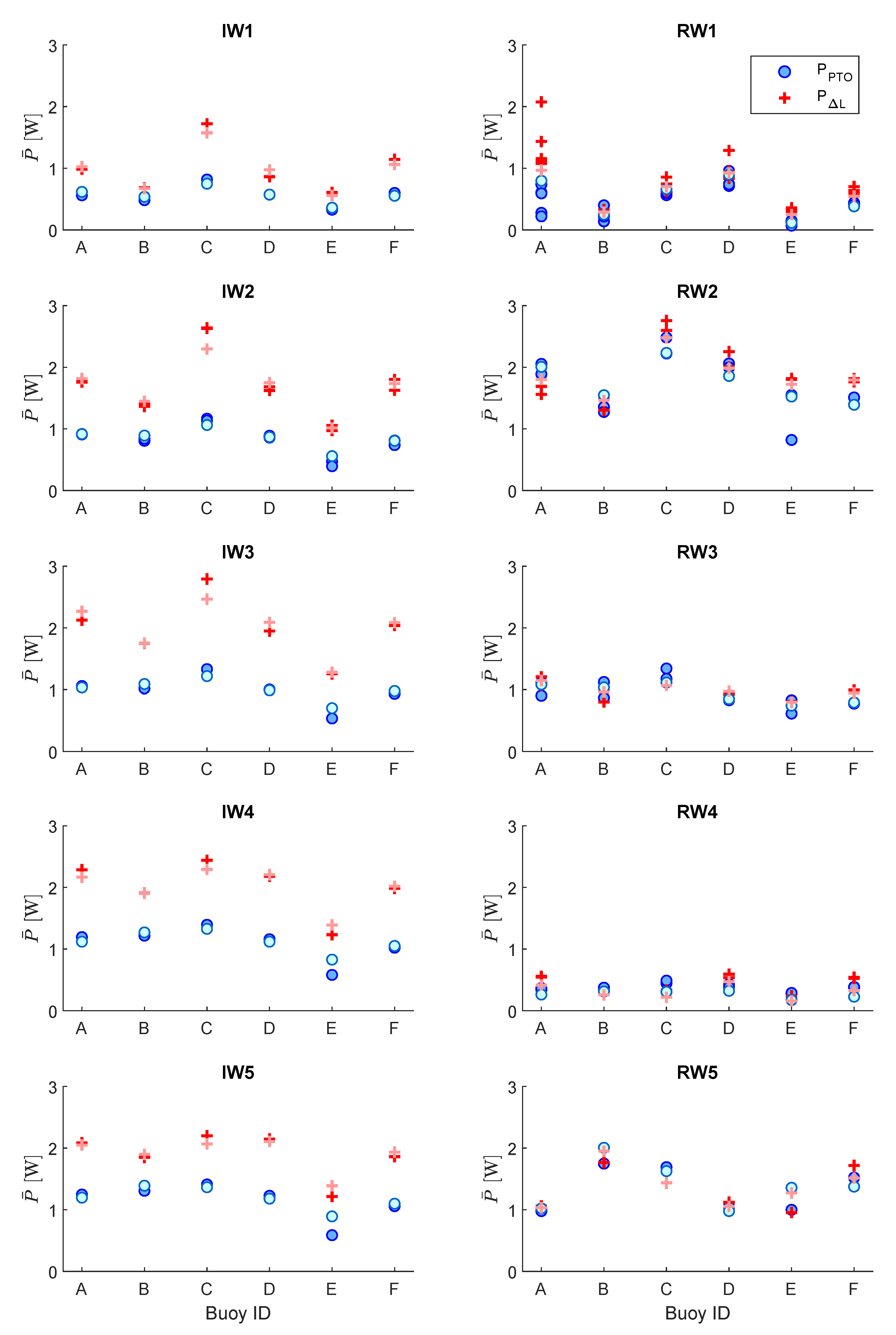
- The experimental data show that in regular waves and for the PTO damping used, the power obtained from the float and the PTO motion is the same, so the assumption of a stiff line is valid. In the irregular waves, however, the WEC shows clear two-body dynamics with different displacement of the float and the PTO due to slack and elasticity in the connection line. As a result, the power obtained from the float and the PTO can differ significantly, and the assumption no longer holds. The virtual power obtained from the float’s motion is in this case higher than the actual power obtained from the PTO; in other words, if a stiff connection between the float and the PTO were to be assumed, the predicted power would be higher than the one that will be obtained in reality. This is confirmed by comparing the power computed in the simulations (which assume a stiff line) with the experimental data: the simulations generally overestimate the absorbed power by the PTO. This conclusion holds both for the total power of the park (Figure 7) and for the power absorbed by the individual buoys (Figure 8).
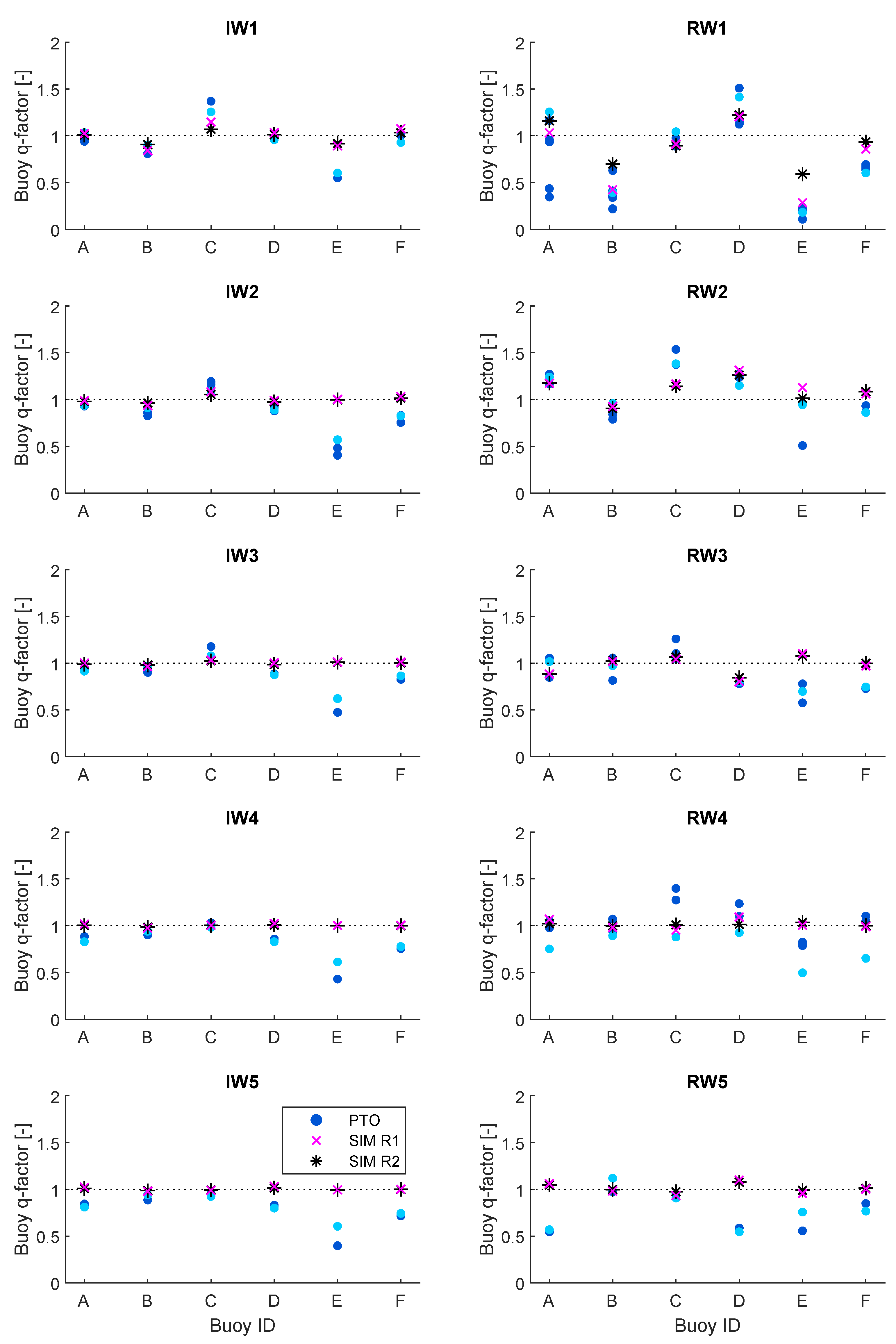
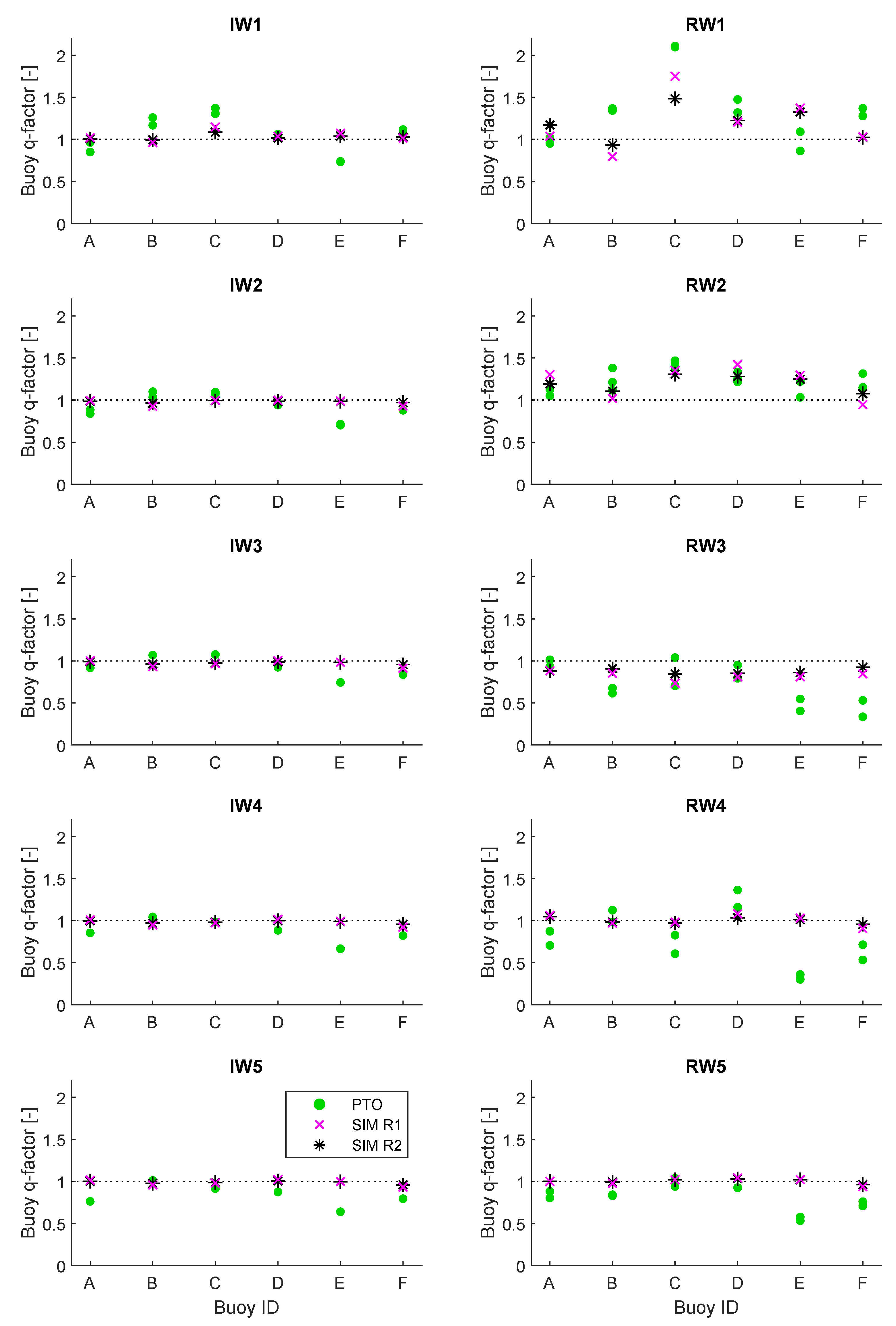
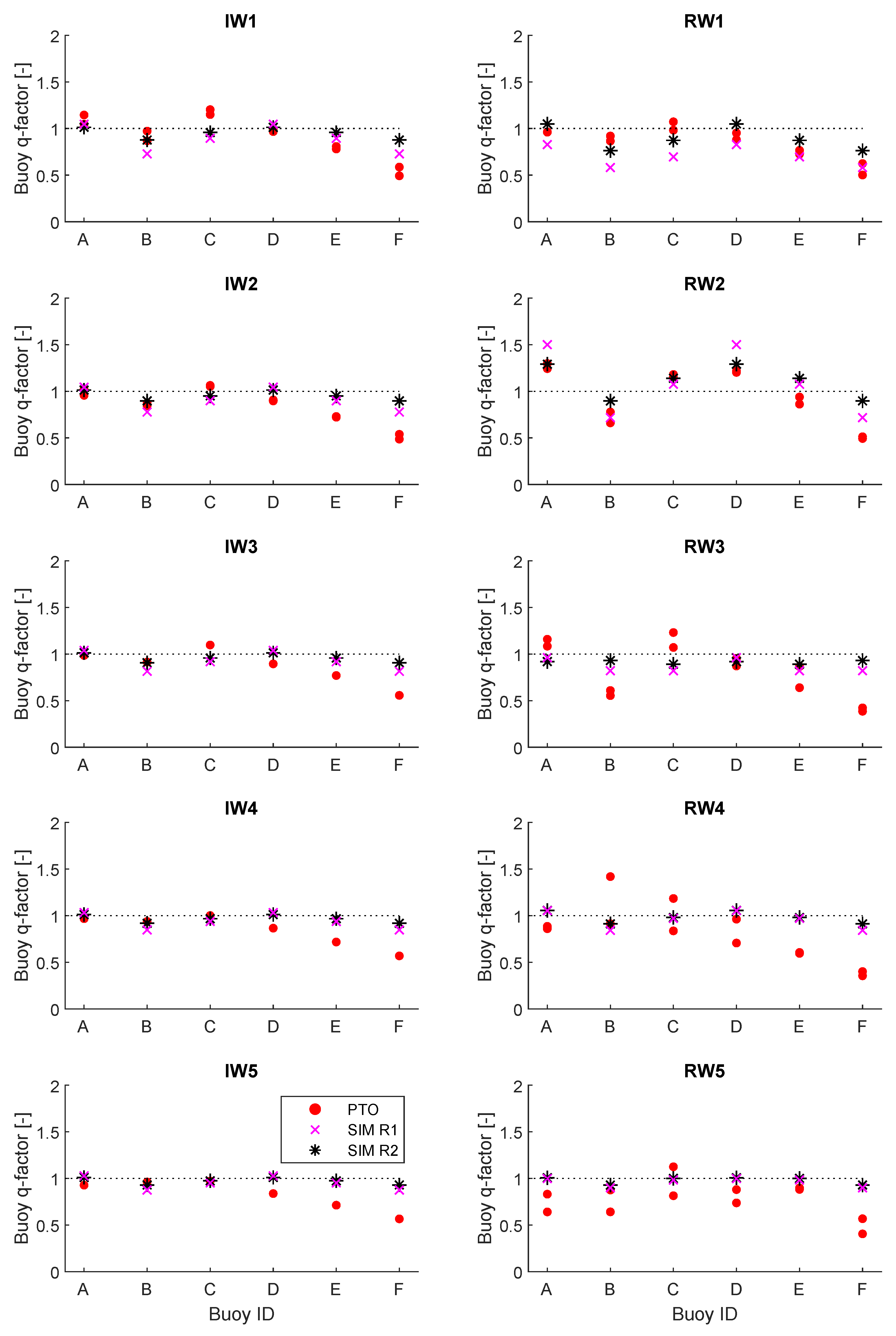
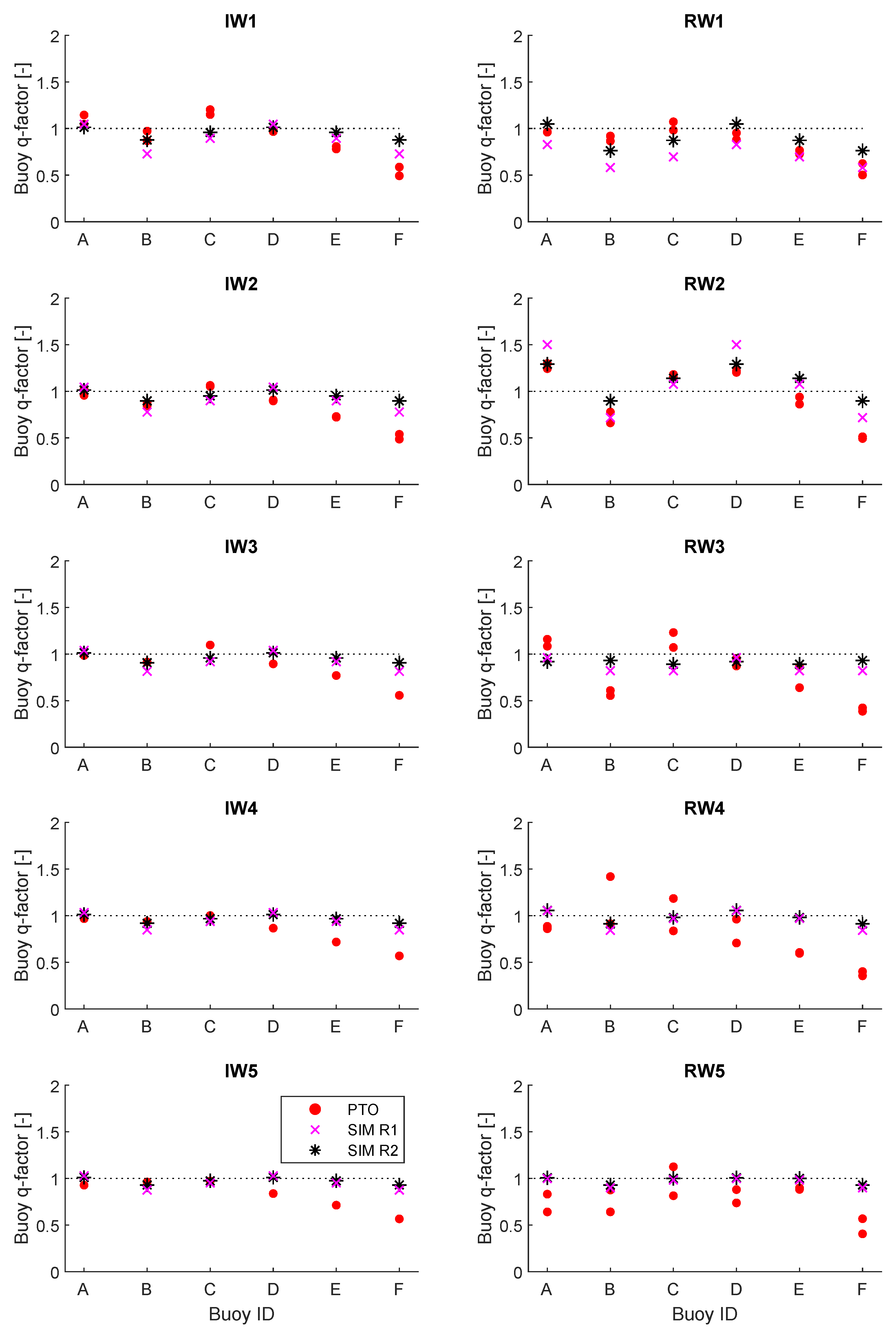
- The results from the simple one-DoF simulation model are able to reproduce the qualitative behavior of the absorbed power at least to an approximate degree (Figure 7 and Figure 10), as long as non-linear dynamics such as Mathieu instabilities are not present. In the experiments, Mathieu instabilities mostly occurred in some of the regular wave cases; hence, in realistic, irregular waves, the simulations can give an estimation of the power output of the UU WEC. In summary, in the wave conditions wherein we neither observe extensive sway nor non-linear behavior, the results of the optimization are reliable. However, when non-linear dynamics or motions in multiple degrees of freedom are present, then the optimization routine does not provide accurate results. In other words, the discrepancy between the experimental and numerical results is mostly due to either slack line condition (mostly in irregular waves) or Mathieu-type instability (mostly in regular waves). In addition, losses, friction and reflections in the wave tank, and other sources of uncertainty in the experimental set-up, also play roles in the outcome of the present study.
Author Contributions
Funding
Acknowledgments
Conflicts of Interest
Nomenclature
| Numerical model: | |
| buoy position in surge | |
| buoy position in sway | |
| buoy position in heave | |
| PTO position | |
| PTO damping | |
| WEC power output (ith WEC) | |
| park power output | |
| Experimental data: | |
| buoy position in surge measured by the optical system | |
| buoy position in sway measured by the optical system | |
| buoy position in heave measured by the optical system | |
| buoy position along the connection line calculated from the optical measurements | |
| PTO damping | |
| WEC experimental PTO power output | |
| park experimental PTO power output | |
| WEC experimental virtual power output computed from the buoy motion along the connection line | |
| park experimental virtual power output computed from the buoy motion along the connection line | |
Abbreviations
| DoF | Degrees of freedom |
| IW | Irregular wave |
| LG | Linear generator |
| PTO | Power take-off |
| RW | Regular wave |
| UU | Uppsala University |
| WEC | Wave energy converter |
Appendix A
Appendix A.1. WEC’s Power Output


Appendix A.2. WEC’s q-Factor



References
- Göteman, M.; Giassi, M.; Engström, J.; Isberg, J. Advances and Challenges in Wave Energy Park Optimization—A Review. Front. Energy Res. 2020, 8, 26. [Google Scholar] [CrossRef]
- Konispoliatis, D.; Mavrakos, S. Mean drift loads on arrays of free floating OWC devices consisting of concentric cylinders. In Proceedings of the 29th International Workshop on Water Waves and Floating Bodies (IWWWFB2014), Osaka, Japan, 30 March–2 April 2014. [Google Scholar]
- Da Fonseca, F.; Gomes, R.; Henriques, J.; Gato, L.; Falcao, A. Model testing of an oscillating water column spar-buoy wave energy converter isolated and in array: Motions and mooring forces. Energy 2016, 112, 1207–1218. [Google Scholar] [CrossRef]
- Magagna, D.; Carr, D.; Stagonas, D.; Mcnabola, A.; Gill, L.; Muller, G. Experimental Evaluation of the Performances of an Array of Multiple Oscillating Water Columns. In Proceedings of the 9th European Wave and Tidal Energy Conference (EWTEC), Southampton, UK, 5–9 September 2011. [Google Scholar]
- Wolgamot, H.; Taylor, P.; Eatock Taylor, R.; Van Den Bremer, T.; Raby, A.; Whittaker, C. Experimental observation of a near-motion-trapped mode: Free motion in heave with negligible radiation. J. Fluid Mech. 2016, 786. [Google Scholar] [CrossRef]
- Ji, X.; Liu, S.; Bingham, H.; Li, J. Multi-directional random wave interaction with an array of cylinders. Ocean. Eng. 2015, 110, 62–77. [Google Scholar] [CrossRef]
- Bosma, B.; Brekken, T.; Lomonaco, P.; DuPont, B.; Sharp, C.; Batten, B. Array modeling and testing of fixed OWC type Wave Energy Converters. In Proceedings of the 13th European Wave and Tidal Conference (EWTEC), Napoli, Italy, 1–6 September 2019. [Google Scholar]
- Mackay, E.; Cruz, J.; Livingstone, M.; Arnold, P. Validation of a Time-Domain Modelling Tool for Wave Energy Converter Arrays. In Proceedings of the 10th European Wave and Tidal Energy Conference, Alborg, Denmark, 2–5 September 2013. [Google Scholar]
- Mercadé Ruiz, P.; Ferri, F.; Kofoed, J. Experimental validation of a wave energy converter array hydrodynamics tool. Sustainability 2017, 9, 115. [Google Scholar] [CrossRef]
- Troch, P.; Stratigaki, V.; Stallard, T.; Forehand, D.; Folley, M.; Kofoed, J.; Benoit, M.; Babarit, A.; Sánchez, D.; De Bosscher, L.; et al. Physical modelling of an array of 25 heaving wave energy converters to quantify variation of response and wave conditions. In Proceedings of the 10th European Wave and Tidal Energy Conference Series (EWTEC), Aalborg, Denmark, 2–5 September 2013; pp. 2–5. [Google Scholar]
- Stratigaki, V.; Troch, P.; Stallard, T.; Forehand, D.; Kofoed, J.; Folley, M.; Benoit, M.; Babarit, A.; Kirkegaard, J. Wave basin experiments with large wave energy converter arrays to study interactions between the converters and effects on other users in the sea and the coastal area. Energies 2014, 7, 701–734. [Google Scholar] [CrossRef]
- Stratigaki, V.; Troch, P.; Stallard, T.; Forehand, D.; Folley, M.; Kofoed, J.; Benoit, M.; Babarit, A.; Vantorre, M.; Kirkegaard, J. Sea-state modification and heaving float interaction factors from physical modelling of arrays of wave energy converters. J. Renew. Sustain. Energy 2015, 7, 061705. [Google Scholar] [CrossRef]
- Child, B.; Weywada, P. Verification and validation of a wave farm planning tool. In Proceedings of the 10th European Wave and Tidal Energy Conference (EWTEC) conference, Aalborg, Denmark, 2–5 September 2013; pp. 2–5. [Google Scholar]
- Thomas, S.; Weller, S.; Stallard, T. Float response within an array: Numerical and experimental comparison. In Proceedings of the 2nd International Conference on Ocean Energy (ICOE), Brest, France, 15–17 October 2008; Volume 1517. [Google Scholar]
- Weller, S.; Stallard, T.; Stansby, P. Interaction factors for a rectangular array of heaving floats in irregular waves. IET Renew. Power Gener. 2010, 4, 628–637. [Google Scholar] [CrossRef]
- Nader, J.; Fleming, A.; Macfarlane, G.; Penesis, I.; Manasseh, R. Novel experimental modelling of the hydrodynamic interactions of arrays of wave energy converters. Int. J. Mar. Energy 2017, 20, 109–124. [Google Scholar] [CrossRef]
- Thomas, S.; Eriksson, M.; Göteman, M.; Hann, M.; Isberg, J.; Engström, J. Experimental and numerical collaborative latching control of wave energy converter arrays. Energies 2018, 11, 3036. [Google Scholar] [CrossRef]
- Thomas, S.; Giassi, M.; Eriksson, M.; Göteman, M.; Isberg, J.; Ransley, E.; Hann, M.; Engström, J. A model free control based on machine learning for energy converters in an array. Big Data Cogn. Comput. 2018, 2, 36. [Google Scholar] [CrossRef]
- Giassi, M.; Thomas, S.; Shahroozi, Z.; Engström, J.; Isberg, J.; Tosdevin, T.; Hann, M.; Göteman, M. Preliminary results from a scaled test of arrays of point-absorbers with 6 DOF. In Proceedings of the 13th European Wave and Tidal Conference (EWTEC), Napoli, Italy, 1–6 September 2019. [Google Scholar]
- Leijon, M.; Waters, R.; Rahm, M.; Svensson, O.; Boström, C.; Strömstedt, E.; Engström, J.; Tyrberg, S.; Savin, A.; Gravråkmo, H.; et al. Catch the wave to electricity. IEEE Power Energy Mag. 2009, 7, 50–54. [Google Scholar] [CrossRef]
- Thomas, S.; Giassi, M.; Göteman, M.; Hann, M.; Ransley, E.; Isberg, J.; Engström, J. Performance of a Direct-Driven Wave Energy Point Absorber with High Inertia Rotatory Power Take-off. Energies 2018, 11, 2332. [Google Scholar] [CrossRef]
- Giassi, M.; Göteman, M. Layout design of wave energy parks by a genetic algorithm. Ocean. Eng. 2018, 154, 252–261. [Google Scholar] [CrossRef]
- Giassi, M.; Thomas, S.; Tosdevin, T.; Engström, J.; Hann, M.; Isberg, J.; Göteman, M. Capturing the experimental behaviour of a point-absorber WEC by simplified numerical models. J. Fluids Struct. 2020. (accepted). [Google Scholar]
- Göteman, M.; Engström, J.; Eriksson, M.; Isberg, J. Fast modeling of large wave energy farms using interaction distance cut-off. Energies 2015, 8, 13741–13757. [Google Scholar] [CrossRef]
- Göteman, M. Wave energy parks with point-absorbers of different dimensions. J. Fluids Struct. 2017, 74, 142–157. [Google Scholar] [CrossRef]
- Giassi, M.; Castellucci, V.; Göteman, M. Economical layout optimization of wave energy parks clustered in electrical subsystems. Appl. Ocean. Res. 2020, 101, 102274. [Google Scholar] [CrossRef]
- Lamont-Kane, P.; Folley, M.; Whittaker, T. Investigating Uncertainties in Physical Testing of Wave Energy Converter Arrays. In Proceedings of the 10th European Wave and Tidal Energy Conference (EWTEC), Aalborg, Denmark, 2–5 September 2013. [Google Scholar]










| Regular Waves | ||||||
|---|---|---|---|---|---|---|
| Scale 1:10 | Full scale | |||||
| T | Run time | T | Run time | |||
| Wave ID | [m] | [s] | [min] | [m] | [s] | [min] |
| RW1 | 0.124 | 1.11 | 1.8 | 1.24 | 3.5 | 5.8 |
| RW2 | 0.124 | 1.42 | 2.4 | 1.24 | 4.5 | 7.5 |
| RW3 | 0.124 | 1.74 | 2.9 | 1.24 | 5.5 | 9.2 |
| RW4 | 0.124 | 2.06 | 3.4 | 1.24 | 6.5 | 10.8 |
| RW5 | 0.124 | 2.37 | 4.0 | 1.24 | 7.5 | 12.5 |
| Irregular Waves | ||||||
| Scale 1:10 | Full scale | |||||
| Run time | Run time | |||||
| Wave ID | [m] | [s] | [min] | [m] | [s] | [min] |
| IW1 | 0.175 | 1.11 | 6 | 1.75 | 3.5 | 20 |
| IW2 | 0.175 | 1.42 | 6 | 1.75 | 4.5 | 20 |
| IW3 | 0.175 | 1.74 | 6 | 1.75 | 5.5 | 20 |
| IW4 | 0.175 | 2.06 | 6 | 1.75 | 6.5 | 20 |
| IW5 | 0.175 | 2.37 | 6 | 1.75 | 7.5 | 20 |
© 2020 by the authors. Licensee MDPI, Basel, Switzerland. This article is an open access article distributed under the terms and conditions of the Creative Commons Attribution (CC BY) license (http://creativecommons.org/licenses/by/4.0/).
Share and Cite
Giassi, M.; Engström, J.; Isberg, J.; Göteman, M. Comparison of Wave Energy Park Layouts by Experimental and Numerical Methods. J. Mar. Sci. Eng. 2020, 8, 750. https://doi.org/10.3390/jmse8100750
Giassi M, Engström J, Isberg J, Göteman M. Comparison of Wave Energy Park Layouts by Experimental and Numerical Methods. Journal of Marine Science and Engineering. 2020; 8(10):750. https://doi.org/10.3390/jmse8100750
Chicago/Turabian StyleGiassi, Marianna, Jens Engström, Jan Isberg, and Malin Göteman. 2020. "Comparison of Wave Energy Park Layouts by Experimental and Numerical Methods" Journal of Marine Science and Engineering 8, no. 10: 750. https://doi.org/10.3390/jmse8100750
APA StyleGiassi, M., Engström, J., Isberg, J., & Göteman, M. (2020). Comparison of Wave Energy Park Layouts by Experimental and Numerical Methods. Journal of Marine Science and Engineering, 8(10), 750. https://doi.org/10.3390/jmse8100750

